Spark系列之Spark的数据倾斜

110 阅读24分钟

开启掘金成长之旅!这是我参与「掘金日新计划 · 12 月更文挑战」的第18天,点击查看活动详情

Spark系列之Spark的数据倾斜

第九章 Spark的数据倾斜

9.1 Spark调优概述

有的时候,我们可能会遇到大数据计算中一个最棘手的问题——数据倾斜,此时 Spark 作业的性能会比期望差很多。数据倾斜调优,就是使用各种技术方案解决不同类型的数据倾斜问题,以保证 Spark 作业的性能。

不怕数据量大,只怕数据倾斜
关注整体最优,而不是局部优化

9.2 数据倾斜发生时的现象

假设我是将军,我有100个精兵。战斗力都是一样的。干同样一件事。完成所需时间是一样的。
有些人做的快,有些人做的慢。 慢的程度太大。 数据倾斜。
​
一个stage中有多个同种类型的task并行执行,整个stage的执行时间由执行时间最长的task决定
spark当中的运行机制:上一个stage运行结束之后,进行shuffle, 下一个stage才能执行
1、绝大多数task执行得都非常快,但个别task执行极慢。比如,总共有1000个task,997个task都在1分钟之内执行完了,但是剩余两三个task却要一两个小时。这种情况很常见。
​
2、原本能够正常执行的Spark作业,某天突然报出OOM(内存溢出)异常,观察异常栈,是我们写的业务代码造成的。这种情况比较少见。

如果应用程序由以上的这些情况,判断是否发生了数据倾斜。标准! 符合这两个现象。

9.3 数据倾斜发生的原理

数据倾斜的原理很简单:在进行 shuffle 的时候,必须将各个节点上相同的 key 拉取到某个节点上的一个 task 来进行处理,比如按照 key 进行聚合或 join 等操作。此时如果某个 key 对应的数据量特别大的话,就会发生数据倾斜。比如大部分 key 对应 10 条数据,但是个别 key 却对应了 100 万条数据,那么大部分 task 可能就只会分配到10 条数据,然后 1 秒钟就运行完了;但是个别 task 可能分配到了 100万数据,要运行一两个小时。因此,整个Spark作业的运行进度是由运行时间最长的那个task决定的。

总结:一个Spark应用程序中的某个Task的运行时间长度远远大于其他的大部分Task的运行时长。
原因:这个Task处理的数据量远远大于其他Task处理的数据量。shuffle过程中的key分布不均匀导致的。
结果:一个应用程序的执行完成时间,由运行时间最长的那个Task的运行时间决定的。大量Task处于等待状态。任务运行效率低,资源闲置。

因此出现数据倾斜的时候,Spark 作业看起来会运行得非常缓慢,甚至可能因为某个 task 处理的数据 量过大导致内存溢出。

数据倾斜发生的原理示意图.png

常见的进行shuffle(数据分发的规则)规则有那些?

1、Hash散列:绝大部分计算引擎都使用的默认方式
    优点:相同的元素一定会被分发到同一个分区
    缺点:会造成数据倾斜
​
2、轮询分区:
    优点:数据几乎绝对均匀
    缺点:相同的数据不会保证被分发到同一个分区
​
3、范围分区:hbase的table的默认规则
    优点:相邻的数据在同一个分区
    缺点:切分的中间值,否则会造成数据倾斜
    hbase解决数据倾斜的方案:每个region分裂的时候,按照从中间切割的方式
​
4、随机分区
    优点:数据几乎绝对均匀
    缺点:相同的数据也几乎被均匀的分发到各个分区
​
5、自定义分区
    优点:灵活
    缺点:分区细节太多,需要自己指定

9.4 如何定位导致数据倾斜的代码

数据倾斜只会发生在 shuffle 过程中。这里给大家罗列一些常用的并且可能会触发 shuffle 操作的算子:distinct、groupByKey、reduceByKey、aggregateByKey、join、cogroup、repartition等。出现数据倾斜时,可能就是你的代码中使用了这些算子中的某一个所导致的。

