图像处理之对比度、亮度值调整

434 阅读4分钟

开启掘金成长之旅!这是我参与「掘金日新计划 · 12 月更文挑战」的第8天

1 概述

本节我们将学习如何用OpenCV进行图像对比度和亮度值的动态调整。

2 理论依据

首先了解一下算子的概念。一般的图像处理算子都是一个函数,它接受一个或多个输入图像,并产生输出图像。下面是算子的一般形式。

1.png

本节所讲解的图像亮度和对比度的调整操作,其实属于图像处理变换中比较简单的一种——点操作(point operators)。点操作有一个特点:仅仅根据输入像素值(有时可加上某些全局信息或参数),来计算相应的输出像素值。这类算子包括亮度(brightness)和对比度(contrast)调整、颜色校正(colorcorrection)和变换 (transformations)。

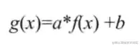
两种最常用的点操作(或者说点算子)是乘上一个常数(对应对比度的调节)以及加上一个常数(对应亮度值的调节)。公式如下:

2.PNG

看到这个式子,我们关于图像亮度和对比度调整的策略就比较好理解了。其中: - 参数f(x)表示源图像像素。 - 参数g(x)表示输出图像像素。 - 参数a(需要满足a>0)被称为增益(gain),常常被用来控制图像的对比度。 - 参数b通常被称为偏置(bias),常常被用来控制图像的亮度。而更近一步,我们这样改写这个式子:

3.PNG

其中,i和j表示像素位于第i行和第j列,这个式子可以用来作为我们在OpenCV中控制图像的亮度和对比度的理论公式。

3 访问图片中的像素

访问图片中的像素有很多种方式,在前面节“访问图像中的像素”中已有过比较系统的讲解。

而为了执行如下运算:

4.PNG

我们需要访问图像的每一个像素。因为是对GBR图像进行运算,每个像素有三个值(G、B、R),所以我们必须分别访问它们(中的图像存储模式为 GBR)。以下是访问像素的代码片段,使用了三个for循环。

	// 三个for循环,执行运算 g_dstImage(i,j) = a*g_srcImage(i,j) + b
	for( int y = 0; y < g_srcImage.rows; y++ )
	{
		for( int x = 0; x < g_srcImage.cols; x++ )
		{
			for( int c = 0; c < 3; c++ )
			{
				g_dstImage.at<Vec3b>(y,x)[c] = saturate_cast<uchar>( (g_nContrastValue*0.01)*( g_srcImage.at<Vec3b>(y,x)[c] ) + g_nBrightValue );
			}
		}
	}

让我们分三个方面进行讲解。

  • 为了访问图像的每一个像素,使用这样的语法:image.at<Vec3b>(y,x)[c]。

其中,y是像素所在的行,x是像素所在的列,c是R、G、B(对应0、1、2)其中之一。

  • 因为运算结果可能会超出像素取值范围(溢出),还可能是非整数(如果是浮点数的话),所以要用saturate_cast对结果进行转换,以确保它为有效值。
  • 这里的a也就是对比度,一般为了观察的效果,它的取值为0.0到3.0的浮点值,但是轨迹条一般取值都会取整数,因此在这里我们可以将其代表对比度值的nContrastValue参数设为0到300之间的整型,在最后的式子中乘以一个0.01,这样就完成了轨迹条中300个不同取值的变化。这就是为什么在式子中,会有 saturate_cast<uchar (g_nContrastValue0.01)(image.at< Vec3b>(y,x)[c])+g_nE[c])+g_nBrightValue)中的g_nContrastValue*0.01。

3 示例程序:图像对比度、亮度值调整

本小节依然是一个详细注释的配套示例程序,把本节前文介绍的知识点以代码为载体,展现给大家。 此示例程序用两个轨迹条分别控制对比度和亮度值,详细注释的示例程序代码如下。

//-----------------------------------【头文件包含部分】---------------------------------------
//	描述:包含程序所依赖的头文件
//---------------------------------------------------------------------------------------------- 
#include <opencv2/core/core.hpp>
#include <opencv2/highgui/highgui.hpp>
#include "opencv2/imgproc/imgproc.hpp"
#include <iostream>

