撰文 | 郑建华
更新|赵露阳、王迎港
深度学习框架一般通过自动微分(autograd)机制计算梯度并反向传播。本文尝试通过一个简单的例子,粗浅地观察一下OneFlow的autograd的实现机制。
1
自动微分基础
自动微分相关的资料比较多,个人感觉自动微分的原理介绍(mp.weixin.qq.com/s/BwQxmNoSB… )这个系列及其引用的资料对相关背景知识的介绍比较完整清晰。
下面分几种情况对梯度传播的原理做一些直观解释。
1.1 stack网络的梯度传播
以x -> f -> g -> z这个stack网络为例,根据链式法则:
∂z/∂x = ∂z/∂g * ∂g/∂f * ∂f/∂x
实际运行时,在梯度反向传播过程中:
- z将∂z/∂g传给g。
- 如果节点g有权重w需要计算梯度,就计算∂z/∂w = ∂z/∂g * ∂g/∂w。
- g需要计算∂g/∂f,再乘以z传过来的梯度,将结果传给f。g只需要给f传递链式乘积的结果,不需要传递各项明细。
- 在训练阶段的前向计算时,g需要保存∂g/∂f计算依赖的中间结果、以供反向计算时使用。
- 其它节点的传播情况依次类推。
1.2 简单graph的梯度传播
以下面这个简单的graph拓扑为例。
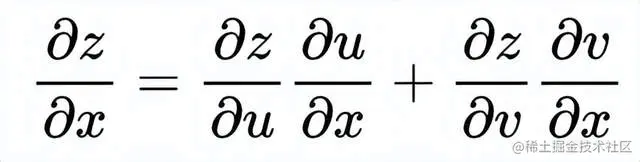
在继续之前,需要了解一下多元复合函数微分的基本公式。
下图中,u和v都是关于x和y的函数,z是关于u和v的函数。
根据这个公式可以知道,z对x的梯度分别沿两条链路传播,z -> u -> x和z -> v -> x,节点x将两个梯度之和作为z对x的梯度。
1.3 复杂graph的梯度传播
再看一个拓扑稍微复杂点的例子:
上图可以视为x -> U -> L,其中U是e -> ... -> h的子图。f -> g的子图可以视为V。
对于节点h来说,它需要把梯度传给g和k。对节点e来说,它需要对f和k传来的梯度求和,才是∂L/∂e。这样,L对x的梯度,仍可以按链路拆解,一条链路前后节点间的梯度是乘积关系,传入的多条链路梯度是加和关系。
这篇博客(blog.paperspace.com/pytorch-101… )中有一个几乎一样的拓扑图,给出了部分权重参数的梯度公式。
2
autograd中tensor相关的一些基本概念
2.1 叶子节点
OneFlow的autograd文档(docs.oneflow.org/en/master/b… )中介绍了leaf node和root node的概念。只有输出、没有输入的是leaf node,只有输入、没有输出的是root node。
个人理解,如果把weight、bias、data视为计算图的一部分,这些节点就是叶子节点(op不是叶子节点)。尤其是从反向计算图的视角(discuss.pytorch.org/t/what-is-t… )看,这些节点的grad_fn是空,反向传播到这些节点就会停止。
is_leaf和requires_grad有比较密切的关系,但二者又是独立的。PyTorch是这样解释的:(pytorch.org/docs/stable…)
- requires_grad=false的节点都是叶子节点。比如data。
- requires_grad=true的节点如果是用户创建的,也是叶子节点。比如weight和bias。
- 在梯度的反向计算过程中,只有叶子节点的梯度才会被填充。对于非叶子节点,如果要填充梯度信息,需要显式设置retain_grad=true。
- requires_grad=true才会计算、填充梯度。比如y = relu(x),y是op创建的、不是叶子节点。但如果x需要计算梯度,则y.requires_grad==true。但不需要为y填充梯度。
关于叶子节点这个概念,目前找到的主要是直观描述,还没看到严格、清晰的定义。也可能是因为用户一般不会直接使用is_leaf(discuss.pytorch.org/t/what-is-t… ),这个概念只是在阅读代码的时候才会涉及到。
下面的资料可以供进一步参考:
- What is the purpose of
is_leaf? (discuss.pytorch.org/t/what-is-t…) - 叶子节点和tensor的requires_grad参数(zhuanlan.zhihu.com/p/85506092 )
2.2 tensor detach
Tensor的detach方法(github.com/Oneflow-Inc… )会创建一个新的tensor,新tensor的属性中
-
requires_grad = false
-
is_leaf = true
detach的意思是从grad的反向计算图中把tensor分离出来。新的tensor与原来的对象共享存储,但不参与反向图的拓扑构造。原有对象的requires_grad属性不变。
比如下面的代码,修改一个对象的数据,另一个对象的数据也会改变。
import oneflow as flow
y = flow.Tensor([1, 2, 3])
x = y.detach()
x[0] = 4
assert(y[0] == 4)
3
示例代码
本文通过如下代码来观察OneFlow的autograd机制。
import oneflow as flow
# y is scalar
x = flow.tensor([-1.0, 2.0], requires_grad=True)
y = flow.relu(x).sum()
y.backward()
