NSGA-Ⅱ算法C++实现(测试函数为ZDT1)

388 阅读7分钟

在看C++实现之前,请先看一下NSGA-II算法概述

www.omegaxyz.com/2017/04/14/…

NSGA-Ⅱ就是在第一代非支配排序遗传算法的基础上改进而来,其改进主要是针对如上所述的三个方面: ①提出了快速非支配排序算法,一方面降低了计算的复杂度,另一方面它将父代种群跟子代种群进行合并,使得下一代的种群从双倍的空间中进行选取,从而保留了最为优秀的所有个体; ②引进精英策略,保证某些优良的种群个体在进化过程中不会被丢弃,从而提高了优化结果的精度; ③采用拥挤度和拥挤度比较算子,不但克服了NSGA中需要人为指定共享参数的缺陷,而且将其作为种群中个体间的比较标准,使得准Pareto域中的个体能均匀地扩展到整个Pareto域,保证了种群的多样性。

头文件:

C++

#include<stdio.h>
#include<stdlib.h>
#include<Windows.h>
#include<math.h>
#include<time.h>
#include<iostream>
#define Dimension 2//基因维数,在这里即ZDT1问题xi的i的最大值
#define popsize 100//种群大小
#define generation 500 //繁衍代数
#define URAND (rand()/(RAND_MAX+1.0))//产生随机数
 
int temp1[popsize];//临时数组
int mark[popsize];//标记数组
//以上两个数组用于产生新的子代
using namespace std;

复制

个体的类声明:

C++

class individual
{
public:
    double value[Dimension];//xi的值
    int sp[2*popsize];
    //被支配个体集合SP。该量是可行解空间中所有被个体p支配的个体组成的集合。
    int np;
    //支配个数np。该量是在可行解空间中可以支配个体p的所以个体的数量。
    int is_dominated;//集合sp的个数
    void init();//初始化个体
    int rank;//优先级,Pareto级别为当前最高级
    double crowding_distance;//拥挤距离
    double fvalue[2];//ZDT1问题目标函数的值
    void f_count();//计算fvalue的值
};

复制

群体的类声明:

C++

class population
{
public:
    population();//类初始化
    individual P[popsize];
    individual Q[popsize];
    individual R[2*popsize];
    void set_p_q();
    //随机产生一个初始父代P,在此基础上采用二元锦标赛选择、
    //交叉和变异操作产生子代Q。P和Q群体规模均为popsize
    //将Pt和Qt并入到Rt中(初始时t=0),对Rt进行快速非支配解排序,
    //构造其所有不同等级的非支配解集F1、F2........
    int Rnum;
    int Pnum;
    int Qnum;
    //P,Q,R中元素的个数
    void make_new_pop();//产生新的子代
    void fast_nondominated_sort();//快速非支配排序
    void calu_crowding_distance(int i);//拥挤距离计算
    void f_sort(int i);//对拥挤距离降序排列
    void maincal();//主要操作
    int choice(int a,int b);
    //两个个体属于不同等级的非支配解集,优先考虑等级序号较小的
    //若两个个体属于同一等级的非支配解集,优先考虑拥挤距离较大的
    int len[2*popsize];//各个变异交叉后的群体Fi的长度的集合
    int len_f;//整个群体rank值
};

复制

全局变量及部分函数声明:

C++

individual F[2*popsize][2*popsize];
 
double rand_real(double low,double high)
//产生随机实数
{
    double h;
    h=(high-low)*URAND+low+0.001;
    if(h>=high)
        h=high-0.001;
    return h;
}
 
int rand_int(int low,int high)
//产生随机整数
{
    return int((high-low+1)*URAND)+low;
}

复制

关于排序函数qsort

void qsort( void *base, size_t num, size_t width, int (__cdecl *compare ) 利用qsort对F[i]数组按照cmp3排序

