Dynamic Head :Unifying Object Detection Heads with Attentions
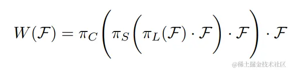
作者针对目标检测中通过backbone提取特征金字塔后的输出后,会形成最基本的这种情况RL×H×W×C,其中L代表金字塔输有多少层特征图,H和W代表特征图的高和宽,C代表特征图的通道.本文提出的就是分别在每一个维度上都分别应用注意力,然后进行嵌套堆砌,用公式表示为如下

Scale-aware Attention
基于语义的重要程度动态的融合不同尺度的特征

即在一层上进行空间和通道上面的全部求和,然后进行(1*1)卷积(相当于一个线性函数),最后进行σ函数操作(相当于一个hard-sigmoid 函数).
Spatial-aware Attention 这部分作者说的很不详细,需要看一下代码.
在尺度注意的基础上,通过使用可变形卷积对位置的重要性进行学习

其中K是稀疏采样点的数量,Δpk是学习到到偏移位置,Δmk是自学习到的在pk的重要性标量
Task-aware Attention
动态的开关特征通道来有利于不同的任务的学习.
![[外链图片转存失败,源站可能有防盗链机制,建议将图片保存下来直接上传(img-Grtg1nXp-1625114601787)(/home/brother/.config/Typora/typora-user-images/image-20210701123239176.png)]](https://p3-juejin.byteimg.com/tos-cn-i-k3u1fbpfcp/4c8007abfef249e58fbbad9117da411d~tplv-k3u1fbpfcp-jj-mark:3024:0:0:0:q75.awebp)
θ函数首先通过池化变成C∗1的向量,然后进行两层fc中间加一个激活函数后变成四个,这四个值通过偏移sigmoid归一化后变成(−1,1)的范围,再和(1,0,0,0)想加后得到最终的α1α2β1β2再通过上面的max函数来控制每一个通道的输出
下面是整体的应用
![[外链图片转存失败,源站可能有防盗链机制,建议将图片保存下来直接上传(img-YQy3kMmd-1625114601788)(/home/brother/.config/Typora/typora-user-images/image-20210701124257331.png)]](https://p3-juejin.byteimg.com/tos-cn-i-k3u1fbpfcp/bf7e15c128674b9f869b24be91d5879e~tplv-k3u1fbpfcp-jj-mark:3024:0:0:0:q75.awebp)