print(x.grad)
# y is not scalar
x = flow.tensor([-1.0, 2.0], requires_grad=True)
y = flow.relu(x)
y.backward(flow.Tensor([1, 1]))
print(x.grad)
y.backward方法有两种接口:
- 如果y是一个标量(比如loss),不需要传递任何参数。
- 如果y是一个向量,需要传入一个与y的shape一致的向量作为参数。
为什么会有这种区别呢?下面几篇参考资料中对这个问题做了比较详细的解释。简单的说:
- 如果函数的输出是向量,在反向传播的过程中会造成梯度tensor shape的维度膨胀,实现复杂、性能差。
- 如果函数的输出是标量,反向传播梯度tensor的shape与参数变量的shape一致,不会出现维度膨胀,更容易实现。
- 对于向量版本的backward,可以假想存在某个loss函数,backward的参数是loss传播到y这里的梯度。因为前后节点间的梯度是乘积关系,所以用ones替代这个假想的梯度,这样计算结果x.grad就是y对x的梯度。
后续将以y.backward(flow.Tensor([1, 1]))为例观察一下autograd的机制。其反向图只有x <- y这一步。
参考资料
- 自动求梯度 (tangshusen.me/Dive-into-D… )
- PyTorch 的 backward 为什么有一个 grad_variables 参数?(zhuanlan.zhihu.com/p/29923090 )
3.1 梯度结果的存储
Tensor的grad属性(github.com/Oneflow-Inc… ),在读取值时调用的是acc_grad()方法(acc应该是accumulate的缩写)。这样就知道梯度实际存储在哪里,读代码时可以重点关注相关部分。
调用流程如下:
注:图片中的MirroredTensor在最新源码中,已经更名为LocalTensor,其实是一样的。
4
autograd相关的类图关系
下图展示了autograd相关类的关系
在看autograd代码之前,可以参照这个类图,了解其中的结构和关系,有助于理解代码中各个部分的作用。
在eager模式下,用户通过op的组合逐步构建出前向计算图。在执行前向计算的过程中,引擎会为autograd需要的反向计算图记录必要的信息,在调用backward方法时执行这个反向计算图。
对照上面的类图
站在tensor的视角
- 前向op输出一个tensor y,即TensorIf <- ReluFunctor这部分。
- 从y可以找到反向计算图实际执行梯度计算的类,即TensorIf -> FunctionNode ReLU这个链路。
- FunctionNode的backward_fn_包含了OpExprGradClosure。它只负责计算当前节点的梯度。
- ReLU是执行梯度计算的类,它会调用ReluGradFunctor这个op来执行梯度计算。
站在反向图存储的视角
- 反向图相关的信息在FunctionNode中保存。
- 反向计算图的root是tensor(比如y或loss)的grad_fn_node_变量。
- FunctionNode的next_functions_表示反向图的下游节点,当前节点把梯度结果传给这些下游节点。这些FunctionNode的连接就构成了反向图的拓扑结构。
- tensor的梯度存储路径是TensorImpl.AutogradMeta.acc_grad_
- AutogradMeta.current_grad_是反向图上游传递到当前节点的梯度合计。如果tensor t输入给op u和v,那么u和v反传的梯度会累加到current_grad_。current应该表示截至当前正在计算时的累加和。
- FunctionNode虽然并不持有tensor实例,但它持有tensor的AutogradMeta成员变量指针。
基于上述relu的例子中的节点y
- output_meta_data_即y.autograd_meta_
- input_meta_data_即x.autograd_meta_
- 所以FunctionNode能获取到上下游的梯度数据并进行读写
- AutoGradCaptureState可以存储一些梯度计算需要的状态信息,比如计算relu的梯度时需要用到它的前向输出结果y。
站在反向图执行的视角
- GraphTask负责反向图的执行。
- FunctionNode只保存必要的数据。
- GraphTask基于这些数据,自己构造遍历需要的数据结构,遍历所有节点、执行梯度计算。
5
前向计算过程中为autograd所做的准备
反向图的执行过程是数据驱动的,数据的存储结构和内容决定了执行的具体动作。
以下讨论只针对eager模式。lazy模式下,反向图的构建是多轮优化passes的一部分(github.com/Oneflow-Inc… )。
之前在讨论Op、Kernel与解释器(mp.weixin.qq.com/s/gXH7HZ9cF…) 时已经了解Interpreter的作用。只是当时重点关注op的执行,忽略了grad相关的内容。
GetInterpreter(github.com/Oneflow-Inc… )返回的其实是一个AutogradInterpreter对象(github.com/Oneflow-Inc… ),在它的Apply方法中(github.com/Oneflow-Inc… ),调用内嵌Interpreter的同时,也会记录grad计算需要的信息。