C++

int cmp1(const void *a,const void *b)
//目标函数f1的升序排序
{
    const individual *e=(const individual *)a;
    const individual *f=(const individual *)b;
    if(e->fvalue[0]==f->fvalue[0])
        return 0;
    else if(e->fvalue[0]<f->fvalue[0])
        return -1;
    else return 1;
}
 
int cmp2(const void *a,const void *b)
//目标函数f2的升序排序
{
    const individual *e=(const individual *)a;
    const individual *f=(const individual *)b;
    if(e->fvalue[1]==f->fvalue[1])
        return 0;
    else if(e->fvalue[1]<f->fvalue[1])
        return -1;
    else return 1;
}
int cmp_c_d(const void *a,const void *b)
//对拥挤距离降序排序
{
    const individual *e=(const individual *)a;
    const individual *f=(const individual *)b;
    if(e->crowding_distance==f->crowding_distance)
        return 0;
    else if(e->crowding_distance<f->crowding_distance)
        return 1;
    else
        return -1;
}
 
void population::f_sort(int i)
{
 int n;
 n=len[i];
 qsort(F[i],n,sizeof(individual),cmp_c_d);
}

复制

群的初始化:

C++

population::population()
{
    int i;
    for(i=0;i<popsize;i++)
    {
        P[i].init();
    }
    for(i=0;i<popsize;i++)
    {
        P[i].f_count();
    }
    Pnum=popsize;
    Qnum=0;
    Rnum=0;
}

复制

个体初始化:

C++

void individual::init()
{
    for(int i=0;i<Dimension;i++)
        value[i]=rand_real(0.0,1.0);
}

复制

利用二进制锦标赛产生子代:

1、随机产生一个初始父代Po,在此基础上采用二元锦标赛选择、交叉和变异操作产生子代Qo, Po 和Qo群体规模均为N 2、将Pt和Qt并入到Rt中(初始时t=0),对Rt进行快速非支配解排序,构造其所有不同等级的非支配解集F1、F2…….. 3、按照需要计算Fi中所有个体的拥挤距离,并根据拥挤比较运算符构造Pt+1,直至Pt+1规模为N,图中的Fi为F3

C++

void population::make_new_pop()
{
    int i,j,x,y,t1,t2,t3;
    double s,u,b;
    memset(mark,0,sizeof(mark));
    t3=0;
    while(t3<popsize/2)
    {
        while(t1=t2=rand_int(0,popsize-1),mark[t1]);
        while(t1==t2||mark[t2])
        {
            t2=rand_int(0,popsize-1);
        }
        t1=choice(t1,t2);
        temp1[t3++]=t1;
        mark[t1]=1;
    }
    for(i=0;i<popsize;i++)
    {
        s=rand_real(0.0,1.0);
        if(s<=0.9)
        {
            for(j=0;j<Dimension;j++)
            {
                u=rand_real((0.0+1e-6),(1.0-1e-6));
                if(u<=0.5)
                    b=pow(2*u,1.0/21);
                else
                    b=1.0/pow(2*(1-u),1.0/21);
                x=y=rand_int(0,popsize/2-1);
                while(x==y)
                    y=rand_int(0,popsize/2-1);
                Q[i].value[j]=1.0/2*((1-b)*P[temp1[x]].value[j]+(1+b)*P[temp1[y]].value[j]);
                if(Q[i].value[j]<0)
                    Q[i].value[j]=1e-6;
                else if(Q[i].value[j]>1)
                    Q[i].value[j]=1.0-(1e-6);
                if(i+1<popsize)
                {
                    Q[i+1].value[j]=1.0/2*((1+b)*P[temp1[x]].value[j]+(1-b)*P[temp1[y]].value[j]);
                    if(Q[i+1].value[j]<=0)
                        Q[i+1].value[j]=1e-6;
                    else if(Q[i+1].value[j]>1)
                        Q[i+1].value[j]=(1-1e-6);
                }
            }
            i++;
        }
        else
        {
            for(j=0;j<Dimension;j++)
            {
                x=rand_int(0,popsize/2-1);
                u=rand_real(0.0+(1e-6),1.0-(1e-6));
                if(u<0.5)
                    u=pow(2*u,1.0/21)-1;
                else
                    u=1-pow(2*(1-u),1.0/21);
                Q[i].value[j]=P[temp1[x]].value[j]+(1.0-0.0)*u;
                if(Q[i].value[j]<0)
                    Q[i].value[j]=1e-6;
                else if(Q[i].value[j]>1)
                    Q[i].value[j]=1-(1e-6);
            }
        }
    }
    Qnum=popsize;
    for(i=0;i<popsize;i++)
        Q[i].f_count();
}

