LeetCode 99. Recover Binary Search Tree

110 阅读1分钟

开启掘金成长之旅!这是我参与「掘金日新计划 · 12 月更文挑战」的第28天,点击查看活动详情

LeetCode 99. Recover Binary Search Tree

给你二叉搜索树的根节点 root ,该树中的 恰好 两个节点的值被错误地交换。请在不改变其结构的情况下,恢复这棵树

 

示例 1:

输入: root = [1,3,null,null,2]
输出: [3,1,null,null,2]
解释: 3 不能是 1 的左孩子,因为 3 > 1 。交换 13 使二叉搜索树有效。

示例 2:

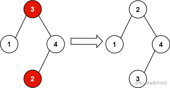
输入: root = [3,1,4,null,null,2]
输出: [2,1,4,null,null,3]
解释: 2 不能在 3 的右子树中,因为 2 < 3 。交换 23 使二叉搜索树有效。

 

提示:

  • 树上节点的数目在范围 [2, 1000] 内
  • -231 <= Node.val <= 231 - 1

 

进阶: 使用 O(n) 空间复杂度的解法很容易实现。你能想出一个只使用 O(1) 空间的解决方案吗?

算法

(Morris-traversal) O(n) 这道题目如果用递归做,递归的层数最坏是 O(n) 级别的,所以系统栈的空间复杂度是 O(n),与题目要求的 O(1) 额外空间不符。 同理用栈模拟递归的迭代方式的空间复杂度也是 O(n),不符合题目要求。

这道题目可以用Morris-traversal算法,该算法可以用额外 O(1) 的空间,以及 O(n) 的时间复杂度,中序遍历一棵二叉树。

Morris-traversal 算法流程: 下图给了一个具体示例:

image.png

从根节点开始遍历,直至当前节点为空为止:

如果当前节点没有左儿子,则打印当前节点的值,然后进入右子树; 如果当前节点有左儿子,则找当前节点的前驱。 (1) 如果前驱节点的右儿子为空,说明左子树没遍历过,则进入左子树遍历,并将前驱节点的右儿子置成当前节点,方便回溯; (2) 如果前驱节点的右儿子为当前节点,说明左子树已被遍历过,则将前驱节点的右儿子恢复为空,然后打印当前节点的值,然后进入右子树继续遍历; 中序遍历的结果就是二叉树搜索树所表示的有序数列。有序数列从小到大排序,但有两个数被交换了位置。共有两种情况:

交换的是相邻两个数,例如 1 3 2 4 5 6,则第一个逆序对,就是被交换的两个数,这里是3和2; 交换的是不相邻的数,例如 1 5 3 4 2 6,则第一个逆序对的第一个数,和第二个逆序对的第二个数,就是被交换的两个数,这里是5和2; 找到被交换的数后,我们将它们换回来即可。

复杂度分析:Morris-traversal算法的时间复杂度是 O(n),额外空间复杂度是 O(1)。 这里可能有同学会问,Morris-traversal算法中每次都会求当前节点的前驱节点,而求前驱节点的最坏时间复杂度是 O(n),那遍历整棵树的时间复杂度为什么不是 O(n2) 呢?这是因为对于一棵二叉树,对所有节点求一遍前驱,则每条边只会被遍历两次,所以时间复杂度加一块也是 O(n)。

C++ 代码

/**
 * Definition for a binary tree node.
 * struct TreeNode {
 *     int val;
 *     TreeNode *left;
 *     TreeNode *right;
 *     TreeNode(int x) : val(x), left(NULL), right(NULL) {}
 * };
 */
class Solution {
public:
    void recoverTree(TreeNode* root) {
        TreeNode *first = NULL, *second, *prep = NULL;
        while (root)
        {
            if (!root->left)
            {
                if (prep && prep->val > root->val)
                {
                    if (!first) first = prep, second = root;
                    else second = root;
                }
                prep = root;
                root = root->right;
            }
            else
            {
                TreeNode *p = root->left;
                while (p->right && p->right != root) p = p->right;
                if (!p->right)
                {
                    p->right = root;
                    root = root->left;
                }
                else
                {
                    p->right = NULL;
                    if (prep && prep->val > root->val)
                    {
                        if (!first) first = prep, second = root;
                        else second = root;
                    }
                    prep = root;
                    root = root->right;
                }
            }
        }
        swap(first->val, second->val);
    }
};