AutogradInterpreter::Apply的主要流程如下:
Apply的第一步会先计算requires_grad。只要op的任一输入的requires_grad为true,op的输出的requires_grad也为true(github.com/Oneflow-Inc… )(前提是输出的数据类型支持梯度)。y的requires_grad就是在这里决定的。
比如y = relu(x),如果数据类型支持梯度,y.requires_grad就等于x.requires_grad。
然后会调用内嵌的解释器internal_执行相关计算。在调用内嵌解释器期间,会临时禁止梯度模式,比如有些op可能会嵌套、多次调用解释器(ReluGradFunctor也会通过解释器执行),这些都不需要梯度逻辑。
需要说明的是,构造x时不会执行grad相关的逻辑,因为inputs的requires_grad都是false,x的requires_grad是在构造的最后才设置的(github.com/Oneflow-Inc… )。
下面重点看一下几个核心函数的逻辑细节。
5.1 梯度闭包的构建
前面对类图的说明中已经提到,OpExprGradClosure只负责当前节点的梯度计算。
GetOrCreateOpGradClosure函数(github.com/Oneflow-Inc… )的核心代码如下:
template<>
Maybe<OpExprGradClosure> BuiltinOpExprImpl<UserOpConf>::GetOrCreateOpGradClosure() const {
if (!op_grad_func_.get()) {
...
op_grad_func_.reset(NewObj<std::string, OpExprGradFunctionIf>(proto().op_type_name()));
JUST(op_grad_func_->Init(*this));
}
return std::make_shared<OpExprGradClosure>(op_grad_func_);
}
NewObj会调用AutoRegistrationFactory(github.com/Oneflow-Inc… )获取预先注册的工厂、创建对象。之前在讨论Op指令在虚拟机中的执行(mp.weixin.qq.com/s/r5LOoEh-Q…) 时也看到过类似的注册机制。
这里op_type_name的值是relu,在代码中搜索"relu",可以找到注册ReLU的宏(github.com/Oneflow-Inc… )。宏展开后的代码如下:
static AutoRegistrationFactory<std::string, OpExprGradFunctionIf>::CreatorRegisterTypeg_registry_var4("relu", ([]() { return new ReLU; }));
所以实际返回的对象是ReLU(github.com/Oneflow-Inc… )。其Init函数是个空操作。
OpExprGradClosure只是简单的把ReLU存下来供backward执行时调用。整个调用流程如下:
5.2 捕获梯度计算需要的数据
调用流程如下:
Capture函数(github.com/Oneflow-Inc… )的作用就是为后续的梯度计算保存必要的数据。
需要注意的是,OpExprGradFunction::CaptureIf(github.com/Oneflow-Inc… )中保存的是detach的tensor。这些tensor与原来的tensor共享数据;可以读写梯度数据,但不会参与反向图的拓扑构造。
这个函数把Interpreter传过来的op的detached outputs传给ReLU::Capture(github.com/Oneflow-Inc… )(就是relu的前向输出y),ReLU::Capture就把output[0]存到ReLUCaptureState的saved_tensors_中(github.com/Oneflow-Inc… )。因为对于relu来说,根据y就可以计算梯度。
5.3 保存反向图结构信息
AutogradInterpreter::Apply中会构造一个lambada表达式backward_fn(github.com/Oneflow-Inc… ),其核心逻辑只有一行grad_closure->Apply。
这个lambda的主要作用就是捕获grad_closure这个智能指针。lambda表达式最终会作为FunctionNode的backward_fn_变量。这样才有类图中FunctionNode到OpExprGradClosure这条线,才能从FunctionNode找到closue、执行节点的梯度计算。
GetThreadLocalAutogradEngine()->AddNode这个函数(github.com/Oneflow-Inc… )很关键,AddNode的主要任务(github.com/Oneflow-Inc… )是为inputs和outputs创建FunctionNode、并保存反向图遍历需要的数据。其输入参数中的inputs/outputs,是前向计算的op的inputs/outputs。对于relu来说,inputs就是x,outputs就是y。