复制

C++

void population::set_p_q()
{
    Rnum=0;
    Qnum=popsize;
    int i;
    for(i=0;i<Pnum;i++)
        R[Rnum++]=P[i];
    for(i=0;i<Qnum;i++)
        R[Rnum++]=Q[i];
    for(i=0;i<2*popsize;i++)
        R[i].f_count();
}

复制

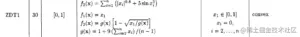
ZDT1问题函数值的计算:

C++

void individual::f_count()
{
    fvalue[0]=value[0];
    int i;
    double g=1,sum=0;
    for(i=1;i<Dimension;i++)
    {
        sum+=value[i];
    }
    sum+=9*(sum/(Dimension-1));
    g+=sum;
    fvalue[1]=g*(1-sqrt(value[0]/g));
}

复制

判断目标函数值是否被支配:

C++

bool e_is_dominated(const individual &a,const individual &b)
{
    if((a.fvalue[0]<=b.fvalue[0])&&(a.fvalue[1]<=b.fvalue[1]))
    {
        if((a.fvalue[0]==b.fvalue[0])&&a.fvalue[1]==b.fvalue[1])
            return false;
        else
            return true;
    }
    else
        return false;
}

复制

快速非支配排序法:重点!!!

C++

void population::fast_nondominated_sort()
{  
    int i,j,k;
    individual H[2*popsize];
    int h_len=0;
    for(i=0;i<2*popsize;i++)
    {
        R[i].np=0;
        R[i].is_dominated=0;
        len[i]=0;
    }
    for(i=0;i<2*popsize;i++)
    {
        for(j=0;j<2*popsize;j++)
        {
            if(i!=j)
            {
                if(e_is_dominated(R[i],R[j]))
                    R[i].sp[R[i].is_dominated++]=j;
                else if(e_is_dominated(R[j],R[i]))
                    R[i].np+=1;
            }
        }
        if(R[i].np==0)
        {
            len_f=1;
            F[0][len[0]++]=R[i];
        }
 
    }
    i=0;
    while(len[i]!=0)
    {
        h_len=0;
        for(j=0;j<len[i];j++)
        {
            for(k=0;k<F[i][j].is_dominated;k++)
            {
                R[F[i][j].sp[k]].np--;
                if(R[F[i][j].sp[k]].np==0)
                {
                    H[h_len++]=R[F[i][j].sp[k]];
                    R[F[i][j].sp[k]].rank=i+2;
                }
            }
        }
        i++;
        len[i]=h_len;
        if(h_len!=0)
        {
            len_f++;
            for(j=0;j<len[i];j++)
                F[i][j]=H[j];
        }
    }
}

复制

计算拥挤距离:重点!!!具体解释见其他文章!!!

