日新计划141. 环形链表

64 阅读1分钟

开启掘金成长之旅!这是我参与「掘金日新计划 · 12 月更文挑战」的第6天,点击查看活动详情

一、题目描述:

141. 环形链表 - 力扣(LeetCode) (leetcode-cn.com)

给你一个链表的头节点 head ,判断链表中是否有环。

如果链表中有某个节点,可以通过连续跟踪 next 指针再次到达,则链表中存在环。 为了表示给定链表中的环,评测系统内部使用整数 pos 来表示链表尾连接到链表中的位置(索引从 0 开始)。注意pos 不作为参数进行传递 。仅仅是为了标识链表的实际情况。

如果链表中存在环 ,则返回 true 。 否则,返回 false

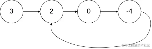
示例 1:

image.png

输入:head = [3,2,0,-4], pos = 1
输出:true
解释:链表中有一个环,其尾部连接到第二个节点。

示例 2:

image.png

输入:head = [1,2], pos = 0
输出:true
解释:链表中有一个环,其尾部连接到第一个节点。

示例 3:

image.png

输入:head = [1], pos = -1
输出:false
解释:链表中没有环。

  提示:

链表中节点的数目范围是 [0, 104] -105 <= Node.val <= 105 pos 为 -1 或者链表中的一个 有效索引 。  

进阶:你能用 O(1)(即,常量)内存解决此问题吗?

二、思路分析:

利用快慢指针,快指针每次移动两个节点,慢指针每次移动一个节点。若链表中存在环,则快指针一定先于慢指针进入环内,在循环一定次数之后两个节点指向的节点相同时,则说明两个指针在环内相遇,退出循环,并且返回true。

三、AC 代码:

/**
 * Definition for singly-linked list.
 * struct ListNode {
 *     int val;
 *     ListNode *next;
 *     ListNode(int x) : val(x), next(NULL) {}
 * };
 */
class Solution {
public:
    bool hasCycle(ListNode *head) {
        if(head==NULL || head->next==NULL)
            return false;
        ListNode* fast=head->next;
        ListNode* slow=head;
        while(fast!=slow)
        {
            if(fast==NULL || fast->next==NULL)
                return false;
            fast=fast->next->next;
            slow=slow->next;
        }
        return true;
    }
};

四、总结:

简单点的话还有哈希的解法,但是这题快慢指针肯定是更好的。

范文参考

这是一个有趣的视频题解:快慢指针 - 环形链表 - 力扣(LeetCode) (leetcode-cn.com)