//-----------------------------------【命名空间声明部分】---------------------------------------
//	描述:包含程序所使用的命名空间
//-----------------------------------------------------------------------------------------------   
using namespace std;
using namespace cv;


//-----------------------------------【全局函数声明部分】--------------------------------------
//	描述:全局函数声明
//-----------------------------------------------------------------------------------------------
static void ContrastAndBright(int, void *);
void   ShowHelpText();

//-----------------------------------【全局变量声明部分】--------------------------------------
//	描述:全局变量声明
//-----------------------------------------------------------------------------------------------
int g_nContrastValue; //对比度值
int g_nBrightValue;  //亮度值
Mat g_srcImage,g_dstImage;
//-----------------------------------【main( )函数】--------------------------------------------
//	描述:控制台应用程序的入口函数,我们的程序从这里开始
//-----------------------------------------------------------------------------------------------
int main(   )
{
	//改变控制台前景色和背景色
	system("color 2F");  

	ShowHelpText();
	// 读入用户提供的图像
	g_srcImage = imread( "1.jpg");
	if( !g_srcImage.data ) { printf("Oh,no,读取g_srcImage图片错误~! \n"); return false; }
	g_dstImage = Mat::zeros( g_srcImage.size(), g_srcImage.type() );

	//设定对比度和亮度的初值
	g_nContrastValue=80;
	g_nBrightValue=80;

	//创建窗口
	namedWindow("【效果图窗口】", 1);

	//创建轨迹条
	createTrackbar("对比度:", "【效果图窗口】",&g_nContrastValue, 300,ContrastAndBright );
	createTrackbar("亮   度:", "【效果图窗口】",&g_nBrightValue, 200,ContrastAndBright );

	//调用回调函数
	ContrastAndBright(g_nContrastValue,0);
	ContrastAndBright(g_nBrightValue,0);

	//输出一些帮助信息
	cout<<endl<<"\t运行成功,请调整滚动条观察图像效果\n\n"
		<<"\t按下“q”键时,程序退出\n";

	//按下“q”键时,程序退出
	while(char(waitKey(1)) != 'q') {}
	return 0;
}




//-----------------------------------【ShowHelpText( )函数】----------------------------------
//		 描述:输出一些帮助信息
//----------------------------------------------------------------------------------------------
void ShowHelpText()
{
	//输出欢迎信息和OpenCV版本
	printf("\n\n\t\t\t非常感谢购买《OpenCV3编程入门》一书!\n");
	printf("\n\n\t\t\t此为本书OpenCV2版的第27个配套示例程序\n");
	printf("\n\n\t\t\t   当前使用的OpenCV版本为:" CV_VERSION );
	printf("\n\n  ----------------------------------------------------------------------------\n");
}


//-----------------------------【ContrastAndBright( )函数】------------------------------------
//	描述:改变图像对比度和亮度值的回调函数
//-----------------------------------------------------------------------------------------------
static void ContrastAndBright(int, void *)
{

	// 创建窗口
	namedWindow("【原始图窗口】", 1);

	// 三个for循环,执行运算 g_dstImage(i,j) = a*g_srcImage(i,j) + b
	for( int y = 0; y < g_srcImage.rows; y++ )
	{
		for( int x = 0; x < g_srcImage.cols; x++ )
		{
			for( int c = 0; c < 3; c++ )
			{
				g_dstImage.at<Vec3b>(y,x)[c] = saturate_cast<uchar>( (g_nContrastValue*0.01)*( g_srcImage.at<Vec3b>(y,x)[c] ) + g_nBrightValue );
			}
		}
	}

	// 显示图像
	imshow("【原始图窗口】", g_srcImage);
	imshow("【效果图窗口】", g_dstImage);
}

最后看一下程序的运行截图。运行这个程序会得到两个图片显示窗口:第一个为原图,第二个为效果窗口。在效果窗口中可以调节两个轨迹条,来改变当前图片的对比图和亮度。

原图

5.PNG

效果图

6.PNG