在上述示例代码中,对于x,因为它是叶子节点、也需要梯度,在AddAccumulateFunctionNode会将grad_fn_node设置为一个空操作的函数(github.com/Oneflow-Inc… )。之所以是空操作,是因为叶子节点只需要存储梯度、不需要自己计算梯度;它所需要的梯度计算结果会由反向图的上游节点保存到x.autograd_meta_中。
之后会为y构造GraphFunctionNode并形成节点连接(github.com/Oneflow-Inc… )、并保存到grad_fn_node(github.com/Oneflow-Inc… )。需要注意的是,这里的backward_fn就是AutogradInterpreter::Apply中的lambda表达式(github.com/Oneflow-Inc… )。
需要注意的是,AddBackwardFuncPtr中的inputs/outputs是针对op而言,GraphFunctionNode构造函数中同名变量的是针对FunctionNode而言,二者的含义和指向的对象是不一样的。
构造完成后,x和y的grad_fn_node_字段数据内容如下:
x.grad_fn_node_
name_: accumulate_grad
next_functions_: 空
input_meta_data_: 空
output_meta_data_: size=1,x.autograd_meta_,requires_grad=true,is_leaf=true
output_tensor_infos_: 对应x, relu前向op的input
backward_fn_: 空函数,AddAccumulateFunctionNode中定义的
y.grad_fn_node_
name_: relu_backward
next_functions_: size=1, x.grad_fn_node, 空操作, AddAccumulateFunctionNode中构造的GraphFunctionNode
input_meta_data_: x.autograd_meta_, requires_grad=true, is_leaf=true
output_meta_data_: size=1, y.autograd_meta_, requires_grad=false, is_leaf=false
output_tensor_infos_: 对应y, relu前向op的output
backward_fn_: AutogradInterpreter::Apply中定义的lambda函数
backward就是根据这些数据,从roots出发,完成反向图的遍历。
6
backward的入口
在《OneFlow源码阅读4:tensor类型体系与local tensor》(segmentfault.com/a/119000004… )中提到过,Tensor类在Python端经过一层包装,通过Python机制为Tensor类注册一些方法,backward就是包装的方法之一。
相关的源代码文件如下
- python/oneflow/framework/tensor.py
- python/oneflow/autograd/init.py
- oneflow/python/oneflow/autograd/autograd.py
- oneflow/api/python/autograd/autograd.cpp
C++的调用流程如下:
这里重复一下本文使用的示例代码:
import oneflow as flow
x = flow.tensor([-1.0, 2.0], requires_grad=True)
y = flow.relu(x)
y.backward(flow.Tensor([1, 1]))
print(x.grad)
上述示例代码执行时,Backward(github.com/Oneflow-Inc… )的主要参数的值如下:
- outputs: y, relu输出的tensor
- out_grads: [1, 1]
CheckAndInitOutGrads(github.com/Oneflow-Inc… )返回的是loss通过当前op、传到当前节点的梯度。其部分逻辑就是第3节讨论的
- 如果y是一个向量,backward必须传入一个与y的shape一致的向量(github.com/Oneflow-Inc… )。
- 如果y是一个标量,backward不要参数,框架会自动构造一个全1的tensor(github.com/Oneflow-Inc… )。
7
autograd.grad
通常,我们都会通过tensor.backward或autograd.backward触发梯度计算和反向传播,但偶尔也会用到autograd.grad(oneflow.readthedocs.io/en/master/g… )这个接口。autograd.grad和autograd.backward很相似,不同之处主要在于:
-
autograd.backward以outputs(Tensor)作为起点,计算每一个叶子节点的梯度,并且梯度可累积,且保存于对应inputs(Tensor)的tensor.grad上。
-
而autograd.grad 接口则是从指定的 outputs为起点,以指定的 inputs为终点计算梯度,并按 inputs 参数的顺序返回一个由inputs相对应的grads构成的TensorTuple。且梯度是直接获得的,不在inputs的tensor.grad中累积。
