LeetCode 105. Construct Binary Tree from Preorder and Inorder Traversal

205 阅读1分钟

开启掘金成长之旅!这是我参与「掘金日新计划 · 12 月更文挑战」的第21天,点击查看活动详情

LeetCode 105. Construct Binary Tree from Preorder and Inorder Traversal

给定两个整数数组 preorder 和 inorder ,其中 preorder 是二叉树的先序遍历, inorder 是同一棵树的中序遍历,请构造二叉树并返回其根节点。

 

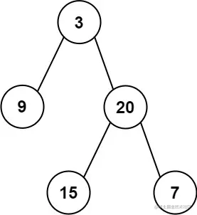
示例 1:

输入 : preorder = [3,9,20,15,7], inorder = [9,3,15,20,7]
输出: [3,9,20,null,null,15,7]

示例 2:

输入: preorder = [-1], inorder = [-1]
输出: [-1]

 

提示:

  • 1 <= preorder.length <= 3000
  • inorder.length == preorder.length
  • -3000 <= preorder[i], inorder[i] <= 3000
  • preorder 和 inorder 均 无重复 元素
  • inorder 均出现在 preorder
  • preorder 保证 为二叉树的前序遍历序列
  • inorder 保证 为二叉树的中序遍历序列

算法

(递归) O(n) 递归建立整棵二叉树:先递归创建左右子树,然后创建根节点,并让指针指向两棵子树。

具体步骤如下:

先利用前序遍历找根节点:前序遍历的第一个数,就是根节点的值; 在中序遍历中找到根节点的位置 k,则 k 左边是左子树的中序遍历,右边是右子树的中序遍历; 假设左子树的中序遍历的长度是 l,则在前序遍历中,根节点后面的 l 个数,是左子树的前序遍历,剩下的数是右子树的前序遍历; 有了左右子树的前序遍历和中序遍历,我们可以先递归创建出左右子树,然后再创建根节点; 时间复杂度分析:我们在初始化时,用哈希表(unordered_map<int,int>)记录每个值在中序遍历中的位置,这样我们在递归到每个节点时,在中序遍历中查找根节点位置的操作,只需要 O(1) 的时间。此时,创建每个节点需要的时间是 O(1),所以总时间复杂度是 O(n)。

ac 代码

/**
 * Definition for a binary tree node.
 * struct TreeNode {
 *     int val;
 *     TreeNode *left;
 *     TreeNode *right;
 *     TreeNode(int x) : val(x), left(NULL), right(NULL) {}
 * };
 */
class Solution {
public:

    unordered_map<int,int> pos;

    TreeNode* buildTree(vector<int>& preorder, vector<int>& inorder) {
        int n = preorder.size();
        for (int i = 0; i < n; i ++ )
            pos[inorder[i]] = i;
        return dfs(preorder, inorder, 0, n - 1, 0, n - 1);
    }

    TreeNode* dfs(vector<int>&pre, vector<int>&in, int pl, int pr, int il, int ir)
    {
        if (pl > pr) return NULL;
        int k = pos[pre[pl]] - il;
        TreeNode* root = new TreeNode(pre[pl]);
        root->left = dfs(pre, in, pl + 1, pl + k, il, il + k - 1);
        root->right = dfs(pre, in, pl + k + 1, pr, il + k + 1, ir);
        return root;
    }
};