数据结构第六周笔记(1)——图(上)(慕课浙大版本--XiaoYu)

155 阅读10分钟

6.1 什么是图

6.1.1 什么是图——定义

表示多对多的关系

包含

  1. 一组顶点:通常用V(Vertex)表示顶点集合

  2. 一组边:通常用E(Edge)表示边的集合

    1. 边是顶点对:(v,w)属于E,其中v,w属于V
    2. 有向边<v,w>表示从v指向w的边(单行线)
    3. 不考虑重边和自回路

抽象数据类型定义

  1. 类型名称:图(Graph)

  2. 数据对象集:G(V,E)由一个非空的有限顶点集合V和一个有限边集合E组成(可以一条边都没有,但不能一个顶点都没有)

  3. 操作集:对于任意图G属于Graph,以及v属于V,e属于E

    1. 1. Graph Create():建立并返回空图
      2. Graph InsertVertex(Graph G, Vertex v):将v插入G
      3. Graph InsertEdge(Graph G, Edge e):将e插入G;
      4. void DFS(Graph G,Vertex v):从顶点v出发深度优先遍历图G;
      5. void BFS(Graph G,Vertex v):从顶点v出发宽度优先遍历图G;
      6. void ShortestPath(Graph G,Vertex v,int Dist[]):计算图G中顶点v到任意其他顶点的最短距离
      7. void MST(Graph G):计算图G的最小生成树
      

常见术语

  1. 无向图:无所谓方向的
  2. 有向图:在图中,若用箭头标明了边是有方向性(单向或者双向)的,则称这样的图为有向图,否则称为无向图。
  3. 权重:边上显示的数字,可以有各种各样的现实意义
  4. 网络:有带权重的图

6.1.2 什么是图——邻接矩阵表示法

怎么在程序中表示一个图

  1. image-20220715110405629

  2. image-20220715110835844

    邻接矩阵——有什么好处?

    1. 直观、简单、好理解
    2. 方便检查任意一对顶点间是否存在边
    3. 方便找任一顶点的所有"邻接点"(有边直接相连的顶点)
    4. 方便计算任一顶点的"度"(从该点出发的边数为"出度",指向该点的边数为"入度")有向图的概念

    邻接矩阵——有什么不好?

    1. 浪费空间——存稀疏图(点很多而边很少)有大量无效元素

      但对稠密图(特别是完全图)还是很合算的

    2. 浪费时间——统计稀疏图中一共有多少条边

无向图

对应行(或列)非0元素的个数

有向图

对应行非0元素的个数是"出度";对应列非0元素的个数是"入度"

6.1.3 什么是图——邻接表表示法

邻接表:G[N]为指针数组,对应矩阵每行一个的链表,只存非0元素

image-20220715120351402

上图的顺序是无所谓的,可以随意排列。使用这个表需要足够稀疏才合算

优点:

  1. 方便找任一顶点的所有"邻接点"

  2. 节约稀疏图的空间

    需要N个头指针+2E个结点(每个结点至少2个域)

  3. 方便计算任一顶点的"度"

    对无向图:是的

    对有向边:只能计算"出度";需要构造"逆邻接表"(存指向自己的边)来方便计算"入度"

  4. 方便检查任意一对顶点间是否存在边?NO

对于网络,结构中要增加权重的域

6.2 图的遍历

6.2.1 图的遍历——DFS

遍历:把图里面每个顶点都访问一遍而且不能有重复的访问

深度优先搜索(DFS)

当访问完了一个节点所有的灯后,一定原路返回对应着堆栈的出栈入栈的一个行为

深度优先搜索的算法描述

void DFS(Vertex V)//从迷宫的节点出来
{
    visited[V] = true;//给每个节点一个变量,true相当于灯亮了,false则是熄灭状态
    for(V的每个邻接点W)//视野看得到的灯
        if(!visited[W])//检测是否还有没点亮的
            DFS(W);//递归调用
}
​
//类似树的先序遍历
若有N个顶点、E条边,时间复杂度是
    用邻接表存储图,有O(N+E)//对每个点访问了一次,每条边也访问了一次
    用邻接矩阵存储图,有O(N²)//V对应的每个邻接点W都要访问一遍

image-20220715122831029

6.2.2 图的遍历——BFS

广度优先搜索(Breadth First Search,BFS)

image-20220715122953905

void BFS(Vertex V)
{
    visited[V] = true;
    Enqueue(V,Q);//压到队列里
    while(!IsEmpty(Q)){
        V = Dequeue(Q);//每次循环弹出一个节点
        for(V的每个邻接点W)
            if(!visited[W]){//没有访问过的去访问将其压入队列中
                visited[W] = true;
                Enqueue(W,Q);
            }
    }
}

