LeetCode Everyday - 通知所有员工所需的时间

65 阅读2分钟

开启掘金成长之旅!这是我参与「掘金日新计划 · 12 月更文挑战」的第12天,点击查看活动详情

通知所有员工所需的时间

公司里有 n 名员工,每个员工的 ID 都是独一无二的,编号从 0 到 n - 1。公司的总负责人通过 headID 进行标识。

在 manager 数组中,每个员工都有一个直属负责人,其中 manager[i] 是第 i 名员工的直属负责人。对于总负责人,manager[headID] = -1。题目保证从属关系可以用树结构显示。

公司总负责人想要向公司所有员工通告一条紧急消息。他将会首先通知他的直属下属们,然后由这些下属通知他们的下属,直到所有的员工都得知这条紧急消息。

第 i 名员工需要 informTime[i] 分钟来通知它的所有直属下属(也就是说在 informTime[i] 分钟后,他的所有直属下属都可以开始传播这一消息)。

返回通知所有员工这一紧急消息所需要的 分钟数 。

示例1:

输入:n = 1, headID = 0, manager = [-1], informTime = [0]
输出:0
解释:公司总负责人是该公司的唯一一名员工。

示例2:

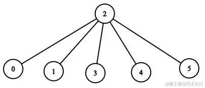
image.png

输入:n = 6, headID = 2, manager = [2,2,-1,2,2,2], informTime = [0,0,1,0,0,0]
输出:1
解释:id = 2 的员工是公司的总负责人,也是其他所有员工的直属负责人,他需要 1 分钟来通知所有员工。
上图显示了公司员工的树结构。

提示:

  • 1 <= n <= 10^5
  • 0 <= headID < n
  • manager.length == n
  • 0 <= manager[i] < n
  • manager[headID] == -1
  • informTime.length == n
  • 0 <= informTime[i] <= 1000
  • 如果员工 i 没有下属,informTime[i] == 0 。
  • 题目 保证 所有员工都可以收到通知。

解题思路:

  1. 首先,这只是一道简单的搜索题,思路应该都没什么问题;
  2. 如果超时,首先考虑是否进行了过多的重复搜索,如果是,该如何优化;
  3. 考虑题目中只给出了节点的父辈,应自底向上搜索,避免重建数据结构;
  4. 自底向上方法如下:
    • 对于编号为i的员工,探索其上级获取消息所需时间ft;
    • 若ft存在,则得到当前员工获取消息的时间 ot = ft + informTime[manager[i]];
    • 若ft不存在,则继续获取其上级时间,重复a,b两步;
  5. 遍历得到最长耗时;

我的答案:

/**
 * @param {number} n
 * @param {number} headID
 * @param {number[]} manager
 * @param {number[]} informTime
 * @return {number}
 */
var numOfMinutes = function(n, headID, manager, informTime) {
    if (n === 1) return 0; // 特解
    let cost = new Array(n);
    const getValue = (o) => {
        if (o === headID) return 0; // 设置递归出口
        if (cost[o]) return cost[o]; // 避免重复搜索
        const value = getValue(manager[o]) + informTime[manager[o]];
        cost[o] = value; // 保存这次搜索的值
        return value;
    }
    let max = 0;
    for (let i=0; i<n; i++) {
        if (!cost[i]) {
            cost[i] = getValue(i); // 若当前员工时间未知,则计算
        }
        max = cost[i] > max ? cost[i] : max; // 取最大值
    }
    return max;
};

最后

如果有更好的解法或者思路, 欢迎在评论区和我交流~ ღ( ´・ᴗ・` )