十八、红黑树

142 阅读14分钟

1、红黑树的定义

  • 红黑树也是一种自平衡的二叉搜索树 以前也叫做平衡二叉B树(Symmetric Binary B-tree)

红黑树必须满足以下 5 条性质

  1. 节点是RED\color{red}{RED}或者BLACK\color{black}{BLACK}
  2. 根节点是BLACK\color{black}{BLACK}
  3. 叶子节点\color{#ed7d30}{叶子节点}(外部节点,空节点)都是BLACK\color{black}{BLACK}
  4. RED\color{red}{RED}节点的子节点都是BLACK\color{black}{BLACK}
    • RED\color{red}{RED}节点的parent\color{blue}{parent}都是BLACK\color{black}{BLACK}
    • 从根节点到叶子节点\color{#ed7d30}{叶子节点}的所有路径上不能有 2 个连续的RED\color{red}{RED}节点
  5. 从任一节点到叶子节点\color{#ed7d30}{叶子节点}的所有路径都包含相同数目的BLACK\color{black}{BLACK} 节点

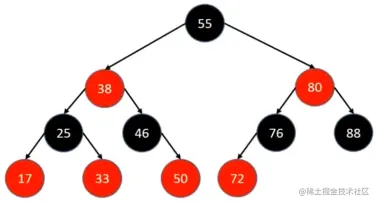
可以看一下下面这棵是红黑树么?

2、红黑树的等价变换

  • 红黑树和4阶B树(2-3-4树)具有等价性
  • BLACK\color{black}{BLACK}节点与它的RED\color{red}{RED}子节点融合在一起,形成1个B树节点
  • 红黑树的BLACK\color{black}{BLACK}节点个数与4阶B树的节点总个数相等
  • 网上有些教程:用 2-3树与红黑树 进行类比,这是极其不严谨的,2-3树 并不能完美匹配 红黑树 的所有情况
  • 注意:后面展示的红黑树都会省略 NULL 节点

2.1、红黑树 vs 2-3-4树

思考: 如果上图最底层的BLACK\color{black}{BLACK}节点是不存在的,在B树中是什么样的情形? 整棵B树只有1个节点,而且是超级节点

3、代码实现

3.1、几个英文单词的意义

  • parent\color{blue}{parent}:父节点
  • sibling\color{blue}{sibling}:兄弟节点,例如:17和33。
  • uncle\color{blue}{uncle}:叔父节点(parent\color{blue}{parent}的兄弟节点)例如:50的叔父节点是25。
  • grand\color{blue}{grand}:祖父节点(parent\color{blue}{parent}的父节点)例如:38是50的祖父节点。

3.2、实现前准备

3.2.1、创建红黑树的类

3.2.2、实现RBNode类

因为红黑树的节点多两个颜色,所以跟AVL树一样需要创建自己的Node类

3.2.3、封装一些辅助方法

3.2.4、在Node类中新增sibling方法

4、添加

  • 已知
    • B树中,新元素必定是添加到叶子节点中
    • 4阶B树所有节点的元素个数x\color{green}{x}都符合 1 ≤ x\color{green}{x} ≤ 3
  • 建议新添加的节点默认为RED\color{red}{RED},这样能够让红黑树的性质尽快满足(性质 1、2、3、5 都满足,性质 4 不一定)

◼ 如果添加的是根节点,染成BLACK\color{black}{BLACK}即可

4.1、添加的所有情况

添加只可能添加到最底层,既然是添加到最后一层,那么我们就要考虑最后一层叶子节点都有那些情况。
其实就4大情况:红黑红、黑红、红黑、黑。因为这个是4阶B树,所有只有这4种情况

那么现在新添加节点有多少情况呢?
因为新添加节点只能是最后一层, 所以新添加的节点只能添加到上面4中情况节点的左右节点。这里共有12种情况
17节点的左右边、33节点的左右边、46节点的左边、50节点的左右边、72节点的左右边、76节点的右边、88节点的左右边。

添加节点的parent\color{blue}{parent}为BLACK
如果添加时,新添加节点的parent\color{blue}{parent}BLACK\color{BLACK}{BLACK},那么会满足红黑树的性质4。同样也满足4阶B树的性质。因此不用做任何额外处理。

添加节点的parent为BLACK

上图中有4种情况插入情况:46的左节点、76的右节点、88的左右节点

添加节点的parent\color{blue}{parent}RED\color{red}{RED}
剩下的8种情况是不满足红黑树的性质4(新添加节点的parent\color{blue}{parent}RED\color{red}{RED}),因此需要进行相应的处理。 添加节点的parent为RED

