react面试题总结一波,以备不时之需

125 阅读13分钟

React组件的构造函数有什么作用?它是必须的吗?

构造函数主要用于两个目的:

  • 通过将对象分配给this.state来初始化本地状态
  • 将事件处理程序方法绑定到实例上

所以,当在React class中需要设置state的初始值或者绑定事件时,需要加上构造函数,官方Demo:

class LikeButton extends React.Component {
  constructor() {
    super();
    this.state = {
      liked: false
    };
    this.handleClick = this.handleClick.bind(this);
  }
  handleClick() {
    this.setState({liked: !this.state.liked});
  }
  render() {
    const text = this.state.liked ? 'liked' : 'haven\'t liked';
    return (
      <div onClick={this.handleClick}>
        You {text} this. Click to toggle.      </div>
    );
  }
}
ReactDOM.render(
  <LikeButton />,
  document.getElementById('example')
);

构造函数用来新建父类的this对象;子类必须在constructor方法中调用super方法;否则新建实例时会报错;因为子类没有自己的this对象,而是继承父类的this对象,然后对其进行加工。如果不调用super方法;子类就得不到this对象。

注意:

  • constructor () 必须配上 super(), 如果要在constructor 内部使用 this.props 就要 传入props , 否则不用
  • JavaScript中的 bind 每次都会返回一个新的函数, 为了性能等考虑, 尽量在constructor中绑定事件

除了在构造函数中绑定 this,还有其它方式吗

你可以使用属性初始值设定项(property initializers)来正确绑定回调,create-react-app 也是默认支持的。在回调中你可以使用箭头函数,但问题是每次组件渲染时都会创建一个新的回调。

什么原因会促使你脱离 create-react-app 的依赖

当你想去配置 webpack 或 babel presets。

何为 action

Actions 是一个纯 javascript 对象,它们必须有一个 type 属性表明正在执行的 action 的类型。实质上,action 是将数据从应用程序发送到 store 的有效载荷。

diff算法如何比较?

  • 只对同级比较,跨层级的dom不会进行复用
  • 不同类型节点生成的dom树不同,此时会直接销毁老节点及子孙节点,并新建节点
  • 可以通过key来对元素diff的过程提供复用的线索
  • 单节点diff
  • 单点diff有如下几种情况:
  • key和type相同表示可以复用节点
  • key不同直接标记删除节点,然后新建节点
  • key相同type不同,标记删除该节点和兄弟节点,然后新创建节点

组件通信的方式有哪些

  • ⽗组件向⼦组件通讯: ⽗组件可以向⼦组件通过传 props 的⽅式,向⼦组件进⾏通讯
  • ⼦组件向⽗组件通讯: props+回调的⽅式,⽗组件向⼦组件传递props进⾏通讯,此props为作⽤域为⽗组件⾃身的函 数,⼦组件调⽤该函数,将⼦组件想要传递的信息,作为参数,传递到⽗组件的作⽤域中
  • 兄弟组件通信: 找到这两个兄弟节点共同的⽗节点,结合上⾯两种⽅式由⽗节点转发信息进⾏通信
  • 跨层级通信: Context 设计⽬的是为了共享那些对于⼀个组件树⽽⾔是“全局”的数据,例如当前认证的⽤户、主题或⾸选语⾔,对于跨越多层的全局数据通过 Context 通信再适合不过
  • 发布订阅模式: 发布者发布事件,订阅者监听事件并做出反应,我们可以通过引⼊event模块进⾏通信
  • 全局状态管理⼯具: 借助Redux或者Mobx等全局状态管理⼯具进⾏通信,这种⼯具会维护⼀个全局状态中⼼Store,并根据不同的事件产⽣新的状态

参考 前端进阶面试题详细解答

什么是受控组件和非受控组件

  • 受控组件:

    没有维持自己的状态

    数据由付组件控制

    通过props获取当前值,然后通过回调函数通知更改

  • 非受控组件

    保持这个自己的状态

    数据有DOM控制

    refs用于获取其当前值

React的虚拟DOM和Diff算法的内部实现

传统 diff 算法的时间复杂度是 O(n^3),这在前端 render 中是不可接受的。为了降低时间复杂度,react 的 diff 算法做了一些妥协,放弃了最优解,最终将时间复杂度降低到了 O(n)。

