LeetCode 101. Symmetric Tree

89 阅读1分钟

开启掘金成长之旅!这是我参与「掘金日新计划 · 12 月更文挑战」的第20天,点击查看活动详情

LeetCode 101. Symmetric Tree

给你一个二叉树的根节点 root , 检查它是否轴对称。

 

示例 1:

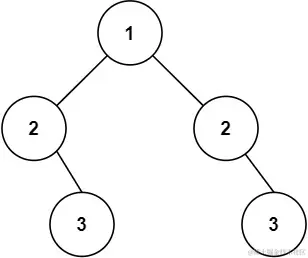
输入: root = [1,2,2,3,4,4,3]
输出: true

示例 2:

输入: root = [1,2,2,null,3,null,3]
输出: false

 

提示:

  • 树中节点数目在范围 [1, 1000] 内
  • -100 <= Node.val <= 100

 

进阶: 你可以运用递归和迭代两种方法解决这个问题吗?

算法1

(递归) O(n) 递归判断两个子树是否互为镜像。

两个子树互为镜像当且仅当:

两个子树的根节点值相等; 第一棵子树的左子树和第二棵子树的右子树互为镜像,且第一棵子树的右子树和第二棵子树的左子树互为镜像; 时间复杂度分析:从上到下每个节点仅被遍历一遍,所以时间复杂度是 O(n)。

ac 代码

/**
 * Definition for a binary tree node.
 * struct TreeNode {
 *     int val;
 *     TreeNode *left;
 *     TreeNode *right;
 *     TreeNode(int x) : val(x), left(NULL), right(NULL) {}
 * };
 */
class Solution {
public:
    bool isSymmetric(TreeNode* root) {
        return !root || dfs(root->left, root->right);
    }

    bool dfs(TreeNode*p, TreeNode*q)
    {
        if (!p || !q) return !p && !q;
        return p->val == q->val && dfs(p->left, q->right) && dfs(p->right, q->left);
    }
};

算法2

(迭代) O(n) 用栈模拟递归,对根节点的左子树,我们用中序遍历;对根节点的右子树,我们用反中序遍历。 则两个子树互为镜像,当且仅当同时遍历两课子树时,对应节点的值相等。

时间复杂度分析:树中每个节点仅被遍历一遍,所以时间复杂度是 O(n)。

ac 代码

/**
 * Definition for a binary tree node.
 * struct TreeNode {
 *     int val;
 *     TreeNode *left;
 *     TreeNode *right;
 *     TreeNode(int x) : val(x), left(NULL), right(NULL) {}
 * };
 */
class Solution {
public:
    bool isSymmetric(TreeNode* root) {
        if (!root) return true;
        stack<TreeNode*> left, right;
        TreeNode *lc = root->left;
        TreeNode *rc = root->right;
        while(lc || rc || left.size())
        {
            while (lc && rc)
            {
                left.push(lc), right.push(rc);
                lc = lc->left, rc = rc->right;
            }
            if (lc || rc) return false;
            lc = left.top(), rc = right.top();
            left.pop(), right.pop();
            if (lc->val != rc->val) return false;
            lc = lc->right, rc = rc->left;
        }
        return true;
    }

};