C++

void population::calu_crowding_distance(int i)
{
    int n=len[i];
    double m_max,m_min;
    int j;
    for(j=0;j<n;j++)
        F[i][j].crowding_distance=0;
    F[i][0].crowding_distance=F[i][n-1].crowding_distance=0xffffff;
    qsort(F[i],n,sizeof(individual),cmp1);
    m_max=-0xfffff;
    m_min=0xfffff;
    for(j=0;j<n;j++)
    {
        if(m_max<F[i][j].fvalue[0])
            m_max=F[i][j].fvalue[0];
        if(m_min>F[i][j].fvalue[0])
            m_min=F[i][j].fvalue[0];
    }
    for(j=1;j<n-1;j++)
        F[i][j].crowding_distance+=(F[i][j+1].fvalue[0]-F[i][j-1].fvalue[0])/(m_max-m_min);
    F[i][0].crowding_distance=F[i][n-1].crowding_distance=0xffffff;
    qsort(F[i],n,sizeof(individual),cmp2);
    m_max=-0xfffff;
    m_min=0xfffff;
    for(j=0;j<n;j++)
    {
        if(m_max<F[i][j].fvalue[1])
            m_max=F[i][j].fvalue[1];
        if(m_min>F[i][j].fvalue[1])
            m_min=F[i][j].fvalue[1];
    }
    for(j=1;j<n-1;j++)
        F[i][j].crowding_distance+=(F[i][j+1].fvalue[1]-F[i][j-1].fvalue[1])/(m_max-m_min);
}

复制

采集多样性的选择:

C++

int population::choice(int a,int b)
{
    if(P[a].rank<P[b].rank)
        return a;
    else if(P[a].rank==P[b].rank)
    {
        if(P[a].crowding_distance>P[b].crowding_distance)
            return a;
        else
            return b;
    }
    else
        return b;
}

复制

主要操作函数:

C++

void population::maincal()
{
    int s,i,j;
    s=generation;
    make_new_pop();
    while(s--)
    {
        printf("The %d generation\n",s);
        set_p_q();
        fast_nondominated_sort();
        Pnum=0;
        i=0;
        while(Pnum+len[i]<=popsize)
        {
            calu_crowding_distance(i);
            for(j=0;j<len[i];j++)
                P[Pnum++]=F[i][j];
            i++;
            if(i>=len_f)break;
        }
        if(i<len_f)
        {
            calu_crowding_distance(i);
            f_sort(i);
        }
        for(j=0;j<popsize-Pnum;j++)
            P[Pnum++]=F[i][j];
        make_new_pop();
    }
}

复制

主函数:

C++

int main()
{
    FILE *p;
    p=fopen("d:\My_NSGA2.txt","w+");
    srand((unsigned int)(time(0)));
    population pop;
    pop.maincal();
    int i,j;
    fprintf(p,"XuYi All Rights Reserved.\nWelcome to OmegaXYZ: www.omegaxyz.com\n");
    fprintf(p,"Problem ZDT1\n");
    fprintf(p,"\n");
    for(i=0;i<popsize;i++)
    {
        fprintf(p,"The %d generation situation:\n",i);
        for(j=1;j<=Dimension;j++)
        {
            fprintf(p,"x%d=%e  ",j,pop.P[i].value[j]);
        }
        fprintf(p,"\n");
        fprintf(p,"f1(x)=%f   f2(x)=%f\n",pop.P[i].fvalue[0],pop.P[i].fvalue[1]);
    }
    fclose(p);
    return 1;
}

复制

ZDT1问题图像及前沿面。

测试结果:

快速支配排序具体解释见多目标算法NSGA-II:www.omegaxyz.com/2017/04/19/…

多目标问题解释:www.omegaxyz.com/2017/04/16/…

完整代码

#include<stdio.h>
#include<stdlib.h>
#include<math.h>
#include<time.h>
#include<iostream>
#define Dimension 2//基因维数,在这里即ZDT1问题xi的i的最大值
#define popsize 200//种群大小
#define generation 500 //繁衍代数
#define URAND (rand()/(RAND_MAX+1.0))//产生随机数

int temp1[popsize];//临时数组
int mark[popsize];//标记数组
//以上两个数组用于产生新的子代
using namespace std;


//个体的类声明
class individual
{
public:
    double value[Dimension];//xi的值
    int sp[2*popsize];
    //被支配个体集合SP。该量是可行解空间中所有被个体p支配的个体组成的集合。
    int np;
    //支配个数np。该量是在可行解空间中可以支配个体p的所以个体的数量。
    int is_dominated;//集合sp的个数
    void init();//初始化个体
    int rank;//优先级,Pareto级别为当前最高级
    double crowding_distance;//拥挤距离
    double fvalue[2];//ZDT1问题目标函数的值
    void f_count();//计算fvalue的值
};

