LeetCode - #92 反转链表 II

88 阅读1分钟

开启掘金成长之旅!这是我参与「掘金日新计划 · 12 月更文挑战」的第20天,点击查看活动详情

前言

本题由于没有合适答案为以往遗留问题,最近有时间将以往遗留问题一一完善。

我们社区陆续会将顾毅(Netflix 增长黑客,《iOS 面试之道》作者,ACE 职业健身教练。)的 Swift 算法题题解整理为文字版以方便大家学习与阅读。

LeetCode 算法到目前我们已经更新到 91 期,我们会保持更新时间和进度(周一、周三、周五早上 9:00 发布),每期的内容不多,我们希望大家可以在上班路上阅读,长久积累会有很大提升。

不积跬步,无以至千里;不积小流,无以成江海,Swift社区 伴你前行。如果大家有建议和意见欢迎在文末留言,我们会尽力满足大家的需求。

难度水平:中等

1. 描述

给你单链表的头指针 head 和两个整数 leftright ,其中 left <= right 。请你反转从位置 left 到位置 right 的链表节点,返回 反转后的链表

2. 示例

示例 1

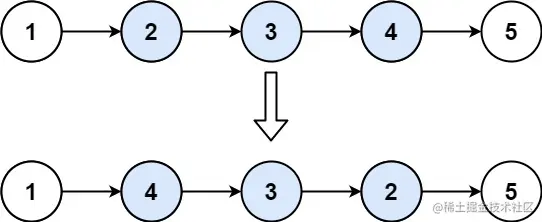
输入:head = [1,2,3,4,5], left = 2, right = 4
输出:[1,4,3,2,5]

示例 2

输入:head = [5], left = 1, right = 1
输出:[5]

提示:

  • 链表中节点数目为 n
  • 1 <= n <= 500
  • -500 <= Node.val <= 500
  • 1 <= left <= right <= n

3. 答案

/**
* Definition for singly-linked list.
* public class ListNode {
*     public var val: Int
*     public var next: ListNode?
*     public init(_ val: Int) {
*         self.val = val
*         self.next = nil
*     }
* }
*/
class Solution {
   func reverseBetween(_ head: ListNode?, _ m: Int, _ n: Int) -> ListNode? {
       if head == nil {
           return nil
       }

       let dummy = ListNode(0)
       dummy.next = head

       var pre: ListNode? = dummy
       for _ in 0..<(m - 1) {
           pre = pre?.next
       }

       let start: ListNode? = pre?.next
       var end: ListNode? = start?.next
       for _ in 0..<(n - m) {
           start?.next = end?.next
           end?.next = pre?.next
           pre?.next = end
           end = start?.next
       }
       return dummy.next
   }
}

点击前往 LeetCode 练习

关于我们

我们是由 Swift 爱好者共同维护,我们会分享以 Swift 实战、SwiftUI、Swift 基础为核心的技术内容,也整理收集优秀的学习资料。