上图中有8种情况插入情况:17的左右节点、33的左右节点、50的左右节点、72的左右节点

4.2、添加 – 修复性质4

4.2.1、添加 – 修复性质4 – LL\RR

上面讲到添加共有12种情况,其中有4种情况是不用处理的(也就是它的父节点是BLACK\color{BLACK}{BLACK}就不用处理),如果添加时它的父节点是RED\color{red}{RED}也就是8种情况,是需要进行处理的,这8种情况违背了红黑树的性质4(性质4:不能有连续2个RED\color{red}{RED}节点)。

添加 – 修复性质4 – LL\RR

上图新添加5260节点,它们是RRLL情况。
1、染色:先把新添加的节点的parent染成黑色,祖父节点grand\color{blue}{grand}染成红色。
2、旋转:进行相应的旋转,分别是对46左旋转和对76右旋转。

添加 – 修复性质4 – LL\RR

4.2.2、添加 – 修复性质4 – LR\RL

下图新添加节点4874,它们是RLLR情况。

  1. 旋转:添加48节点时先50右旋转,46左旋转;添加74节点时先72左旋转,76右旋转
  2. 染色:添加48节点时先48染成黑色,46染成红色;添加74节点时74染成黑色,76染成红色

添加 – 修复性质4 – LR\RL

上面要处理的8种情况已经讲了4种情况,还剩下4种情况,这剩下4种跟我们已经讲完的4种有什么区别呢?我们可以通过叔父节点来判断。已经讲完的4种情况的新添加节点的叔父节点都是黑色,剩下的4种情况的新添加节点的叔父节点都是红色。

4.2.3、添加 – 修复性质4 – 上溢 – LL

添加 – 修复性质4 – 上溢 – LL

4.2.4、添加 – 修复性质4 – 上溢 – RR

添加 – 修复性质4 – 上溢 – RR

4.2.5、添加 – 修复性质4 – 上溢 – LR

添加 – 修复性质4 – 上溢 – LR

4.2.7、添加 – 情况总结

添加 – 情况总结

4.3、代码实现

RBTree类中实现afterAdd方法:

上面是实现了如果添加的节点的父节点是黑色的不用处理,和如果添加节点的叔父节点是红色的处理。

下面就是添加节点的叔父节点是黑色的情况,这种情况就需要进行旋转了。这里我们在AVLTreeRBTree之间在搞一个父类BBST

public class BBST<E> extends BST<E> {
	public BBST() {
		this(null);
	}
	
	public BBST(Comparator<E> comparator){
		super(comparator);
	}
	
	protected void rotateLeft(Node<E> g) {
		// 因为是左旋转,那么p节点肯定是g节点的右子树
		Node<E> p = g.right;
		Node<E> child = p.left;
		g.right = child;
		p.left = g;
		afterRotate(g,p,child);
	}
	
	protected void rotateRight(Node<E> g) {
		Node<E> p = g.left;
		Node<E> child = p.right;
		g.left = child;
		p.right = g;
		afterRotate(g,p,child);
	}
	
	/**
	 * 公共代码,不管左旋转、右旋转,都要执行
	 * @param g 失衡节点
	 * @param p 失衡节点的tallerChild
	 * @param child g和p需要交换的子树(本来是p的子树,后面会变成g的子树)
	 */
	protected void afterRotate(Node<E> g, Node<E> p, Node<E> child) {
		// 让p成为这棵子树的根节点
		p.parent = g.parent;
		if(g.isLeftChild()) {
			g.parent.left = p;
		}else if(g.isRightChild()) {
			g.parent.right = p;
		}else {// g是root节点
			root = p;
		}
		
		// 更新child的parent
		if(child != null) {
			child.parent = g;
		}
		
		// 更新g的parent
		g.parent = p;
		
		
	}
	
	protected void rotate(
			Node<E> r,// 子树的根节点
			Node<E> b,Node<E> c,
			Node<E> d,
			Node<E> e,Node<E> f) {
		// 让d成为这棵树的根节点
		d.parent = r.parent;
		if(r.isLeftChild()) {
			r.parent.left = d;
		}else if(r.isRightChild()) {
			r.parent.right = d;
		}else {
			root = d;
		}
		
		// b-c
		b.right = c;
		if(c != null) c.parent = b;
		
		// e-f
		f.left = e;
		if(e != null) e.parent = f;
		