//群体的类声明
class population
{
public:
    population();//类初始化
    individual P[popsize];
    individual Q[popsize];
    individual R[2*popsize];
    void set_p_q();
    //随机产生一个初始父代P,在此基础上采用二元锦标赛选择、
    //交叉和变异操作产生子代Q。P和Q群体规模均为popsize
    //将Pt和Qt并入到Rt中(初始时t=0),对Rt进行快速非支配解排序,
    //构造其所有不同等级的非支配解集F1、F2........
    int Rnum;
    int Pnum;
    int Qnum;
    //P,Q,R中元素的个数
    void make_new_pop();//产生新的子代
    void fast_nondominated_sort();//快速非支配排序
    void calu_crowding_distance(int i);//拥挤距离计算
    void f_sort(int i);//对拥挤距离降序排列
    void maincal();//主要操作
    int choice(int a,int b);
    //两个个体属于不同等级的非支配解集,优先考虑等级序号较小的
    //若两个个体属于同一等级的非支配解集,优先考虑拥挤距离较大的
    int len[2*popsize];//各个变异交叉后的群体Fi的长度的集合
    int len_f;//整个群体rank值
};

//全局变量及部分函数声明
individual F[2*popsize][2*popsize];

double rand_real(double low,double high)
//产生随机实数
{
    double h;
    h=(high-low)*URAND+low+0.001;
    if(h>=high)
        h=high-0.001;
    return h;
}

int rand_int(int low,int high)
//产生随机整数
{
    return int((high-low+1)*URAND)+low;
}

//排序函数
int cmp1(const void *a,const void *b)
//目标函数f1的升序排序
{
    const individual *e=(const individual *)a;
    const individual *f=(const individual *)b;
    if(e->fvalue[0]==f->fvalue[0])
        return 0;
    else if(e->fvalue[0]<f->fvalue[0])
        return -1;
    else return 1;
}

int cmp2(const void *a,const void *b)
//目标函数f2的升序排序
{
    const individual *e=(const individual *)a;
    const individual *f=(const individual *)b;
    if(e->fvalue[1]==f->fvalue[1])
        return 0;
    else if(e->fvalue[1]<f->fvalue[1])
        return -1;
    else return 1;
}
int cmp_c_d(const void *a,const void *b)
//对拥挤距离降序排序
{
    const individual *e=(const individual *)a;
    const individual *f=(const individual *)b;
    if(e->crowding_distance==f->crowding_distance)
        return 0;
    else if(e->crowding_distance<f->crowding_distance)
        return 1;
    else
        return -1;
}

void population::f_sort(int i)
{
    int n;
    n=len[i];
    qsort(F[i],n,sizeof(individual),cmp_c_d);
}

//群的初始化
population::population()
{
    int i;
    for(i=0;i<popsize;i++)
    {
        P[i].init();
    }
    for(i=0;i<popsize;i++)
    {
        P[i].f_count();
    }
    Pnum=popsize;
    Qnum=0;
    Rnum=0;
}


//个体初始化
void individual::init()
{
    for(int i=0;i<Dimension;i++)
        value[i]=rand_real(0.0,1.0);
}


