计算机系统漫游

43 阅读1分钟

计算机系统漫游

C语言编译过程

image.png

经历预处理编译汇编链接四个阶段

进程的虚拟空间

image.png

从虚拟内存低地址,从下往上包括程序代码和数据共享库内核虚拟内存

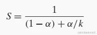
计算性能提升效率

使用Amdahl定律

image.png

Told为旧程序的执行时间,α\alpha 为修改部分的执行时间和整体时间的比例,κ\kappa 为修改部分提升的效率。

所有加速度比 S = Told / Tnew 为 :

image.png