		//b-d-f
		d.left = b;
		d.right = f;
		b.parent = d;
		f.parent = d;
	}
}
public class AVLTree<E> extends BBST<E>{
	public AVLTree() {
		this(null);
	}
	
	public AVLTree(Comparator<E> comparator){
		super(comparator);
	}
	
	@Override
	protected void afterAdd(Node<E> node) {
		while((node = node.parent) != null) {
			if(isBalanced(node)) {
				// 更新高度
				updateHeight(node);
			}else {
				// 恢复平衡
				reblalance(node);
				// 整棵树恢复平衡
				break;
			}
		}
	}
	
	@Override
	protected void afterRemove(Node<E> node) {
		while((node = node.parent) != null) {
			if(isBalanced(node)) {
				// 更新高度
				updateHeight(node);
			}else {
				// 恢复平衡
				reblalance(node);
			}
		}
	}
	
	@Override
	protected Node<E> createNode(E element, Node<E> parent) {
		return new AVLNode<>(element, parent);
	}
	 
	private boolean isBalanced(Node<E> node) {
		// 平衡因子的绝对值小于等于1,就表示该节点是平衡的。
		return Math.abs(((AVLNode)node).balanceFactor()) <= 1;
	}
	
	private void updateHeight(Node<E> node) {
		((AVLNode)node).updateHeight();
	}
	
	@Override
	protected void afterRotate(Node<E> g, Node<E> p, Node<E> child) {
		super.afterRotate(g, p, child);
		// 更新高度(先更新比较矮的g,再更新比较高的p)
		updateHeight(g);
		updateHeight(p);
	}
	
	@Override
	protected void rotate(Node<E> r, Node<E> b, Node<E> c, Node<E> d, Node<E> e, Node<E> f) {
		super.rotate(r, b, c, d, e, f);
		updateHeight(b);
		updateHeight(f);
		updateHeight(d);
	}
	
	/**
	 * 恢复平衡
	 * @param node 高度最低的那个不平衡节点
	 */
	private void reblalance(Node<E> g) {
		Node<E> p = ((AVLNode)g).tallerChild();
		Node<E> n = ((AVLNode)p).tallerChild();
		if(p.isLeftChild()) {// L
			if(n.isLeftChild()) {// LL
				rotate(g, n, n.right, p, p.right, g);
			}else {// LR
				rotate(g, p, n.left, n, n.right, g);
			}
		}else {// R
			if(n.isLeftChild()) {// RL
				rotate(g, g, n.left, n, n.right, p);
			}else {// RR
				rotate(g, g, p.left, p, n.left, n);
			}
		}
	}
	
	/**
	 * 恢复平衡
	 * @param node 高度最低的那个不平衡节点
	 */
	private void reblalance2(Node<E> g) {
		Node<E> p = ((AVLNode)g).tallerChild();
		Node<E> n = ((AVLNode)p).tallerChild();
		if(p.isLeftChild()) {// L
			if(n.isLeftChild()) {// LL
				rotateRight(g);
			}else {// LR
				rotateLeft(p);
				rotateRight(g);
			}
		}else {// R
			if(n.isLeftChild()) {// RL
				rotateRight(p);
				rotateLeft(g);
			}else {// RR
				rotateLeft(g);
			}
		}
	}
	
	private static class AVLNode<E> extends Node<E>{
		int height = 1;
		
		public AVLNode(E element, Node<E> parent) {
			super(element, parent);
		}
		
		/**
		 * 平衡因子
		 */
		public int balanceFactor() {
			int leftHeight = left == null ? 0 : ((AVLNode)left).height;
			int rightHeight = right == null ? 0 : ((AVLNode)right).height;
			return leftHeight - rightHeight;
		}
		
		private void updateHeight() {
			int leftHeight = left == null ? 0 : ((AVLNode)left).height;
			int rightHeight = right == null ? 0 : ((AVLNode)right).height;
			height = 1 + Math.max(leftHeight, rightHeight);
		}
		
		/**
		 * 当前节点左右子树那个比较高
		 */
		public Node<E> tallerChild() {
			int leftHeight = left == null ? 0 : ((AVLNode)left).height;
			int rightHeight = right == null ? 0 : ((AVLNode)right).height;
			if(leftHeight > rightHeight) return left;
			if(leftHeight < rightHeight) return right;
			return isLeftChild() ? left : right;
		}
		