9.4.1 某个task执行特别慢的情况

某个task执行特别慢的情况.png

首先要看的,就是数据倾斜发生在第几个 stage 中。

如果是用 yarn-client 模式提交,那么本地是直接可以看到 log 的,可以在 log 中找到当前运行到了第几个 stage;如果是用 yarn-cluster 模式提交,则可以通过 Spark Web UI 来查看当前运行到了第几个stage。此外,无论是使用 yarn-client 模式还是 yarn-cluster 模式,我们都可以在 Spark Web UI 上深入看一下当前这个 stage 各个 task 分配的数据量,从而进一步确定是不是 task 分配的数据不均匀导致了数据倾斜。

知道数据倾斜发生在哪一个 stage 之后,接着我们就需要根据 stage 划分原理,推算出来发生倾斜的那个 stage 对应代码中的哪一部分,这部分代码中肯定会有一个 shuffle 类算子。精准推算 stage 与代码的对应关系,需要对Spark 的源码有深入的理解,这里我们可以介绍一个相对简单实用的推算方法:只要看到 Spark 代码中出现了一个 shuffle 类算子或者是 Spark SQL 的 SQL 语句中出现了会导致 shuffle的语句(比如 group by 语句),那么就可以判定,以那个地方为界限划分出了前后两个 stage。

9.4.2 某个 task 莫名其妙内存溢出的情况

这种情况下去定位出问题的代码就比较容易了。我们建议直接看 yarn-client 模式下本地 log 的异常栈,或者是通过 YARN 查看 yarn-cluster 模式下的 log 中的异常栈。一般来说,通过异常栈信息就可以定位到你的代码中哪一行发生了内存溢出。然后在那行代码附近找找,一般也会有 shuffle 类算子,此时很可能就是这个算子导致了数据倾斜。

但是大家要注意的是,不能单纯靠偶然的内存溢出就判定发生了数据倾斜。因为自己编写的代码的bug,以及偶然出现的数据异常,也可能会导致内存溢出。因此还是要按照上面所讲的方法,通过Spark Web UI 查看报错的那个 stage 的各个 task 的运行时间以及分配的数据量,才能确定是否是由于数据倾斜才导致了这次内存溢出。

9.4.3 查看导致数据倾斜的key的数据分布情况

知道了数据倾斜发生在哪里之后,通常需要分析一下那个执行了 shuffle 操作并且导致了数据倾斜的RDD/Hive表,查看一下其中 key 的分布情况。这主要是为之后选择哪一种技术方案提供依据。针对不同的 key 分布与不同的 shuffle 算子组合起来的各种情况,可能需要选择不同的技术方案来解决。

此时根据你执行操作的情况不同,可以有很多种查看key分布的方式:

1、如果是Spark SQL中的group byjoin语句导致的数据倾斜,那么就查询一下SQL中使用的表的key分布情况。
​
2、如果是对Spark RDD执行shuffle算子导致的数据倾斜,那么可以在Spark作业中加入查看key分布的代码,比如RDD.countByKey()。然后对统计出来的各个key出现的次数,collect/take到客户端打印一下,就可以看到key的分布情况。

举例来说,对于上面所说的单词计数程序,如果确定了是 stage1 的 reduceByKey 算子导致了数据倾斜,那么就应该看看进行 reduceByKey 操作的 RDD 中的 key 分布情况,在这个例子中指的就是 pairsRDD。如下示例,我们可以先对 pairs 采样 10% 的样本数据,然后使用 countByKey 算子统计出每个key 出现的次数,最后在客户端遍历和打印样本数据中各个 key 的出现次数。

// false,不放回
// 0.1 每条数据被抽取到的概率, 总共抽取10%的数据。
val sampledPairs = pairs.sample(false, 0.1)
​
//统计每个key出现多少次
val sampledWordCounts = sampledPairs.countByKey()
sampledWordCounts.foreach(println(_))
假设有100TB的数据,抽样出来10G的数据。做一个countByKey的操作, 统计每个key出现多少次、甚至还可以实现相同的逻辑。

9.5 数据倾斜的解决方案

关于数据倾斜,是所有的大数据分布式计算引擎都会遇到的问题。在此,给各位讲解8种常用的解决数据倾斜的方案。希望各位记住这8种方案的适用场景,实现思路,实现原理,方案的优缺点,和相关实践经验。

