LeetCode 337. House Robber III

91 阅读2分钟

开启掘金成长之旅!这是我参与「掘金日新计划 · 12 月更文挑战」的第29天,点击查看活动详情

LeetCode 337. House Robber III

小偷又发现了一个新的可行窃的地区。这个地区只有一个入口,我们称之为 root 。

除了 root 之外,每栋房子有且只有一个“父“房子与之相连。一番侦察之后,聪明的小偷意识到“这个地方的所有房屋的排列类似于一棵二叉树”。 如果 两个直接相连的房子在同一天晚上被打劫 ,房屋将自动报警。

给定二叉树的 root 。返回 在不触动警报的情况下 ,小偷能够盗取的最高金额 。

 

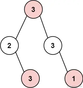
示例 1:

输入: root = [3,2,3,null,3,null,1]
输出: 7 
解释: 小偷一晚能够盗取的最高金额 3 + 3 + 1 = 7

示例 2:

输入: root = [3,4,5,1,3,null,1]
输出: 9
解释: 小偷一晚能够盗取的最高金额 4 + 5 = 9

 

提示:

  • 树的节点数在 [1, 104] 范围内
  • 0 <= Node.val <= 104

算法

(树形动规) O(n) 典型的树形DP问题。

状态表示:

f[i][0]表示已经偷完以 i 为根的子树,且不在 i 行窃的最大收益; f[i][1]表示已经偷完以 i 为根的子树,且在 i 行窃的最大收益; 状态转移:

f[i][1]:因为在 i 行窃,所以在 i 的子节点不能行窃,只能从f[i->left][0]和f[i->right][0]转移; f[i][0]:因为不在 i 行窃,所以对 i 的子节点没有限制,直接用左右子节点的最大收益转移即可; 时间复杂度分析:总共有 n 个状态,每个状态进行转移的计算量是 O(1)。所以总时间复杂度是 O(n)。

C++ 代码

/**
 * Definition for a binary tree node.
 * struct TreeNode {
 *     int val;
 *     TreeNode *left;
 *     TreeNode *right;
 *     TreeNode(int x) : val(x), left(NULL), right(NULL) {}
 * };
 */
class Solution {
public:
    unordered_map<TreeNode*, unordered_map<int, int>>f;

    int rob(TreeNode* root) {
        dfs(root);
        return max(f[root][0], f[root][1]);
    }

    void dfs(TreeNode *root)
    {
        if (!root) return;
        dfs(root->left);
        dfs(root->right);
        f[root][1] = root->val + f[root->left][0] + f[root->right][0];
        f[root][0] = max(f[root->left][0], f[root->left][1]) + max(f[root->right][0], f[root->right][1]);
    }
};