Zookeeper(一)

163 阅读2分钟

开启掘金成长之旅!这是我参与「掘金日新计划 · 12 月更文挑战」的第14天,点击查看活动详情

Zookeeper

image-20210223154848739

1. ZK简介

  • dubbo框架 springcloud 框架 zk 注册中心 AService BService
  • Hadoop Hbase 组件 集群架构 zk 集群管理者
  • zk实现分布式锁 redis分布式

ZooKeeper(动物园管理者) 简称 ZK一个分布式的,开放源码的分布式应用程序协调服务,是Google的Chubby一个开源的实现,是Hadoop和Hbase的重要组件。ZooKeeper 使用 Java 所编写,但是支持 Java 和 C 两种编程语言。


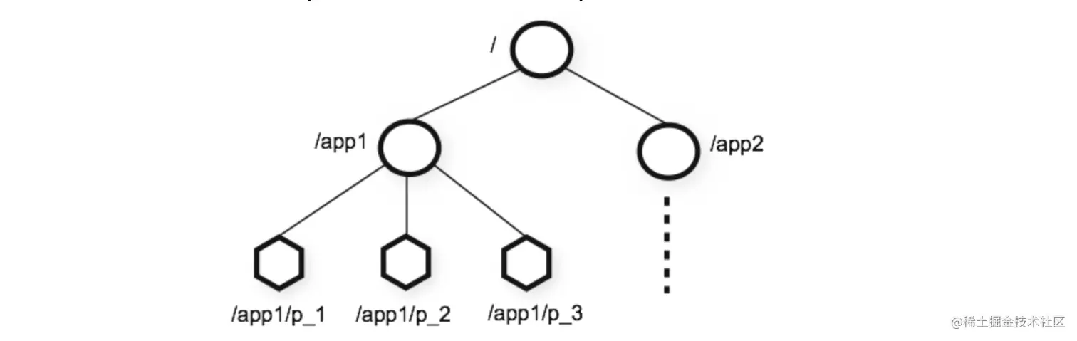
2. ZK内存数据模型

2.1 模型结构

image-20210223173257910

2.2 模型的特点

  • 每个子目录如/node1都被称作一个znode(节点)。这个 znode 是被它所在的路径唯一标识
  • znode 可以有子节点目录,并且每个 znode 可以存储数据
  • znode 是有版本的,每个 znode 中存储的数据可以有多个版本,也就是一个访问路径中可以存储多份数据
  • znode 可以被监控,包括这个目录节点中存储的数据的修改,子节点目录的变化等,一旦变化可以通知设置监控的客户端

3. 节点的分类

3.1 持久节点(PERSISTENT)

 是指在节点创建后,就一直存在,直到有删除操作来主动删除这个节点——不会因为创建该节点的客户端会话失效而消失

3.2 持久顺序节点(PERSISTENT_SEQUENTIAL)

这类节点的基本特性和上面的节点类型是一致的。额外的特性是,在ZK中,每个父节点会为他的第一级子节点维护一份时序,会记录每个子节点创建的先后顺序。基于这个特性,在创建子节点的时候,可以设置这个属性,那么在创建节点过程中,ZK会自动为给定节点名加上一个数字后缀,作为新的节点名。这个数字后缀的范围是整型的最大值。

3.3 临时节点(EPHEMERAL)

和持久节点不同的是,临时节点的生命周期和客户端会话绑定。也就是说,如果客户端会话失效,那么这个节点就会自动被清除掉。注意,这里提到的是会话失效,而非连接断开。另外,在临时节点下面不能创建子节点。 

3.4 临时顺序节点(EPHEMERAL_SEQUENTIAL)

具有临时节点特点,额外的特性是,每个父节点会为他的第一级子节点维护一份时序。这点和刚才提到的持久顺序节点类似