量化金融 板块 0 - 4 - 统计(数学前导课)

284 阅读1分钟

板块 0 - 4 - 概率论(数学前导课)

欢迎点赞,收藏~更多量化课程持续更新ing

在板块0 - 4中,您将学习概率论:一般汇总统计、最大似然估计、回归与相关。

在板块 0 - 4 学习结束时,您将能够

Statistics:

  • General Summary Statistics
  • Maximum Likelihood Estimator
  • Regression and Correlation

1. 一般汇总统计

image.png

image.png

image.png

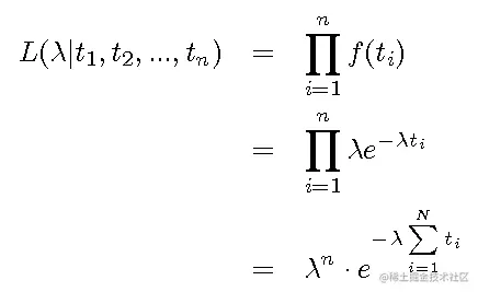
2. 最大似然估计

image.png

image.png

image.png

3. 回归分析与相关分析

image.png

image.png