适用场景
实现思路
实现原理
优缺点
实践经验

9.5.1 方案一:使用Hive ETL预处理数据

现在有一个spark应用程序针对某个hive表进行处理发生了倾斜。
解决方案:让hive表的数据分布均匀即可。

把Spark中出现的数据倾斜提前到Hive的ETL中。提高Spark的应用程序的执行效率。
  • 方案适用场景:导致数据倾斜的是 Hive 表。如果该 Hive 表中的数据本身很不均匀(比如某个 key 对应了 100 万数据,其他 key 才对应了 10 条数据),而且业务场景需要频繁使用 Spark 对 Hive 表执行某个分析操作,那么比较适合使用这种技术方案。
  • 方案实现思路:此时可以评估一下,是否可以通过 Hive 来进行数据预处理(即通过 Hive ETL 预先对数据按照 key进行聚合,或者是预先和其他表进行 join),然后在 Spark 作业中针对的数据源就不是原来的 Hive 表了,而是预处理后的 Hive 表。此时由于数据已经预先进行过聚合或 join 操作了,那么在Spark 作业中也就不需要使用原先的 shuffle 类算子执行这类操作了。
  • 方案实现原理:这种方案从根源上解决了数据倾斜,因为彻底避免了在 Spark 中执行 shuffle 类算子,那么肯定就不会有数据倾斜的问题了。但是这里也要提醒一下大家,这种方式属于治标不治本。因为毕竟数据本身就存在分布不均匀的问题,所以 Hive ETL 中进行 group by 或者 join 等 shuffle 操作时,还是会出现数据倾斜,导致 Hive ETL 的速度很慢。我们只是把数据倾斜的发生提前到了 Hive ETL 中,避免 Spark 程序发生数据倾斜而已。
  • 方案优点:实现起来简单便捷,效果还非常好,完全规避掉了数据倾斜,Spark 作业的性能会大幅度提升。
  • 方案缺点:治标不治本,Hive ETL 中还是会发生数据倾斜。
  • 方案实践经验:在一些 Java 系统与 Spark 结合使用的项目中,会出现 Java 代码频繁调用 Spark 作业的场景,而且对 Spark 作业的执行性能要求很高,就比较适合使用这种方案。将数据倾斜提前到上游的Hive ETL,每天仅执行一次,只有那一次是比较慢的,而之后每次 Java 调用 Spark 作业时,执行速度都会很快,能够提供更好的用户体验。
  • 项目实践经验:在美团·点评的交互式用户行为分析系统中使用了这种方案,该系统主要是允许用户通过Java Web系统提交数据分析统计任务,后端通过 Java 提交 Spark 作业进行数据分析统计。要求 Spark作业速度必须要快,尽量在 10 分钟以内,否则速度太慢,用户体验会很差。所以我们将有些 Spark 作业的 shuffle 操作提前到了 Hive ETL 中,从而让 Spark 直接使用预处理的 Hive 中间表,尽可能地减少Spark 的 shuffle 操作,大幅度提升了性能,将部分作业的性能提升了 6 倍以上

9.5.2 方案二:过滤少数导致倾斜的Key

the  of   a  is 
停用词
  • 方案适用场景:如果发现导致倾斜的 key 就少数几个,而且对计算本身的影响并不大的话,那么很适合使用这种方案。比如 99% 的 key 就对应 10 条数据,但是只有一个key对应了 100 万数据,从而导致了数据倾斜。
  • 方案实现思路:如果我们判断那少数几个数据量特别多的 key,对作业的执行和计算结果不是特别重要的话,那么干脆就直接过滤掉那少数几个 key。比如,在 Spark SQL 中可以使用 where 子句过滤掉这些 key 或者在 Spark Core 中对 RDD 执行 filter 算子过滤掉这些 key。如果需要每次作业执行时,动态判定哪些 key 的数据量最多然后再进行过滤,那么可以使用 sample 算子对 RDD 进行采样,然后计算出每个 key 的数量,取数据量最多的 key 过滤掉即可。
  • 方案实现原理:将导致数据倾斜的 key 给过滤掉之后,这些 key 就不会参与计算了,自然不可能产生数据倾斜。
  • 方案优点:实现简单,而且效果也很好,可以完全规避掉数据倾斜。
  • 方案缺点:适用场景不多,大多数情况下,导致倾斜的key还是很多的,并不是只有少数几个。
  • 方案实践经验:在项目中我们也采用过这种方案解决数据倾斜。有一次发现某一天 Spark 作业在运行的时候突然OOM 了,追查之后发现,是 Hive 表中的某一个 key 在那天数据异常,导致数据量暴增。因此就采取每次执行前先进行采样,计算出样本中数据量最大的几个 key 之后,直接在程序中将那些 key给过滤掉。