		@Override
		public String toString() {
			String parentString = null;
			if(parent != null) {
				parentString = parent.element.toString();
			}
			return element + "_p(" + parentString + ")_h("+height+")";
		}
	}
}
public class RBTree<E> extends BBST<E>{
	private static final boolean RED = false;
	private static final boolean BLACK = true;
	public RBTree() {
		this(null);
	}
	
	public RBTree(Comparator<E> comparator){
		super(comparator);
	}
	
	@Override
	protected void afterAdd(Node<E> node) {
		Node<E> parent = node.parent;
		
		//  添加的是根节点或者上溢到达了根节点
		if(parent == null) {
			black(node);
			return;
		}
		
		// 如果父节点是黑色,直接返回
		if(isBlack(parent)) return;
		
		// 叔父节点
		Node<E> uncle = parent.sibling();
		// 祖父节点
		Node<E> grand = parent.parent;
		if(isRed(uncle)) {// 叔父节点是红色【B树节点上溢】
			black(parent);
			black(uncle);
			// 把祖父节点当做是新添加的节点
			afterAdd(red(grand));
			return;
		}
		
		// TODO 叔父节点不是红色 
		
	}
	
	private RBNode<E> color(Node<E> node,boolean color){
		if(node != null) {
			((RBNode<E>)node).color = color;
		}
		return (RBNode<E>)node;
	}
	
	private RBNode<E> red(Node<E> node){
		return color(node, RED);
	}
	
	private RBNode<E> black(Node<E> node){
		return color(node, BLACK);
	}
	
	private boolean colorOf(Node<E> node) {
		return node == null ? BLACK : ((RBNode<E>)node).color;
	}
	
	private boolean isBlack(Node<E> node) {
		return colorOf(node) == BLACK;
	}
	
	private boolean isRed(Node<E> node) {
		return colorOf(node) == RED;
	}
	
	private static class RBNode<E> extends Node<E>{
		boolean color = RED;
		public RBNode(E element, Node<E> parent) {
			super(element, parent);
		}
		
	}
}

下面进行叔父节点是黑色的情况的逻辑处理:
可以根据上面《4.2.1、添加 – 修复性质4 – LL\RR》和《4.2.2、添加 – 修复性质4 – LR\RL》来实现代码

我们还可以对其代码进行优化一下

我们可以发现上溢和不上溢,都会进行grand节点进行染红色,那么还可以进一步代码优化:

4.4、测试

RBNode重写toString方法

RBNode类里还要重写createNode方法:

最终运行效果如下:

5、删除

B树中,最后真正被删除的元素都在叶子节点中

5.1、删除 – RED节点

直接删除,不用作任何调整

protected void afterRemove(Node<E> node,Node<E> replacement) {
        // 如果删除的节点是红色
        if(isRed(node)) return;
......		
}

5.2、删除 – BLACK节点

删除 – BLACK节点

有3种情况:

  1. 拥有2个RED\color{red}{RED}子节点的BLACK\color{black}{BLACK}节点(25节点)
    • 不可能被直接删除,因为会找到它的子节点替代删除,这里可能是17或者33子节点。
    • 因此不用考虑这种情况
  2. 拥有1个RED\color{red}{RED}子节点的BLACK\color{black}{BLACK}节点(46和76节点)
  3. BLACK\color{black}{BLACK}叶子节点(88节点) 上面3种情况,只有第2和第3需要进行特殊处理,第1是不用特殊处理的。

5.2.1、删除 – 拥有1个RED子节点的BLACK节点

代码实现

RBTree类种实现afterRemove方法,但是这里afterRemove方法是只传一个Node参数(46节点或者76节点),这里我们是需要被删除节点的子节点(50节点或者72节点)用于取代被删除节点,所以我们需要在afterRemove方法里在传一个参数:

BST类中:

RBTree类中:

5.2.2、删除 – BLACK叶子节点 – sibling为BLACK

5.2.2.1、删除节点的兄弟节点是黑色,但它子节点至少有一个红色,可以借

这里要删除的是88节点,它的兄弟节点76是黑色的。
我们删除的叶子节点88,删掉后假设需要向兄弟借一个元素,有一个前提条件它的兄弟节点必须是黑色,并且它的兄弟节点的子节点必须至少有一个是红色\color{red}{它的兄弟节点必须是黑色,并且它的兄弟节点的子节点必须至少有一个是红色}

5.2.2.2、删除节点的兄弟节点是黑色,但它子节点没有红色,不可以借

5.2.3、删除 – BLACK叶子节点 – sibling为RED

这里要删除的是88节点,它的兄弟节点55是红色的。
如果要删除的叶子节点它的兄弟是红色的话,那么这个红色节点(55)是在父节点里面的。所以这里55作为它的兄弟是没法借过来的,要借的是左右临近的。

