关系的运算

277 阅读1分钟

开启掘金成长之旅!这是我参与「掘金日新计划 · 12 月更文挑战」的第13天,点击查看活动详情

关系的基本运算定义

定义域、值域 和 域

   domR = { x | ∃y (<x,y>∈R) }
   ranR = { y | ∃x (<x,y>∈R) }
   fldR = domR ∪ ranR

···

例1 R={<1,2>,<1,3>,<2,4>,<4,3>}, 则
domR={1, 2, 4}
ranR={2, 3, 4}
fldR={1, 2, 3, 4}

逆运算

      1/R = {<y,x> | <x,y>∈R}
     

例2

R={<1,2>, <2,3>, <1,4>, <2,2>},求1/R

      1/R={<2,1>, <3,2>, <4,1>, <2,2>} 
      
      

合成运算

R∘S = {|<x,z> |∃ y(<x,y>∈R∧ <y,z>∈S) }

例:R={<1,2>, <2,3>, <1,4>, <2,2>}

 S={<1,1>, <1,3>, <2,3>, <3,2>, <3,3>} 
 R∘S ={<1,3>, <2,2>, <2,3>}
 S∘R ={<1,2>, <1,4>, <3,2>, <3,3>}

···

合成运算的图示方法

image.png

image.png

合成运算的矩阵法

image.png

限制与像-关系基本运算性质

定义 F 在A上的限制
F ↾A = {<x,y> | xFy ∧ x∈A} A 在F下的像 F[A] = ran(F↾A)
实例 R={<1,2>, <2,3>, <1,4>, <2,2>} R↾{1}={<1,2>,<1,4>} R[{1}]={2,4} R↾Ø=Ø R[{1,2}]={2,3,4} 注意:F↾A⊆F, F[A] ⊆ranF

关系基本运算的性质

定理1 设F是任意的关系, 则

(1) 1/(1/F)=F

(2) dom1/F=ranF, ran1/F=domF

证 (1) 任取<x,y>, 由逆的定义有

<x,y>∈1/(1/F) 等价于 <y,x>∈1/F 等价于 <x,y>∈F

所以有 1/(1/F) =F (2) 任取x,

      x∈dom1/F 等价于 ∃y(<x,y>1/F) 
    y(<y,x>F)  x∈ranF 所以有dom1/F= ranF.  同理可证 ran1/F = domF.

所以有 1/(1/F) =F (2) 任取x,

   x∈dom1/F等价于∃y(<x,y>1/F) 
   等价于∃y(<y,x>F) 等价于 x∈ranF 
   所以有dom1/F= ranF.  同理可证 ran1/F = domF.
   

···

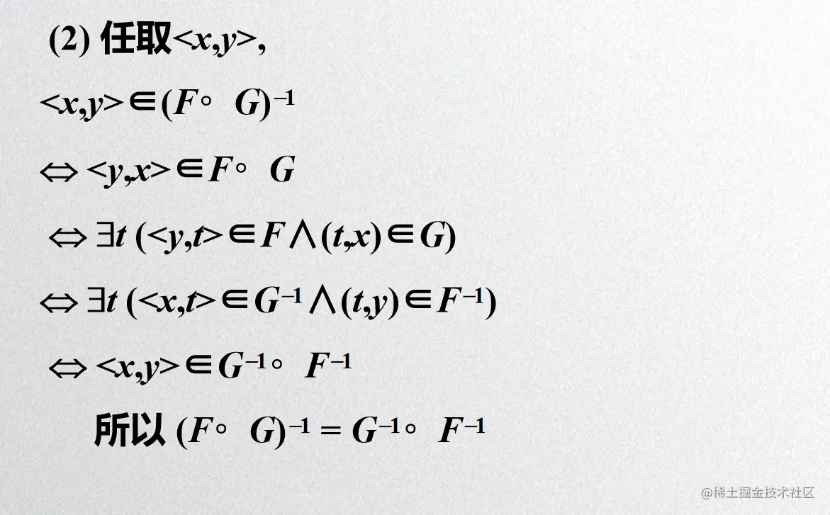
image.png

image.png

A上关系的幂运算

image.png

image.png

image.png

image.png

以上内容就是关系的运算及性质,其中关系的性质在运算中非常重要。