图像处理之高斯滤波4

440 阅读4分钟

开启掘金成长之旅!这是我参与「掘金日新计划 · 12 月更文挑战」的第16天

1 高斯滤波的理论简析

高斯滤波是一种线性平滑滤波,可以消除高斯噪声,广泛应用于图像处理的减噪过程。通俗地讲,高斯滤波就是对整幅图像进行加权平均的过程,每一个像素点的值,都由其本身和邻域内的其他像素值经过加权平均后得到。高斯滤波的具体操作是:用一个模板(或称卷积、掩模)扫描图像中的每一个像素,用模板确定的邻域内像素的加权平均灰度值去替代模板中心像素点的值。

大家常说高斯滤波是最有用的滤波操作,虽然它用起来效率往往不是最高的。高斯模糊技术生成的图像,其视觉效果就像是经过一个半透明屏幕在观察图像,这与镜头焦外成像效果散景以及普通照明阴影中的效果都明显不同。高斯平滑也用于计算机视觉算法中的预先处理阶段,以增强图像在不同比例大小下的图像效果(参见尺度空间表示以及尺度空间实现)。从数学的角度来看,图像的高斯模糊过程就是图像与正态分布做卷积。由于正态分布又叫作高斯分布,所以这项技术就叫作高斯模糊。

图像与圆形方框模糊做卷积将会生成更加精确的焦外成像效果。由于高斯函数的傅里叶变换是另外一个高斯函数,所以高斯模糊对于图像来说就是一个低通滤波操作。

高斯滤波器是一类根据高斯函数的形状来选择权值的线性平滑滤波器。高斯平滑滤波器对于抑制服从正态分布的噪声非常有效。一维零均值高斯函数如下。

2.png

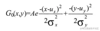
其中,高斯分布参数Sigma决定了高斯函数的宽度。对于图像处理来说,常用二维零均值离散高斯函数作平滑滤波器。 二维高斯函数如下。

3.png

2 高斯滤波:GaussianBlur 函数

GaussianBlur函数的作用是用高斯滤波器来模糊一张图片,对输入的图像src进行高斯滤波后用dst输出。它将源图像和指定的高斯核函数做卷积运算,并且支持就地过滤(In-placefiltering)

C++:

void GaussianBlur(InputArray src, OutputArray dst, Size ksize, 
    double sigmaX, double sigmaY = 0, int borderType =BORDER_DEFAULT)
  • 第一个参数,InputArray类型的src,输入图像,即源图像,填Mat类的对象即可。它可以是单独的任意通道数的图片,但需要注意的是,其图片深度应该为CV_8U、CV_16U、CV_16S、CV_32F 以及CV_64F之一。
  • 第二个参数,OutputArray 类型的 dst,即目标图像,需要和源图片有一样的尺寸和类型。比如可以用 Mat::Clone,以源图片为模板,来初始化得到如假包换的目标图。
  • 第三个参数,Size 类型的 ksize 高斯内核的大小。其中 ksize.width 和 ksize.height可以不同,但它们都必须为正数和奇数,或者是零,这都由sigma计算而来。
  • 第四个参数,double类型的sigmaX,表示高斯核函数在X方向的的标准偏差。
  • 第五个参数,double类型的sigmaY,表示高斯核函数在Y方向的的标准偏差。若sigmaY为零,就将它设为sigmaX;如果 sigmaX和sigmaY都是0, 那么就由 ksize.width和ksize.height计算出来。 为了结果的正确性着想,最好是把第三个参数Size、第四个参数 sigmaX 和第 五个参数sigmaY全部指定到。
  • 第六个参数,int类型的 borderType,用于推断图像外部像素的某种边界模式。有默认值 BORDER_DEFAULT,我们一般不去管它。

3 示例

代码:

//---------------------------------【头文件、命名空间包含部分】-------------------------------
//		描述:包含程序所使用的头文件和命名空间
//-----------------------------------------------------------------------------------------
#include "opencv2/core/core.hpp" 
#include "opencv2/highgui/highgui.hpp" 
#include "opencv2/imgproc/imgproc.hpp" 
using namespace cv; 

//-----------------------------------【main( )函数】--------------------------------------------
//	描述:控制台应用程序的入口函数,我们的程序从这里开始
//---------------------------------------------------------------------------------------------
int main( )
{ 
	// 载入原图
	Mat image=imread("1.jpg"); 

	//创建窗口
	namedWindow( "高斯滤波【原图】" ); 
	namedWindow( "高斯滤波【效果图】"); 

	//显示原图
	imshow( "高斯滤波【原图】", image ); 

	//进行高斯滤波操作
	Mat out; 
	GaussianBlur( image, out, Size( 5, 5 ), 0, 0 ); 

	//显示效果图
	imshow( "高斯滤波【效果图】" ,out ); 

	waitKey( 0 );     
} 

效果图:

0.png