力扣206 - 反转链表【校招面试高频考题】

129 阅读4分钟

开启掘金成长之旅!这是我参与「掘金日新计划 · 12 月更文挑战」的第18天

@TOC

一、题目描述

原题传送门 给你单链表的头节点 head ,请你反转链表,并返回反转后的链表。

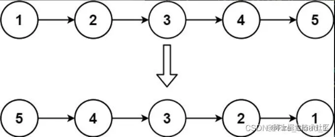
示例 1: 在这里插入图片描述

输入:head = [1,2,3,4,5] 输出:[5,4,3,2,1]

示例 2: 在这里插入图片描述

输入:head = [1,2] 输出:[2,1]

示例 3:

输入:head = [] 输出:[]

提示:

  • 链表中节点的数目范围是 [0, 5000]
  • -5000 <= Node.val <= 5000

二、思路分析

好,看完题目的描述,我们来分析一下去求解这道题目

  • 对于本题,是校招面试中的高频考题,所以我要专门拿出来做讲解,这题的思路并不难,考验的是你对于链表结构的基本功,接下来我们一起来分析一下
  • 对于本题,我会讲解两种方式,一种是利用头插,一种是利用三指针迭代。两种方法的思路很相似,但是本质却不同,听我给你道来

1、头插

  • 对于头插这一种方法,也就是将结点一一地插入到链表的头后,所以我们需要先去建立出一个新的链表头,也就是我下面的这个【rhead】,通过去遍历原先的链表将这些结点一一转移过去即可
  • 但是在一个结点转移后下一个结点就找不到了,于是我们需要先去保存下一个结点

在这里插入图片描述

  • 然后让【cur】的next去指向【rhead】,然后更新rhead和cur的值

在这里插入图片描述

  • 然后我们通过保存下一个结点继续去进行一个头插

在这里插入图片描述

  • 继续头插【2】结点,做结点指针的更新

在这里插入图片描述

  • 同理

在这里插入图片描述

  • 同上

在这里插入图片描述

  • 此时当【cur == NULL】时,便结束一个遍历,然后新链表的头就是【rhead】,返回即可

在这里插入图片描述

  • 可以看出,这其实并不算真正意义上的头插,对于头插法,大家最熟悉的应该是
newnode->next = head->next;
head->next = newnode;
  • 下面这种叫做带头结点的插入,我上面这种是不带头结点的,这个大家要做好区分
  • 代码在后面给出

2、三指针迭代

  • 然后我们再来讲一讲三指针的迭代方法,这种方法不需要在去创建一个新的头结点指针,只需要在原先的链表上进行一个操作即可,也就是定义三个指针,一个【cur】指向当前链表的头,一个【nextNode】指向cur的next,一样是用于保存,还有一个则是【prev】,这个的话其实是用来算作链表最后一个结点指向空的,初始化就像下面这样

在这里插入图片描述

  • 然后执行一个循环的逻辑,将【cur->next = prev】,让原本的头【cur】作为反转后新链表的尾巴,接着就是进行的一个迭代操作,首先将【cur】当前的值给到【prev】,然后将【nextNode】当前的值给到【cur】,然后让【nextNode】继续向下,这个时候其实就进行了一个迭代的操作

在这里插入图片描述

  • 然后继续做翻转,让【cur->next】指向prev

在这里插入图片描述

  • 同理

在这里插入图片描述

在这里插入图片描述

  • 可以看到,当这个【cur == NULL】时,整个链表便完成了一个翻转,此时便结束循环迭代的逻辑

在这里插入图片描述

  • 然后可以看到,此时新链表的头并不是【cur】,而是【prev】,所以最后应该返回【prev】
  • 代码一样在下一模块给出

三、整体代码展示【需要自取】

1、头插

这里展示一下整体代码,将上面我们的解说进行代码的一个转化

class Solution {
public:
    ListNode* reverseList(ListNode* head) {
        ListNode* cur = head;
        ListNode* rhead = NULL;
        while(cur)
        {
            ListNode* nextNode = cur->next;     //优先保存cur的next结点
            //头插
            cur->next = rhead;
            rhead = cur;

            cur = nextNode;
        }
        return rhead;
    }
};

2、三指针迭代

class Solution {
public:
    ListNode* reverseList(ListNode* head) {
        if(head == NULL)
            return NULL;
        ListNode* prev = NULL;
        ListNode* cur = head;
        ListNode* nextNode = cur->next;

        while(cur)
        {
            cur->next = prev;

            //迭代
            prev = cur;
            cur = nextNode;
            if(nextNode)
                nextNode = nextNode->next;
        }
        return prev;
    }
};

四、总结与提炼

  • 最后我们来总结一下本文所介绍的内容,本文讲解来一道力扣中有关链表翻转的题目,这道题目是校招笔试面试中有关链表章节==非常高频==的一道题目,大家下去一定要自己再画画图,分析一下,把这段代码逻辑自己实现一遍,才能更好地掌握

以上就是本文所要描述的所有内容,感谢您对本文的观看,如有疑问请于评论区留言或者私信我都可以:four_leaf_clover: