基于matlab的强化学习QLearning路径规划性能仿真

257 阅读2分钟

****

1. 算法概述

 

1.png

 

 

       假设我们的行为准则已经学习好了, 现在我们处于状态s1, 我在写作业, 我有两个行为 a1, a2, 分别是看电视和写作业, 根据我的经验, 在这种 s1 状态下, a2 写作业 带来的潜在奖励要比 a1 看电视高, 这里的潜在奖励我们可以用一个有关于 s 和 a 的 Q 表格代替, 在我的记忆Q表格中, Q(s1, a1)=-2 要小于 Q(s1, a2)=1, 所以我们判断要选择 a2 作为下一个行为. 现在我们的状态更新成 s2 , 我们还是有两个同样的选择, 重复上面的过程, 在行为准则Q 表中寻找 Q(s2, a1) Q(s2, a2) 的值, 并比较他们的大小, 选取较大的一个. 接着根据 a2 我们到达 s3 并在此重复上面的决策过程. Q learning 的方法也就是这样决策的. 看完决策, 我看在来研究一下这张行为准则 Q 表是通过什么样的方式更改, 提升的.

 

       Q-Learning​它是强化学习中的一种 values-based 算法,​是以QTable表格形式体现​,在学习中遇到的任何操作存入QTable中,根据之前的学习选择当前最优操作,也可以根据设置的e_greedy机率随机选择。​

 

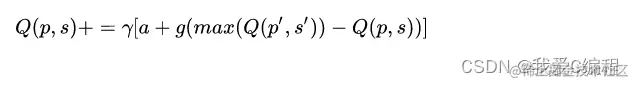
       ​Q-Learning的QTable标签更新公式:

 

2.png

 

Q-Learning的计算步骤:​

 

​1.判断在当前位置可以有几种操作;​

 

​2.根据当前位置允许的操作选择一个操作;​

 

​3.根据选择的操作进行奖赏;​

 

​4.修改当前行为的本次操作权重;

 

2.仿真效果预览

matlab2022a仿真测试如下:

 

3.png

4.png

5.png

 

 

 

 

 

3.核心MATLAB代码预览 `NNPolicy=zeros(prod([driver_actions Xscale Yscale]),1);

for i=1:pathtimes

    i

    Positions = stpt;   

    drivers   = 0;   %开车

    E         = zeros(prod([driver_actions Xscale Yscale]),1);

 

    for j=1:maxiter

        %计算训练驾驶策略

        if j>=2   

           Choice      = ndi2lin([1 Positions(1) Positions(2)],[driver_actions Xscale Yscale]);

           Choice2     = ndi2lin([drivers Prestate(1) Prestate(2)],[driver_actions Xscale Yscale]);

           delta       = feedback + cb*max(NNPolicy(Choice:Choice+driver_actions-1))-NNPolicy(Choice2);

            E(Choice2) = 1;

            NNPolicy   = NNPolicy + cadeltaE;

            E          = cblambdaE*~exploring;

        end

        %选择动作

        Choice  = ndi2lin([1 Positions(1) Positions(2)],[driver_actions Xscale Yscale]);

        Choice  = [Choice:Choice+driver_actions-1];                              

        tmps    = find(NNPolicy(Choice) == max(NNPolicy(Choice)));   

        %是否转向        

        drivers = tmps(ceil(rand * length(tmps)));   

        %探索策略

        if rand<LR

           drivers=floor(rand*driver_actions)+1;    

           exploring = 1;

        else

           exploring = 0;

        end

        LR=LR/pathtimes;

        

        Prestate=Positions;

        [Positions,feedback] = nomancar(Positions,drivers,driver_direction,map_route,Xscale,Yscale);

        if edpt(1)==Positions(1) & edpt(2)==Positions(2)

           break

        end  

    end

 

    Itertion_times(k)=j;

    if k>32

       Error(k)=mean(Itertion_times(length(Itertion_times)-32+1:length(Itertion_times)));

    else

       Error(k)=mean(Itertion_times(1:length(Itertion_times)));

    end

    k=k+1;

end

A_005`