//利用二进制锦标赛产生子代
void population::make_new_pop()
{
    int i,j,x,y,t1,t2,t3;
    double s,u,b;
    memset(mark,0,sizeof(mark));
    t3=0;
    while(t3<popsize/2)
    {
        while(t1=t2=rand_int(0,popsize-1),mark[t1]);
        while(t1==t2||mark[t2])
        {
            t2=rand_int(0,popsize-1);
        }
        t1=choice(t1,t2);
        temp1[t3++]=t1;
        mark[t1]=1;
    }
    for(i=0;i<popsize;i++)
    {
        s=rand_real(0.0,1.0);
        if(s<=0.9)
        {
            for(j=0;j<Dimension;j++)
            {
                u=rand_real((0.0+1e-6),(1.0-1e-6));
                if(u<=0.5)
                    b=pow(2*u,1.0/21);
                else
                    b=1.0/pow(2*(1-u),1.0/21);
                x=y=rand_int(0,popsize/2-1);
                while(x==y)
                    y=rand_int(0,popsize/2-1);
                Q[i].value[j]=1.0/2*((1-b)*P[temp1[x]].value[j]+(1+b)*P[temp1[y]].value[j]);
                if(Q[i].value[j]<0)
                    Q[i].value[j]=1e-6;
                else if(Q[i].value[j]>1)
                    Q[i].value[j]=1.0-(1e-6);
                if(i+1<popsize)
                {
                    Q[i+1].value[j]=1.0/2*((1+b)*P[temp1[x]].value[j]+(1-b)*P[temp1[y]].value[j]);
                    if(Q[i+1].value[j]<=0)
                        Q[i+1].value[j]=1e-6;
                    else if(Q[i+1].value[j]>1)
                        Q[i+1].value[j]=(1-1e-6);
                }
            }
            i++;
        }
        else
        {
            for(j=0;j<Dimension;j++)
            {
                x=rand_int(0,popsize/2-1);
                u=rand_real(0.0+(1e-6),1.0-(1e-6));
                if(u<0.5)
                    u=pow(2*u,1.0/21)-1;
                else
                    u=1-pow(2*(1-u),1.0/21);
                Q[i].value[j]=P[temp1[x]].value[j]+(1.0-0.0)*u;
                if(Q[i].value[j]<0)
                    Q[i].value[j]=1e-6;
                else if(Q[i].value[j]>1)
                    Q[i].value[j]=1-(1e-6);
            }
        }
    }
    Qnum=popsize;
    for(i=0;i<popsize;i++)
        Q[i].f_count();
}

void population::set_p_q()
{
    Rnum=0;
    Qnum=popsize;
    int i;
    for(i=0;i<Pnum;i++)
        R[Rnum++]=P[i];
    for(i=0;i<Qnum;i++)
        R[Rnum++]=Q[i];
    for(i=0;i<2*popsize;i++)
        R[i].f_count();
}

void individual::f_count()
{
    fvalue[0]=value[0];
    int i;
    double g=1,sum=0;
    for(i=1;i<Dimension;i++)
    {
        sum+=value[i];
    }
    sum+=9*(sum/(Dimension-1));
    g+=sum;
    fvalue[1]=g*(1-sqrt(value[0]/g));
}

//判断目标函数值是否被支配
bool e_is_dominated(const individual &a,const individual &b)
{
    if((a.fvalue[0]<=b.fvalue[0])&&(a.fvalue[1]<=b.fvalue[1]))
    {
        if((a.fvalue[0]==b.fvalue[0])&&a.fvalue[1]==b.fvalue[1])
            return false;
        else
            return true;
    }
    else
        return false;
}

//快速非支配排序法:重点!!!
void population::fast_nondominated_sort()
{
    int i,j,k;
    individual H[2*popsize];
    int h_len=0;
    for(i=0;i<2*popsize;i++)
    {
        R[i].np=0;
        R[i].is_dominated=0;
        len[i]=0;
    }
    for(i=0;i<2*popsize;i++)
    {
        for(j=0;j<2*popsize;j++)
        {
            if(i!=j)
            {
                if(e_is_dominated(R[i],R[j]))
                    R[i].sp[R[i].is_dominated++]=j;
                else if(e_is_dominated(R[j],R[i]))
                    R[i].np+=1;
            }
        }
        if(R[i].np==0)
        {
            len_f=1;
            F[0][len[0]++]=R[i];
        }