9.5.3 方案三:提高shuffle操作的并行度

方案三:提高shuffle操作的并行度.png

  • 方案适用场景:如果我们必须要对数据倾斜迎难而上,那么建议优先使用这种方案,因为这是处理数据倾斜最简单的一种方案。
  • 方案实现思路:在对 RDD 执行 shuffle 算子时,给 shuffle 算子传入一个参数,比如reduceByKey(1000),该参数就设置了这个 shuffle 算子执行时 shuffle read task 的数量。对于 Spark SQL 中的 shuffle 类语句,比如 group by、join 等,需要设置一个参数,即spark.sql.shuffle.partitions,该参数代表了 shuffle read task 的并行度,该值默认是 200,对于很多场景来说都有点过小。
  • 方案实现原理:增加 shuffle read task 的数量,可以让原本分配给一个 task 的多个 key 分配给多个task,从而让每个task处理比原来更少的数据。举例来说,如果原本有 5 个 key,每个 key 对应 10 条数据,这 5 个 key 都是分配给一个 task 的,那么这个 task 就要处理 50 条数据。而增加了 shuffle read task 以后,每个 task 就分配到一个 key,即每个 task 就处理 10 条数据,那么自然每个 task 的执行时间都会变短了。具体原理如下图所示。
  • 方案优点:实现起来比较简单,可以有效缓解和减轻数据倾斜的影响。
  • 方案缺点:只是缓解了数据倾斜而已,没有彻底根除问题,根据实践经验来看,其效果有限。
  • 方案实践经验:该方案通常无法彻底解决数据倾斜,因为如果出现一些极端情况,比如某个 key 对应的数据量有100 万,那么无论你的 task 数量增加到多少,这个对应着 100 万数据的 key 肯定还是会分配到一个 task 中去处理,因此注定还是会发生数据倾斜的。所以这种方案只能说是在发现数据倾斜时尝试使用的第一种手段,尝试去用嘴简单的方法缓解数据倾斜而已,或者是和其他方案结合起来使用。

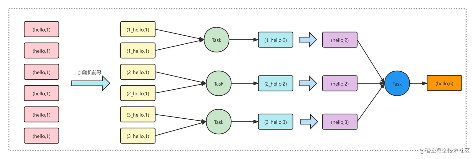
9.5.4 方案四:两阶段聚合(局部聚合+全局聚合)

在导致倾斜的常见场景中,针对于 聚合操作 产生的 倾斜来说,这可以认为是一种通用的解决方:
rdd.map(x.key => random + x.key).reduceByKey().map(random + x.key =>x.key).reduceByKey()

方案四:两阶段聚合(局部聚合+全局聚合).png

  • 方案适用场景:对 RDD 执行 reduceByKey 等聚合类 shuffle 算子或者在 Spark SQL 中使用 group by语句进行分组聚合时,比较适用这种方案。
  • 方案实现思路:这个方案的核心实现思路就是进行两阶段聚合。第一次是局部聚合,先给每个 key 都打上一个随机数,比如 10 以内的随机数,此时原先一样的 key 就变成不一样的了,比如 (hello, 1) (hello,1) (hello, 1) (hello, 1),就会变成 (1_hello, 1) (1_hello, 1) (2_hello, 1) (2_hello, 1)。接着对打上随机数后的数据,执行 reduceByKey 等聚合操作,进行局部聚合,那么局部聚合结果,就会变成了(1_hello, 2)(2_hello, 2)。然后将各个 key 的前缀给去掉,就会变成 (hello,2)(hello,2),再次进行全局聚合操作,就可以得到最终结果了,比如 (hello, 4)。
  • 方案实现原理:将原本相同的key通过附加随机前缀的方式,变成多个不同的 key,就可以让原本被一个 task 处理的数据分散到多个 task 上去做局部聚合,进而解决单个task处理数据量过多的问题。接着去除掉随机前缀,再次进行全局聚合,就可以得到最终的结果。具体原理见下图。
  • 方案优点:对于聚合类的 shuffle 操作导致的数据倾斜,效果是非常不错的。通常都可以解决掉数据倾斜,或者至少是大幅度缓解数据倾斜,将 Spark 作业的性能提升数倍以上。
  • 方案缺点:仅仅适用于聚合类的 shuffle 操作,适用范围相对较窄。如果是 join 类的 shuffle 操作,还得用其他的解决方案。