若有N个顶点,E条边,时间复杂度是

用邻接表存储图,有O(N+E)

用邻接矩阵存储图,有O(N²)

下面进行说明:

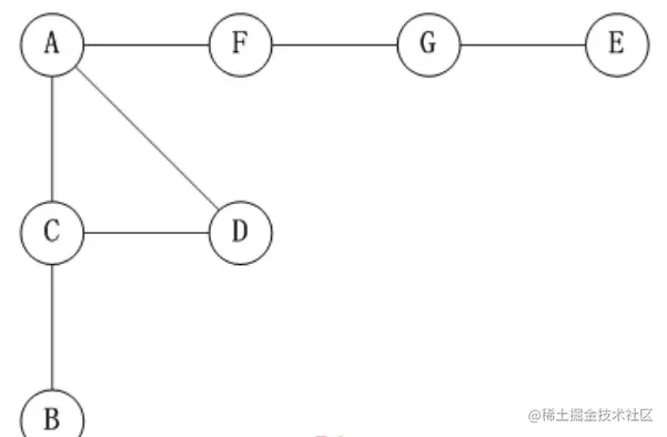
image-20220715124837990

第1步:访问A。

第2步:访问(A的邻接点)C。在第1步访问A之后,接下来应该访问的是A的邻接点,即"C,D,F"中的一个。但在本文的实现中,顶点ABCDEFG是按照顺序存储,C在"D和F"的前面,因此,先访问C。

第3步:访问(C的邻接点)B。在第2步访问C之后,接下来应该访问C的邻接点,即"B和D"中一个(A已经被访问过,就不算在内)。而由于B在D之前,先访问B。

第4步:访问(C的邻接点)D。在第3步访问了C的邻接点B之后,B没有未被访问的邻接点;因此,返回到访问C的另一个邻接点D。

第5步:访问(A的邻接点)F。 前面已经访问了A,并且访问完了"A的邻接点B的所有邻接点(包括递归的邻接点在内)";因此,此时返回到访问A的另一个邻接点F。

第6步:访问(F的邻接点)G。

第7步:访问(G的邻接点)E。

因此访问顺序是:A -> C -> B -> D -> F -> G -> E。

当然,上图是基于无向图,具体的代码在文章后面实现。

广度优先搜索

广度优先搜索算法(Breadth First Search),又称为"宽度优先搜索"或"横向优先搜索",简称BFS。

它的思想是:从图中某顶点v出发,在访问了v之后依次访问v的各个未曾访问过的邻接点,然后分别从这些邻接点出发依次访问它们的邻接点,并使得“先被访问的顶点的邻接点先于后被访问的顶点的邻接点被访问,直至图中所有已被访问的顶点的邻接点都被访问到。如果此时图中尚有顶点未被访问,则需要另选一个未曾被访问过的顶点作为新的起始点,重复上述过程,直至图中所有顶点都被访问到为止。

换句话说,广度优先搜索遍历图的过程是以v为起点,由近至远,依次访问和v有路径相通且路径长度为1,2…的顶点。

image-20220715124941418

第1步:访问A。

第2步:依次访问C,D,F。在访问了A之后,接下来访问A的邻接点。前面已经说过,在本文实现中,顶点ABCDEFG按照顺序存储的,C在"D和F"的前面,因此,先访问C。再访问完C之后,再依次访问D,F。