    }
    i=0;
    while(len[i]!=0)
    {
        h_len=0;
        for(j=0;j<len[i];j++)
        {
            for(k=0;k<F[i][j].is_dominated;k++)
            {
                R[F[i][j].sp[k]].np--;
                if(R[F[i][j].sp[k]].np==0)
                {
                    H[h_len++]=R[F[i][j].sp[k]];
                    R[F[i][j].sp[k]].rank=i+2;
                }
            }
        }
        i++;
        len[i]=h_len;
        if(h_len!=0)
        {
            len_f++;
            for(j=0;j<len[i];j++)
                F[i][j]=H[j];
        }
    }
}

//计算拥挤距离:重点!!!具体解释见其他文章!!!
void population::calu_crowding_distance(int i)
{
    int n=len[i];
    double m_max,m_min;
    int j;
    for(j=0;j<n;j++)
        F[i][j].crowding_distance=0;
    F[i][0].crowding_distance=F[i][n-1].crowding_distance=0xffffff;
    qsort(F[i],n,sizeof(individual),cmp1);
    m_max=-0xfffff;
    m_min=0xfffff;
    for(j=0;j<n;j++)
    {
        if(m_max<F[i][j].fvalue[0])
            m_max=F[i][j].fvalue[0];
        if(m_min>F[i][j].fvalue[0])
            m_min=F[i][j].fvalue[0];
    }
    for(j=1;j<n-1;j++)
        F[i][j].crowding_distance+=(F[i][j+1].fvalue[0]-F[i][j-1].fvalue[0])/(m_max-m_min);
    F[i][0].crowding_distance=F[i][n-1].crowding_distance=0xffffff;
    qsort(F[i],n,sizeof(individual),cmp2);
    m_max=-0xfffff;
    m_min=0xfffff;
    for(j=0;j<n;j++)
    {
        if(m_max<F[i][j].fvalue[1])
            m_max=F[i][j].fvalue[1];
        if(m_min>F[i][j].fvalue[1])
            m_min=F[i][j].fvalue[1];
    }
    for(j=1;j<n-1;j++)
        F[i][j].crowding_distance+=(F[i][j+1].fvalue[1]-F[i][j-1].fvalue[1])/(m_max-m_min);
}

//采集多样性的选择:
int population::choice(int a,int b)
{
    if(P[a].rank<P[b].rank)
        return a;
    else if(P[a].rank==P[b].rank)
    {
        if(P[a].crowding_distance>P[b].crowding_distance)
            return a;
        else
            return b;
    }
    else
        return b;
}

//主要操作函数
void population::maincal()
{
    int s,i,j;
    s=generation;
    make_new_pop();
    while(s--)
    {
        printf("The %d generation\n",s);
        set_p_q();
        fast_nondominated_sort();
        Pnum=0;
        i=0;
        while(Pnum+len[i]<=popsize)
        {
            calu_crowding_distance(i);
            for(j=0;j<len[i];j++)
                P[Pnum++]=F[i][j];
            i++;
            if(i>=len_f)break;
        }
        if(i<len_f)
        {
            calu_crowding_distance(i);
            f_sort(i);
        }
        for(j=0;j<popsize-Pnum;j++)
            P[Pnum++]=F[i][j];
        make_new_pop();
    }
}


int main()
{
    FILE *p;
    p=fopen("./NSGAII.txt","w+");
    srand((unsigned int)(time(0)));
    population pop;
    pop.maincal();
    int i,j;
    fprintf(p,"XuYi All Rights Reserved.\nWelcome to OmegaXYZ: www.omegaxyz.com\n");
    fprintf(p,"Problem ZDT1\n");
    fprintf(p,"\n");
    for(i=0;i<popsize;i++)
    {
        fprintf(p,"The %d generation situation:\n",i);
        for(j=1;j<=Dimension;j++)
        {
            fprintf(p,"x%d=%e  ",j,pop.P[i].value[j]);
        }
        fprintf(p,"\n");
        fprintf(p,"f1(x)=%f   f2(x)=%f\n",pop.P[i].fvalue[0],pop.P[i].fvalue[1]);
    }
    fclose(p);
    return 1;
}