力扣题解:83. 删除排序链表中的重复元素

78 阅读1分钟

开启掘金成长之旅!这是我参与「掘金日新计划 · 12 月更文挑战」的第8天,点击查看活动详情

一、题目描述:

83. 删除排序链表中的重复元素 - 力扣(LeetCode)

给定一个已排序的链表的头 head , 删除所有重复的元素,使每个元素只出现一次 。返回 已排序的链表 。

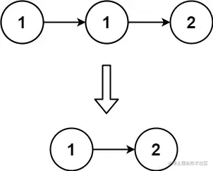
示例 1:

image.png

输入:head = [1,1,2]
输出:[1,2]

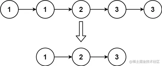
示例 2:

image.png

输入:head = [1,1,2,3,3]
输出:[1,2,3]

提示:

  • 链表中节点数目在范围 [0, 300] 内
  • -100 <= Node.val <= 100
  • 题目数据保证链表已经按升序 排列

二、思路分析:

由于链表是排好序的,所以每次判断当前点和下一个点的值是否相等,如果相等就用当前点指向下下个点。

三、AC 代码:

class Solution {
    public ListNode deleteDuplicates(ListNode head) {
        if (head == null) 
            return head;
        ListNode cur = head;
        while (cur.next != null) {
            if (cur.val == cur.next.val) 
                cur.next = cur.next.next;
            else 
                cur = cur.next;
        }
        return head;
    }
}

四、总结:

快慢指针也是一个不错的解法,需要练习下。

快慢指针

当快指针的值与慢指针的值相等时,右移快指针 当快指针的值与慢指针的值不等时,令慢指针的 next 指向快指针,右移双指针 当快指针到达链表末尾时,结束

范文参考:

画解算法:83. 删除排序链表中的重复元素 - 删除排序链表中的重复元素 - 力扣(LeetCode) (leetcode-cn.com)

83. 删除排序链表中的重复元素 —— 如果下个节点与当前节点不同 就 连上 - 删除排序链表中的重复元素 - 力扣(LeetCode)

适合新手朋友的超详细视频题解 - 删除排序链表中的重复元素 - 力扣(LeetCode) (leetcode-cn.com)