由于autograd.grad就只执行后向计算图中的一部分,在OneFlow 静态图模式下(lazy mode)TaskGraph 统计入度时就需要做一次剪枝,把不需要计算的结点去掉(参考 TaskGraph::ComputeDependenciesAndPruneNode(github.com/Oneflow-Inc…) 接口),同时记录每个 inputs 序号,在 FunctionNode::Apply (github.com/Oneflow-Inc… )执行后,把需要保存的 grad 及时捕获,最后返回给用户。
8
反向计算中GraphAutogradEngine的调用流程
反向图计算的流程分析可以结合3类信息
- 流程代码
- 上述x和y的grad_fn_node_的值
- 类图以及类之间的关系
RunBackwardAndSaveGrads4LeafTensor(github.com/Oneflow-Inc… )函数的几个参数是:
- outputs: relu的输出y
- out_grads: 用户自己构造的ones [1, 1]
8.1 反向传递过来的梯度的累加
RunBackwardAndSaveGrads4LeafTensor(github.com/Oneflow-Inc… )函数中,PushPartialTensor(github.com/Oneflow-Inc… )的作用就是将loss传过来的梯度累加到autograd_meta_.current_grad_.acc_tensor_。第4节中提到,TensorArg.acc_tensor_存储的就是loss传过来的梯度的合计。这就是roots(即y)接收到的梯度,要么是框架自动创建的ones,要么是用户提供的梯度(通常也是ones)。
这行代码的逻辑可以用如下伪码表示
outputs[i].impl_.autograd_meta_.current_grad_.acc_tensor_ += out_grads[i]
8.2 反向图计算任务的构造与执行
FunctionNode只是记录了反向图的基础信息。RunBackwardAndSaveGrads4LeafTensor中会再构造一个GraphTask对象来表示一次反向计算任务。
- GraphTask的构造函数(github.com/Oneflow-Inc… )主要是初始化反向图的roots_节点,并将图中各个节点的依赖计数dependencies_置为0。根据示例代码,roots_就是y(通常是loss)。
- ComputeDependencies(github.com/Oneflow-Inc… )会对反向图进行深度优先遍历、统计图中各个节点的依赖计数。
- GraphTask::Apply(github.com/Oneflow-Inc… )中实现了反向图的遍历逻辑(传入的save_grad_for_leaf参数是true)。当FunctionNode的依赖为0时,节点才会被放入执行队列(github.com/Oneflow-Inc… ),后续会对反向图执行按拓扑序遍历。FunctionNode::Apply执行时,它的依赖都执行完毕了。GraphTack::Apply这个函数中,涉及梯度计算逻辑主要包括两部分:
- 调用node->Apply执行单个节点的梯度计算(github.com/Oneflow-Inc… )
- 调用node->AccGrad4LeafTensor存储算好的梯度(github.com/Oneflow-Inc…)
8.3 节点的梯度计算
FunctionNode::Apply中(github.com/Oneflow-Inc… ),处理output_meta_data_的for循环(github.com/Oneflow-Inc… )的核心逻辑可以用如下伪码表示:
acc_tensor = output_meta_data_[i].current_grad_.acc_tensor_
if (acc_tensor != nullptr) {
output_grads[i] = acc_tensor_
} else {
output_grads[i] = zeros()
}
从中可以看出来,output_grads的作用就是拷贝上游传过来的梯度数据(指针),作为backward_fn_的参数。
后面可以看到,backward_fn(github.com/Oneflow-Inc… )的核心逻辑是:
// d(y)表示当前节点对y的梯度,比如relu对其输出y的梯度。
input_grads = d(y) * output_grads
input_grads就是当前节点传给下游节点的梯度,调用backward_fn时会对它进行赋值。
处理input_meta_data的for循环的核心逻辑(github.com/Oneflow-Inc… )可以用如下伪码表示。实质就是将当前节点传给下游节点的梯度,累加到下游节点的current_grad上,从而实现梯度的传播。如果tensor输入给多个op,每个op的梯度会加起来。
input_meta_data_[i].current_grad_.acc_tensor_ += input_grads[i]
8.3.1 梯度计算的执行:backward_fn
以下只考虑前述示例的root节点的执行。也就是y对应的FunctionNode。对于y来说,backward_fn就是AutogradInterpreter::Apply中定义的lambda表达式(github.com/Oneflow-Inc… )。对于relu来说,执行过程如下:
之前在5.1节已经确认,OpExprGradClosure::impl_就是ReLU(github.com/Oneflow-Inc… )。
如前所述,backward_fn的参数中,output_grads是上游传过来的梯度数据,backward_fn需要计算relu的梯度,二者的乘积赋值给in_grads。这些参数会一直传递到ReLU::Apply(github.com/Oneflow-Inc… )。
functional::ReluGrad(github.com/Oneflow-Inc… )的Functor名字是ReluGrad。对应的Functor是ReluGradFunctor(github.com/Oneflow-Inc… )(命名空间是oneflow::one::functional::impl)。
ReluGradFunctor之后,是基于Primitive kernel实现的计算逻辑。 ReluGradFunctor中对应op名字是"relu_grad",这个relu_grad的注册被包在一个宏定义(github.com/Oneflow-Inc… )中,实际上会返回一个BinaryPrimitiveKernel,这是一种稍显特殊的基于Primitive的kernel,其具体为ep::primitive下的一种BroadcastElementwiseBinary工厂(github.com/Oneflow-Inc… ),其对应的cpu和cuda注册分别位于:
- oneflow/core/ep/cpu/primitive/broadcast_elementwise_binary.cpp
- oneflow/core/ep/cuda/primitive/broadcast_elementwise_binary.cu
最终实现位于binary_functor.h(github.com/Oneflow-Inc… ):
template<DeviceType device, typename Src, typename Dst>
struct BinaryFunctor<device, BinaryOp::kReluBackwardWithDyY, Src, Dst> {
OF_DEVICE_FUNC BinaryFunctor(Scalar attr0, Scalar attr1) {}
OF_DEVICE_FUNC Dst operator()(Src dy, Src y) const {
return static_cast<Dst>((y <= static_cast<Src>(0.0)) ? static_cast<Src>(0.0) : dy);
}
};
至此,完成了梯度计算的逻辑。
8.4 梯度的存储
FunctionNode::Apply执行完毕后,GraphTask::Apply调用FunctionNode::AccGrad4LeafTensor(github.com/Oneflow-Inc… )为叶子节点拷贝梯度数据。
在上述例子中,因为y不是叶子节点,处理到y.grad_fn_node_时不会进行实质处理。对于x,会调用CopyOrAccGrad(github.com/Oneflow-Inc… ),这个函数逻辑的伪码形式如下
autograd_meta.acc_grad_ += autograd_meta.current_grad_
autograd_meta.acc_grad_就是Python端读到的x的梯度。
8.5 临时梯度的释放机制
上述第5.点中,描述了前向图构建过程中已经存放了对应的FunctionNode以及前向op所对应的反向backward_fn,实际求梯度、反向传播时,这一个个 backward_fn串联起来构成了反向计算图拓扑,对于其中的每个节点,backward_fn中都可以表示为output_grads、inputs/outputs(可选) -> inputs_grads的一个函数。
其中output_grads 就是链式法则中上游计算的累计梯度,当前节点backward_fn计算完成后,该节点的output_grads就不会再被使用到,从而变成了临时梯度。之后会调用 FunctionNode->ReleaseOutTensorArgs()(github.com/Oneflow-Inc…) 来及时释放该临时梯度。
参考资料
- oneflow master(github.com/Oneflow-Inc…)
- OneFlow学习笔记:Autograd解析(mp.weixin.qq.com/s/6zm4xRpRk…)
- OneFlow: AUTOGRAD(docs.oneflow.org/en/master/b…)
- 自动微分的原理介绍(mp.weixin.qq.com/s/BwQxmNoSB…)
- 自动求梯度(tangshusen.me/Dive-into-D…)
- PyTorch 的 backward 为什么有一个 grad_variables 参数?(zhuanlan.zhihu.com/p/29923090)
- PyTorch 101, Part 1: Understanding Graphs, Automatic Differentiation and Autograd(blog.paperspace.com/pytorch-101…)
欢迎下载体验 OneFlow v0.8.0 最新版本: github.com/Oneflow-Inc…