这里只能是将红色节点(55)的子节点变成要删除节点的兄弟。这个时候就变成了5.2.2.2的情况了。

代码实现:

这里要实现代码,是需要拿到要删除节点的兄弟节点的,在afterRemove方法里通过Node<E> sibling = node.sibling();方法拿兄弟节点是错误的,因为node.sibling()方法里的判断是根据删除节点是否是左右节点来判断的,而afterRemove方法又是在删除节点之后调用的,因此这个方法获取兄弟节点是不对的。

protected void afterRemove(Node<E> node,Node<E> replacement) {
     ......
	
	// 删除的是黑色叶子节点
	// 判断被删除的node是左还是右
	boolean left = parent.left == null || node.isLeftChild();
	Node<E> sibling = left ? parent.right : parent.left;
	if(left) {// 被删除的节点在左边,兄弟节点在右边
		if (isRed(sibling)) { // 兄弟节点是红色
			black(sibling);
			red(parent);
			rotateLeft(parent);
			// 更换兄弟
			sibling = parent.right;
		}
		
		// 兄弟节点必然是黑色
		if (isBlack(sibling.left) && isBlack(sibling.right)) {
			// 兄弟节点没有1个红色子节点,父节点要向下跟兄弟节点合并
			boolean parentBlack = isBlack(parent);
			black(parent);
			red(sibling);
			if (parentBlack) {
				afterRemove(parent, null);
			}
		} else { // 兄弟节点至少有1个红色子节点,向兄弟节点借元素
			// 兄弟节点的左边是黑色,兄弟要先旋转
			if (isBlack(sibling.right)) {
				rotateRight(sibling);
				sibling = parent.right;
			}
			
			color(sibling, colorOf(parent));
			black(sibling.right);
			black(parent);
			rotateLeft(parent);
		}
	}else {// 被删除节点在右边,兄弟节点在左边
		if (isRed(sibling)) {// 兄弟节点是红色
			black(sibling);
			red(parent);
			rotateRight(parent);
			// 更换兄弟
			sibling = parent.left; 
		}
		
		//兄弟节点必然是黑色
		if (isBlack(sibling.left) && isBlack(sibling.right)) {
			// 兄弟节点没有1个红色节点
			boolean parentBlack = isBlack(parent);
			black(parent);
			red(sibling);
			if(parentBlack) {
				afterRemove(parent, null);
			}
		}else {// 兄弟节点至少有1个红色子节点,向兄弟节点借元素
			// 兄弟节点的左边是黑色,兄弟要先旋转
			if(isBlack(sibling.left)) {
				rotateLeft(sibling);
				sibling = parent.left;
			}
			color(sibling, colorOf(parent));
			black(sibling.left);
			black(parent);
			rotateRight(parent);
		}
	}
}

afterRemove方法去除replacement参数

private void remove(Node<E> node) {
	if(node == null) return;
	size--;
	if(node.hasTwoChildren()) {// 度为2的节点
		// 找到后继节点
		Node<E> s = successor(node);
		// 用后继节点的值覆盖度为2的节点的值
		node.element = s.element;
		// 删除后继节点
		node = s;
	}
	
	// 删除node节点(node的度必然是1或者0)
	Node<E> replacement = node.left != null ? node.left : node.right;
	if (replacement != null) { // node是度为1的节点
		// 更改parent
		replacement.parent = node.parent;
		// 更改parent的left、right的指向
		if (node.parent == null) { // node是度为1的节点并且是根节点
			root = replacement;
		} else if (node == node.parent.left) {
			node.parent.left = replacement;
		} else { // node == node.parent.right
			node.parent.right = replacement;
		}
		
		// 删除节点之后的处理
		afterRemove(replacement);
	} else if (node.parent == null) { // node是叶子节点并且是根节点
		root = null;
		// 删除节点之后的处理
		afterRemove(node);
	} else { // node是叶子节点,但不是根节点
		if (node == node.parent.left) {
			node.parent.left = null;
		} else { // node == node.parent.right
			node.parent.right = null;
		}
		// 删除节点之后的处理
		afterRemove(node);
	}
}
@Override
protected void afterRemove(Node<E> node) {
	// 如果删除的节点是红色
//		if(isRed(node)) return;
	// 或者 用以取代删除节点的子节点是红色
	if (isRed(node)) {
		black(node);
		return;
	}
	
