量化金融 板块 0 - 3 - 概率论(数学前导课)

430 阅读1分钟

板块 0 - 3 - 概率论(数学前导课)

欢迎点赞,收藏~更多量化课程持续更新ing

在板块0 - 3中,您将学习概率论:概率分布函数、累积分布、期望代数、关键的离散和连续分布,包括正态分布、中心极限定理。

在板块 0 - 3 学习结束时,您将能够

Probability:

  • Probability Distribution Function
  • Cumulative Distribution
  • Expectation Algebra
  • Key Discrete and Continuous Distributions Including the Normal Distribution
  • Central Limit Theorem

1. 概率分布函数

image.png

image.png

image.png

2. 累积分布

image.png

image.png

image.png

image.png

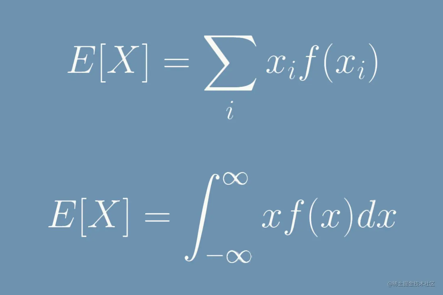
3. 期望代数

image.png

image.png

image.png

4. 关键的离散和连续分布,包括正态分布

image.png

image.png

image.png

image.png

5. 中心极限定理

image.png

image.png

image.png

image.png