二叉树的序列化与反序列化

60 阅读1分钟

开启掘金成长之旅!这是我参与「掘金日新计划 · 12 月更文挑战」的第20天,点击查看活动详情

297. 二叉树的序列化与反序列化 - 力扣(Leetcode)

序列化是将一个数据结构或者对象转换为连续的比特位的操作,进而可以将转换后的数据存储在一个文件或者内存中,同时也可以通过网络传输到另一个计算机环境,采取相反方式重构得到原数据。

请设计一个算法来实现二叉树的序列化与反序列化。这里不限定你的序列 / 反序列化算法执行逻辑,你只需要保证一个二叉树可以被序列化为一个字符串并且将这个字符串反序列化为原始的树结构。

提示: 输入输出格式与 LeetCode 目前使用的方式一致,详情请参阅 LeetCode 序列化二叉树的格式。你并非必须采取这种方式,你也可以采用其他的方法解决这个问题。

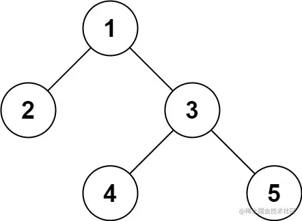
示例 1:

输入: root = [1,2,3,null,null,4,5]
输出: [1,2,3,null,null,4,5]

示例 2:

输入: root = []
输出: []

示例 3:

输入: root = [1]
输出: [1]

示例 4:

输入: root = [1,2]
输出: [1,2]

提示:

  • 树中结点数在范围 [0, 10^4]
  • -1000 <= Node.val <= 1000

思路

本题最简单的解法就是借助JSON的序列化和反序列化,代码很简单,就不写了。我们还可以利用广度优先遍历来序列化和反序列化二叉树,这个在数据结构课上都学过,代码如下。

解题

/**
 * Definition for a binary tree node.
 * function TreeNode(val) {
 *     this.val = val;
 *     this.left = this.right = null;
 * }
 */
function TreeNode(val, left = null, right = null) {
  this.val = val;
  this.left = left;
  this.right = right;
}

/**
 * Encodes a tree to a single string.
 *
 * @param {TreeNode} root
 * @return {string}
 */
var serialize = function (root) {
  const arr = [];
  const nodes = [root];
  for (let i = 0; i < nodes.length; i++) {
    const node = nodes[i];
    if (node) {
      arr.push(node.val);
      nodes.push(node.left);
      nodes.push(node.right);
    } else {
      arr.push(null);
    }
  }
  while (arr[arr.length - 1] === null) {
    arr.pop();
  }
  return arr;
};

/**
 * Decodes your encoded data to tree.
 *
 * @param {string} data
 * @return {TreeNode}
 */
var deserialize = function (data) {
  if (!data.length) return null;
  const nodes = [new TreeNode(data[0])];
  for (let i = 1; i < data.length; i++) {
    const left = i & 1;
    const nodeIdx = (i - 1) >> 1;
    if (data[i] !== null) {
      const node = new TreeNode(data[i]);
      nodes[nodeIdx][left ? "left" : "right"] = node;
      nodes.push(node);
    }
  }
  return nodes[0];
};

/**
 * Your functions will be called as such:
 * deserialize(serialize(root));
 */