那么 react diff 算法做了哪些妥协呢?,参考如下:

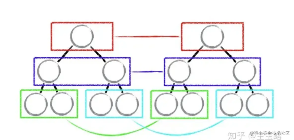
  1. tree diff:只对比同一层的 dom 节点,忽略 dom 节点的跨层级移动

如下图,react 只会对相同颜色方框内的 DOM 节点进行比较,即同一个父节点下的所有子节点。当发现节点不存在时,则该节点及其子节点会被完全删除掉,不会用于进一步的比较。

这样只需要对树进行一次遍历,便能完成整个 DOM 树的比较。

image-20210302195610674

这就意味着,如果 dom 节点发生了跨层级移动,react 会删除旧的节点,生成新的节点,而不会复用。

  1. component diff:如果不是同一类型的组件,会删除旧的组件,创建新的组件

image-20210302195654736

  1. element diff:对于同一层级的一组子节点,需要通过唯一 id 进行来区分
  • 如果没有 id 来进行区分,一旦有插入动作,会导致插入位置之后的列表全部重新渲染
  • 这也是为什么渲染列表时为什么要使用唯一的 key。

React如何获取组件对应的DOM元素?

可以用ref来获取某个子节点的实例,然后通过当前class组件实例的一些特定属性来直接获取子节点实例。ref有三种实现方法:

  • 字符串格式:字符串格式,这是React16版本之前用得最多的,例如:<p ref="info">span</p>

  • 函数格式:ref对应一个方法,该方法有一个参数,也就是对应的节点实例,例如:<p ref={ele => this.info = ele}></p>

  • createRef方法:React 16提供的一个API,使用React.createRef()来实现       

如何配置 React-Router 实现路由切换

(1)使用<Route> 组件

路由匹配是通过比较 <Route> 的 path 属性和当前地址的 pathname 来实现的。当一个 <Route> 匹配成功时,它将渲染其内容,当它不匹配时就会渲染 null。没有路径的 <Route> 将始终被匹配。

// when location = { pathname: '/about' }
<Route path='/about' component={About}/> // renders <About/>
<Route path='/contact' component={Contact}/> // renders null
<Route component={Always}/> // renders <Always/>

(2)结合使用 <Switch> 组件和 <Route> 组件

<Switch> 用于将 <Route> 分组。

<Switch>
    <Route exact path="/" component={Home} />
    <Route path="/about" component={About} />
    <Route path="/contact" component={Contact} />
</Switch>

<Switch> 不是分组 <Route> 所必须的,但他通常很有用。 一个 <Switch> 会遍历其所有的子 <Route>元素,并仅渲染与当前地址匹配的第一个元素。

(3)使用 <Link>、 <NavLink>、<Redirect> 组件

<Link> 组件来在你的应用程序中创建链接。无论你在何处渲染一个<Link> ,都会在应用程序的 HTML 中渲染锚(<a>)。

<Link to="/">Home</Link>   
// <a href='/'>Home</a>

是一种特殊类型的 当它的 to属性与当前地址匹配时,可以将其定义为"活跃的"。

// location = { pathname: '/react' }
<NavLink to="/react" activeClassName="hurray">
    React
</NavLink>
// <a href='/react' className='hurray'>React</a>

当我们想强制导航时,可以渲染一个<Redirect>,当一个<Redirect>渲染时,它将使用它的to属性进行定向。

Redux Thunk 的作用是什么

Redux thunk 是一个允许你编写返回一个函数而不是一个 action 的 actions creators 的中间件。如果满足某个条件,thunk 则可以用来延迟 action 的派发(dispatch),这可以处理异步 action 的派发(dispatch)。

React实现的移动应用中,如果出现卡顿,有哪些可以考虑的优化方案

  • 增加shouldComponentUpdate钩子对新旧props进行比较,如果值相同则阻止更新,避免不必要的渲染,或者使用PureReactComponent替代Component,其内部已经封装了shouldComponentUpdate的浅比较逻辑
  • 对于列表或其他结构相同的节点,为其中的每一项增加唯一key属性,以方便Reactdiff算法中对该节点的复用,减少节点的创建和删除操作
  • render函数中减少类似onClick={() => {doSomething()}}的写法,每次调用render函数时均会创建一个新的函数,即使内容没有发生任何变化,也会导致节点没必要的重渲染,建议将函数保存在组件的成员对象中,这样只会创建一次
  • 组件的props如果需要经过一系列运算后才能拿到最终结果,则可以考虑使用reselect库对结果进行缓存,如果props值未发生变化,则结果直接从缓存中拿,避免高昂的运算代价
  • webpack-bundle-analyzer分析当前页面的依赖包,是否存在不合理性,如果存在,找到优化点并进行优化