第3步:依次访问B,G。在第2步访问完C,D,F之后,再依次访问它们的邻接点。首先访问C的邻接点B,再访问F的邻接点G。

第4步:访问E。在第3步访问完B,G之后,再依次访问它们的邻接点。只有G有邻接点E,因此访问G的邻接点E。

因此访问顺序是:A -> C -> D -> F -> B -> G -> E。

6.2.3 图的遍历——为什么需要两种遍历

在不同的情况下效率不同

广度跟深度的区别

  1. 深度是直接一条路走到黑,碰壁没路走了在返回
  2. 广度是一圈一圈的扫描过去,虽然前面还有路也不会强行深入

6.2.4 图的遍历——图不连通怎么办

连通:如果从V到W存在一条(无向)路径,则称V与W是连通的

路径:V到W路径是一系列顶点{V,v1,v2,....,vn,W}的集合,其中任一对相邻的顶点间都有图中的边。路径的长度是路径中的边数(如果带权(带权图),则是所有边的权重和)。如果V到W之间的所有顶点都不同,则称为简单路径(有回路就不是简单路径)

回路:起点等于终点的路径

连通图:图中任意两顶点均连通

连通分量:无向图的极大连通子图

  1. 极大顶点数:再加1个顶点就不连通了
  2. 极大边数:包含子图中所有顶点相连的所有边

对有向图

//强连通:有向图中顶点V和W之间存在双向路径,则称V和W是强连通的(路径可以不同同一条,但是一定是连通的)
//强连通图:有向图中任意两顶点均强连通
//强连通分量:有向图的极大强连通子图
//弱连通图:将强连通图的所有边的方向抹掉变成无向图就是连通的了

每调用一次DFS(V),就把V所在的连通分量遍历了一遍,BFS也一样

void DFS(Vertex V)
{
    visited[V] = true;
    for(V的每个邻接点W)
        if(!visited[W])
            DFS(W);
}

遍历分量

void ListComponents(Graph G)
{
    for(each V in G)
        if(!visited[V]){
            DFS(V);//or BFS(V)
        }
}

6.3 应用实例:拯救007

void Save007(Graph G)
{
    for(each V in G){
        if(!visited[V] && FirstJump(V)){//这个FirstJump(V)是007第一跳有没有可能从孤岛跳到V上有没有可能,有且没踩过就跳上去
            answer = DFS(V);//or BFS(V)
            if(answer == YES) break;0
        }
    }
    if(answer == YES) output("Yes");
    else output("No");
}

DFS算法

void DFS(Vertex V)
{
    visited[V] = true;//表示鳄鱼头踩过了
    for(V的每个邻接点W)
        if(!visited[W])
            DFS(W);//递归
}

改良版本

void DFS(Vertex V)
{
    visited[V] = true;//表示鳄鱼头踩过了
    if(IOsSafe(V)) answer = YES;
    else{
    for(each W in G )
        if(!visited[W] && Jump(V,W)){//可以从V jump跳到这个w上面,作用是算V到W之间的距离是不是小于007可以跳跃最大距离
          answer = DFS(W);//递归 
            if(answer == YES) break;
        }
    }
        return answer;
}

6.4 应用实例:六度空间(Six Degrees of Separation)

理论:

  1. 你和任何一个陌生人之间所间隔的人不会超过6个
  2. 给定社交网络图,请对每个节点计算符合"六度空间"理论的结点占结点总数的百分比
算法思路
1.对每个节点进行广度优先搜索
2.搜索过程中累计访问的节点数
3.需要记录"层"数,仅计算6层以内的节点数
    
void SDS()
{
    for(each V in G){
        count += BFS(V);
        Output = (count/N);
    }
}
​
//结合最初的BFS
    void BFS(Vertex V)
{
    visited[V] = true;count = 1;
    Enqueue(V,Q);//压到队列里
    while(!IsEmpty(Q)){
        V = Dequeue(Q);//每次循环弹出一个节点
        for(V的每个邻接点W)
            if(!visited[W]){//没有访问过的去访问将其压入队列中
                visited[W] = true;
                Enqueue(W,Q);count++;
            }
    }return count;
}

另外的解决方案

int BFS(Vertex V)
{
    vistex[V] = true;count = 1;
    level = 0;last = V;
    Enqueue(V,Q);
    while(!IsEmpty(Q)){
        V = Dequeue(Q);
        for( V的每个邻接点W)
            if(!visited[W]){
                visited[W] = true;
                Enqueue(W,Q);count++;
                tail = W;
            }
        if(V == last ){
            level++;last = tail;
        }
    }
    return count++;
}

image-20220716095328150