	Node<E> parent = node.parent;
	// 删除的是根节点
	if (parent == null) return;
	
	// 删除的是黑色叶子节点【下溢】
	// 判断被删除的node是左还是右
	boolean left = parent.left == null || node.isLeftChild();
	Node<E> sibling = left ? parent.right : parent.left;
	if (left) { // 被删除的节点在左边,兄弟节点在右边
		if (isRed(sibling)) { // 兄弟节点是红色
			black(sibling);
			red(parent);
			rotateLeft(parent);
			// 更换兄弟
			sibling = parent.right;
		}
		
		// 兄弟节点必然是黑色
		if (isBlack(sibling.left) && isBlack(sibling.right)) {
			// 兄弟节点没有1个红色子节点,父节点要向下跟兄弟节点合并
			boolean parentBlack = isBlack(parent);
			black(parent);
			red(sibling);
			if (parentBlack) {
				afterRemove(parent);
			}
		} else { // 兄弟节点至少有1个红色子节点,向兄弟节点借元素
			// 兄弟节点的左边是黑色,兄弟要先旋转
			if (isBlack(sibling.right)) {
				rotateRight(sibling);
				sibling = parent.right;
			}
			
			color(sibling, colorOf(parent));
			black(sibling.right);
			black(parent);
			rotateLeft(parent);
		}
	} else { // 被删除的节点在右边,兄弟节点在左边
		if (isRed(sibling)) { // 兄弟节点是红色
			black(sibling);
			red(parent);
			rotateRight(parent);
			// 更换兄弟
			sibling = parent.left;
		}
		
		// 兄弟节点必然是黑色
		if (isBlack(sibling.left) && isBlack(sibling.right)) {
			// 兄弟节点没有1个红色子节点,父节点要向下跟兄弟节点合并
			boolean parentBlack = isBlack(parent);
			black(parent);
			red(sibling);
			if (parentBlack) {
				afterRemove(parent);
			}
		} else { // 兄弟节点至少有1个红色子节点,向兄弟节点借元素
			// 兄弟节点的左边是黑色,兄弟要先旋转
			if (isBlack(sibling.left)) {
				rotateLeft(sibling);
				sibling = parent.left;
			}
			
			color(sibling, colorOf(parent));
			black(sibling.left);
			black(parent);
			rotateRight(parent);
		}
	}
}

6、红黑树的平衡

  • 最初遗留的困惑:为何那5条性质,就能保证红黑树是平衡的? 那5条性质,可以保证红黑树等价于4阶B树
  • 相比AVL树,红黑树的平衡标准比较宽松:没有一条路径会大于其他路径的2\color{#ed7d31}{没有一条路径会大于其他路径的2倍}
  • 是一种弱平衡、黑高度平衡
  • 红黑树的最大高度是2log2(n+1)2 ∗ log{_2}(n + 1),依然是O(logn)O(log{_n})级别

7、性能对比

7.1、红黑树平均时间复杂度

  • 搜索:O(logn)O(log{_n})
  • 添加:O(logn)O(log{_n})O(1)O(1)次的旋转操作
  • 删除:O(logn)O(log{_n})O(1)O(1)次的旋转操作

7.2、AVL树 vs 红黑树

AVL树

  • 平衡标准比较严格:每个左右子树的高度差不超过1\color{#ed7d31}{每个左右子树的高度差不超过1}
  • 最大高度是1.44log2n+21.3281.44 ∗ log{_2} n + 2 − 1.328(100W个节点,AVL树最大树高28)
  • 搜索、添加、删除都是O(logn)O(log{_n})复杂度,其中添加仅需O(1)O(1)次旋转调整、删除最多需要O(logn)O(log{_n})

红黑树

  • 平衡标准比较宽松:没有一条路径会大于其他路径的2\color{#ed7d31}{没有一条路径会大于其他路径的2倍 }
  • 最大高度是2log2(n+1)2 ∗ log{_2}(n + 1)( 100W个节点,红黑树最大树高40)
  • 搜索、添加、删除都是O(logn)O(log{_n})复杂度,其中添加、删除都仅需O(1)O(1)次旋转调整

7.3、BST vs AVL Tree vs Red Black Tree

10, 35, 47, 11, 5, 57, 39, 14, 27, 26, 84, 75, 63, 41, 37, 24, 96这组数据转换成平衡二叉搜索树(BST)如下图

左边的是平衡二叉搜索树,是极为不平衡的,所以在它的基础上实现了AVLTree(右上图)和RedBlackTree(右下图)

代码链接