Diff 的瓶颈以及 React 的应对

由于 diff 操作本身会带来性能上的损耗,在 React 文档中提到过,即使最先进的算法中,将前后两棵树完全比对的算法复杂度为O(n3),其中 n 为树中元素的数量。

如果 React 使用了该算法,那么仅仅一千个元素的页面所需要执行的计算量就是十亿的量级,这无疑是无法接受的。

为了降低算法的复杂度,React 的 diff 会预设三个限制:

  1. 只对同级元素进行 diff 比对。如果一个元素节点在前后两次更新中跨越了层级,那么 React 不会尝试复用它
  2. 两个不同类型的元素会产生出不同的树。如果元素由 div 变成 p,React 会销毁 div 及其子孙节点,并新建 p 及其子孙节点
  3. 开发者可以通过 key 来暗示哪些子元素在不同的渲染下能保持稳定

fetch封装

npm install whatwg-fetch --save  // 适配其他浏览器
npm install es6-promise

export const handleResponse = (response) => {
  if (response.status === 403 || response.status === 401) {
    const oauthurl = response.headers.get('locationUrl');
    if (!_.isEmpty(oauthUrl)) {
      window.location.href = oauthurl;
      return;
    }
  }
  if (!response.ok) {
    return getErrorMessage(response).then(errorMessage => apiError(response.status, errorMessage));
  }
  if (isJson(response)) {
    return response.json();
  }
  if (isText(response)) {
    return response.text();
  }

  return response.blob();
};

const httpRequest = {
  request: ({
    method, headers, body, path, query,
  }) => {
    const options = {};
    let url = path;
    if (method) {
      options.method = method;
    }
    if (headers) {
      options.headers = {...options.headers,...headers};
    }
    if (body) {
      options.body = body;
    }
    if (query) {
      const params = Object.keys(query)
        .map(k => `${k}=${query[k]}`)
        .join('&');
      url = url.concat(`?${params}`);
    }
    return fetch(url, Object.assign({}, options, { credentials: 'same-origin' })).then(handleResponse);
  },
};

export default httpRequest;

什么是上下文Context

Context 通过组件树提供了一个传递数据的方法,从而避免了在每一个层级手动的传递 props 属性。

  • 用法:在父组件上定义getChildContext方法,返回一个对象,然后它的子组件就可以通过this.context属性来获取
import React,{Component} from 'react';
import ReactDOM from 'react-dom';
import PropTypes from 'prop-types';
class Header extends Component{
    render() {
        return (
            <div>
                <Title/>
            </div>
        )
    }
}
class Title extends Component{
    static contextTypes={
        color:PropTypes.string
    }
    render() {
        return (
            <div style={{color:this.context.color}}>
                Title
            </div>
        )
    }
}
class Main extends Component{
    render() {
        return (
            <div>
                <Content>
                </Content>
            </div>
        )
    }
}
class Content extends Component{
    static contextTypes={
        color: PropTypes.string,
        changeColor:PropTypes.func
    }
    render() {
        return (
            <div style={{color:this.context.color}}>
                Content
                <button onClick={()=>this.context.changeColor('green')}>绿色</button>
                <button onClick={()=>this.context.changeColor('orange')}>橙色</button>
            </div>
        )
    }
}
class Page extends Component{
    constructor() {
        super();
        this.state={color:'red'};
    }
    static childContextTypes={
        color: PropTypes.string,
        changeColor:PropTypes.func
    }
    getChildContext() {
        return {
            color: this.state.color,
            changeColor:(color)=>{
                this.setState({color})
            }
        }
    }
    render() {
        return (
            <div>
                <Header/>
                <Main/>
            </div>
        )
    }
}
ReactDOM.render(<Page/>,document.querySelector('#root'));

何为 Children

在JSX表达式中,一个开始标签(比如<a>)和一个关闭标签(比如</a>)之间的内容会作为一个特殊的属性props.children被自动传递给包含着它的组件。

这个属性有许多可用的方法,包括 React.Children.mapReact.Children.forEachReact.Children.countReact.Children.onlyReact.Children.toArray

componentWillReceiveProps调用时机

  • 已经被废弃掉
  • 当props改变的时候才调用,子组件第二次接收到props的时候

React 性能优化

  • shouldCompoentUpdate
  • pureComponent 自带shouldCompoentUpdate的浅比较优化
  • 结合Immutable.js达到最优

说说你用react有什么坑点?