9.5.5 方案五:将reduce join转为map join

rdd1.join.rdd2
有一个比较小,而且小到放到内存当中
广播变量机制
	分发数据到所有的task节点所在的服务器
	只发一份
  • 方案适用场景:在对 RDD 使用 join 类操作,或者是在 Spark SQL 中使用 join 语句时,而且 join 操作中的一个RDD 或表的数据量比较小(比如几百M或者一两G),比较适用此方案。
  • 方案实现思路:不使用 join 算子进行连接操作,而使用 Broadcast 变量与 map 类算子实现 join 操作,进而完全规避掉 shuffle 类的操作,彻底避免数据倾斜的发生和出现。将较小 RDD 中的数据直接通过collect 算子拉取到Driver 端的内存中来,然后对其创建一个 Broadcast 变量;接着对另外一个 RDD 执行 map 类算子,在算子函数内,从 Broadcast 变量中获取较小 RDD 的全量数据,与当前 RDD 的每一条数据按照连接 key 进行比对,如果连接 key 相同的话,那么就将两个 RDD 的数据用你需要的方式连接起来。
  • 方案实现原理:普通的 join 是会走 shuffle 过程的,而一旦 shuffle,就相当于会将相同 key 的数据拉取到一个shuffle read task 中再进行 join,此时就是 reduce join。但是如果一个 RDD 是比较小的,则可以采用广播小 RDD 全量数据 + map 算子来实现与 join 同样的效果,也就是 map join,此时就不会发生 shuffle 操作,也就不会发生数据倾斜。
  • 方案优点:对 join 操作导致的数据倾斜,效果非常好,因为根本就不会发生 shuffle,也就根本不会发生数据倾斜。
  • 方案缺点:适用场景较少,因为这个方案只适用于一个大表和一个小表的情况。毕竟我们需要将小表进行广播,此时会比较消耗内存资源,driver 和每个 Executor 内存中都会驻留一份小 RDD 的全量数据。如果我们广播出去的RDD 数据比较大,比如 10G 以上,那么就可能发生内存溢出了。因此并不适合两个都是大表的情况。

9.5.6 方案六:采样倾斜key并分拆join操作

如果导致倾斜的key是最终数据结果的一部分,不能丢弃,那么就应该把这些导致倾斜的key, 拿出来单独处理
1、第一个任务,由于已经没有了导致倾斜的key,所以这个普通任务没有数据倾斜
2、第二个任务,拿出来的key单独形成一个任务,单独处理。
最后需要做一个操作:把两部分结果给union起来

方案适用场景:两个 RDD/Hive 表进行 join 的时候,如果数据量都比较大,无法采用“解决方案五”,那么此时可以看一下两个 RDD/Hive 表中的 key 分布情况。如果出现数据倾斜,是因为其中某一个RDD/Hive 表中的少数几个 key 的数据量过大,而另一个 RDD/Hive 表中的所有 key 都分布比较均匀,那么采用这个解决方案是比较合适的。

方案实现思路: 总结成一下几个步骤:

1、对包含少数几个数据量过大的 key 的那个 RDD,通过 sample 算子采样出一份样本来,然后统计一下每个 key 的数量,计算出来数据量最大的是哪几个 key2、然后将这几个 key 对应的数据从原来的 RDD 中拆分出来,形成一个单独的 RDD,并给每个 key 都打上 n 以内的随机数作为前缀,而不会导致倾斜的大部分 key 形成另外一个 RDD。
3、接着将需要 join 的另一个 RDD,也过滤出来那几个倾斜 key 对应的数据并形成一个单独的 RDD,将每条数据膨胀成 n 条数据,这 n 条数据都按顺序附加一个 0~n 的前缀,不会导致倾斜的大部分 key 也形成另外一个 RDD。
4、再将附加了随机前缀的独立 RDD 与另一个膨胀 n 倍的独立 RDD 进行 join,此时就可以将原先相同的key 打散成 n 份,分散到多个 task 中去进行 join 了。
5、而另外两个普通的 RDD 就照常 join 即可。
6、最后将两次 join 的结果使用 union 算子合并起来即可,就是最终的 join 结果。