1. JSX做表达式判断时候,需要强转为boolean类型

如果不使用 !!b 进行强转数据类型,会在页面里面输出 0

render() {
  const b = 0;
  return <div>
    {
      !!b && <div>这是一段文本</div>
    }
  </div>
}

2. 尽量不要在 componentWillReviceProps 里使用 setState,如果一定要使用,那么需要判断结束条件,不然会出现无限重渲染,导致页面崩溃

3. 给组件添加ref时候,尽量不要使用匿名函数,因为当组件更新的时候,匿名函数会被当做新的prop处理,让ref属性接受到新函数的时候,react内部会先清空ref,也就是会以null为回调参数先执行一次ref这个props,然后在以该组件的实例执行一次ref,所以用匿名函数做ref的时候,有的时候去ref赋值后的属性会取到null

4. 遍历子节点的时候,不要用 index 作为组件的 key 进行传入

React Hooks 解决了哪些问题?

React Hooks 主要解决了以下问题:

(1)在组件之间复用状态逻辑很难

React 没有提供将可复用性行为“附加”到组件的途径(例如,把组件连接到 store)解决此类问题可以使用 render props 和 高阶组件。但是这类方案需要重新组织组件结构,这可能会很麻烦,并且会使代码难以理解。由 providers,consumers,高阶组件,render props 等其他抽象层组成的组件会形成“嵌套地狱”。尽管可以在 DevTools 过滤掉它们,但这说明了一个更深层次的问题:React 需要为共享状态逻辑提供更好的原生途径。

可以使用 Hook 从组件中提取状态逻辑,使得这些逻辑可以单独测试并复用。Hook 使我们在无需修改组件结构的情况下复用状态逻辑。 这使得在组件间或社区内共享 Hook 变得更便捷。

(2)复杂组件变得难以理解

在组件中,每个生命周期常常包含一些不相关的逻辑。例如,组件常常在 componentDidMount 和 componentDidUpdate 中获取数据。但是,同一个 componentDidMount 中可能也包含很多其它的逻辑,如设置事件监听,而之后需在 componentWillUnmount 中清除。相互关联且需要对照修改的代码被进行了拆分,而完全不相关的代码却在同一个方法中组合在一起。如此很容易产生 bug,并且导致逻辑不一致。

在多数情况下,不可能将组件拆分为更小的粒度,因为状态逻辑无处不在。这也给测试带来了一定挑战。同时,这也是很多人将 React 与状态管理库结合使用的原因之一。但是,这往往会引入了很多抽象概念,需要你在不同的文件之间来回切换,使得复用变得更加困难。

为了解决这个问题,Hook 将组件中相互关联的部分拆分成更小的函数(比如设置订阅或请求数据),而并非强制按照生命周期划分。你还可以使用 reducer 来管理组件的内部状态,使其更加可预测。

(3)难以理解的 class

除了代码复用和代码管理会遇到困难外,class 是学习 React 的一大屏障。我们必须去理解 JavaScript 中 this 的工作方式,这与其他语言存在巨大差异。还不能忘记绑定事件处理器。没有稳定的语法提案,这些代码非常冗余。大家可以很好地理解 props,state 和自顶向下的数据流,但对 class 却一筹莫展。即便在有经验的 React 开发者之间,对于函数组件与 class 组件的差异也存在分歧,甚至还要区分两种组件的使用场景。

为了解决这些问题,Hook 使你在非 class 的情况下可以使用更多的 React 特性。 从概念上讲,React 组件一直更像是函数。而 Hook 则拥抱了函数,同时也没有牺牲 React 的精神原则。Hook 提供了问题的解决方案,无需学习复杂的函数式或响应式编程技术