方案实现原理:对于 join 导致的数据倾斜,如果只是某几个 key 导致了倾斜,可以将少数几个 key 分拆成独立 RDD,并附加随机前缀打散成 n 份去进行 join,此时这几个 key 对应的数据就不会集中在少数几个 task 上,而是分散到多个 task 进行 join 了。

方案优点:对于 join 导致的数据倾斜,如果只是某几个 key 导致了倾斜,采用该方式可以用最有效的方式打散 key 进行 join。而且只需要针对少数倾斜 key 对应的数据进行扩容 n 倍,不需要对全量数据进行扩容。避免了占用过多内存。

方案缺点:如果导致倾斜的 key 特别多的话,比如成千上万个 key 都导致数据倾斜,那么这种方式也不适合。

9.5.7 方案七:使用随机前缀和扩容RDD进行join

方案适用场景:如果在进行 join 操作时,RDD 中有大量的 key 导致数据倾斜,那么进行分拆 key 也没什么意义,此时就只能使用最后一种方案来解决问题了。

方案实现思路: 总结成以下几步:

1、该方案的实现思路基本和“解决方案六”类似,首先查看RDD/Hive表中的数据分布情况,找到那个造成数据倾斜的RDD/Hive表,比如有多个key都对应了超过1万条数据。
2、然后将该RDD的每条数据都打上一个n以内的随机前缀。
3、同时对另外一个正常的RDD进行扩容,将每条数据都扩容成n条数据,扩容出来的每条数据都依次打上一个0~n的前缀。 4、最后将两个处理后的RDD进行join即可。

方案实现原理:将原先一样的 key 通过附加随机前缀变成不一样的 key,然后就可以将这些处理后的“不同key” 分散到多个 task 中去处理,而不是让一个 task 处理大量的相同 key。该方案与“解决方案六”的不同之处就在于,上一种方案是尽量只对少数倾斜 key 对应的数据进行特殊处理,由于处理过程需要扩容 RDD,因此上一种方案扩容RDD 后对内存的占用并不大;而这一种方案是针对有大量倾斜 key 的情况,没法将部分 key 拆分出来进行单独处理,因此只能对整个 RDD 进行数据扩容,对内存资源要求很高。

方案优点:对 join 类型的数据倾斜基本都可以处理,而且效果也相对比较显著,性能提升效果非常不错。

方案缺点:该方案更多的是缓解数据倾斜,而不是彻底避免数据倾斜。而且需要对整个 RDD 进行扩容,对内存资源要求很高。

方案实践经验:曾经开发一个数据需求的时候,发现一个 join 导致了数据倾斜。优化之前,作业的执行时间大约是 60 分钟左右;使用该方案优化之后,执行时间缩短到 10 分钟左右,性能提升了 6 倍。

9.5.8 方案八:融会贯通

在实践中发现,很多情况下,如果只是处理较为简单的数据倾斜场景,那么使用上述方案中的某一种基本就可以解决。但是如果要处理一个较为复杂的数据倾斜场景,那么可能需要将多种方案组合起来使用。比如说,我们针对出现了多个数据倾斜环节的 Spark 作业,可以先运用解决方案一和二,预处理一部分数据,并过滤一部分数据来缓解;其次可以对某些 shuffle 操作提升并行度,优化其性能;最后还可以针对不同的聚合或 join 操作,选择一种方案来优化其性能。大家需要对这些方案的思路和原理都透彻理解之后,在实践中根据各种不同的情况,灵活运用多种方案,来解决自己的数据倾斜问题。



声明:
        文章中代码及相关语句为自己根据相应理解编写,文章中出现的相关图片为自己实践中的截图和相关技术对应的图片,若有相关异议,请联系删除。感谢。转载请注明出处,感谢。

        落叶飘雪