空间

338 阅读5分钟

空间

欧几里得空间是向量空间中的一种。

image-20221201102538296 image-20221201104159165

欧几里得空间是点集:是起点为原点的向量集合

image-20221201103346009

扩展性质(满足这10条性质,就可以称之为向量):

image-20221201103552012

向量空间:一个集合,集合中的元素可以定义两种运算: 加法和数量乘法,使得满足十条性质。

欧几里得空间R”是向量空间 我们通常说起向量,就是指欧几里得空间中的元素 为了区别,通常把非欧几里得空间的向量空间,称为广义向量空间。

广义向量空间例子:

例如所有的2*2方阵可以构成一个向量空间(满足10条性质)。或者推广来讲,所有的n阶方阵都可以构成一个向量空间。

例如所有的多项式构成一个向量空间。

例如对角矩阵也满足相关的性质。

这些都不重要,主要讨论的还是欧几里得向量空间。

子空间

假设V是一个向量空间,如果S是V的子集,且S还是一个向量空间(对加法和数乘封闭即可) 则称S是V的一个子空间

如下,虽然S是V的子集,但是S并不是向量空间:

image-20221201110037254 image-20221201112729722

对于n维空间来说: 过原点的一个m维空间(m<n),是n维空间的一个子空间

维度

空间=>向量空间=>欧几里得空间,这里主要研究的就是欧几里得空间。

一个空间的基中,向量的个数(每个向量中数的个数),称为维度。

我们称原点本身的维度为0。

被向量u=(2,0,0); v = (-1,0,0); w =(0,0,1)生成的空间,维度是多少?

维度是2,基是2,不能生成3维空间(3维空间的子空间)

**注意:**一组n维向量的生成空间,可能是低于n维的

行空间与矩阵的行秩

Gauss-Jordan消元法的结果的每一行,是原来矩阵各行的一个线性组合。

将这组向量按照行排列成一个矩阵。 执行Gauss-Jordan消元法(化为RREF) ,非零行的个数即为其生成空间的维度,也即行生成空间的基。

对于一个矩阵行向量生成的空间,称为行空间(Row Space) 列向量生成的空间,称为列空间(Column Space)

m行n列,行空间是m维空间的子集,而列空间是n维空间的子集。

行秩:一个矩阵的行最简形式的非零行的数量(行空间的维度)。

列空间与矩阵的列秩

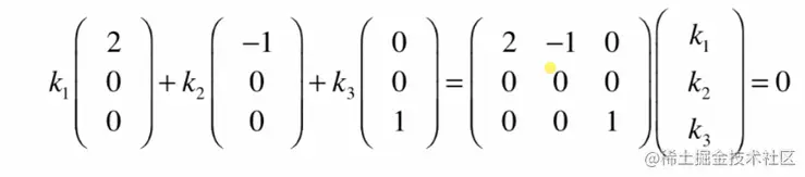
列空间的实质可以转化为求线性齐次方程组,即看k1,k2,k3是否有唯一解:

image-20221201160232767

系数矩阵化简后,可以观察非零行的个数,亦即非自由变量的个数(主元列的个数):

行最简形式含主元的列的个数为维度;

主元列(非自由列)的个数,为列秩。

主元列所对应的原矩阵的列(在进行行变换时,列已经改变了),是列空间的一组基。

而行最简型得到的非零行即为一组基(因为是由行操作得来的)。

m行n列,列空间是n维空间的子集(子空间)。

矩阵的秩(Rank)

矩阵的行秩=矩阵的列秩=矩阵的秩

行最简形式通过列初等变换可以化成标准型:

image-20221201162018779

秩r=n(维数),我们称之为满秩

零空间

一个齐次线性方程组的所有解,形成一个向量空间(解空间)。

一个齐次线性方程组的所有解,形成一个向量空间。

这个空间由非主元列线性表示,故其秩为方程组中自由变量的个数。

称这个空间,为零空间(Null Space) A的零空间,就是Ax=0中,所有x组成的空间。

如果系数矩阵为m*n的矩阵,解为n维向量 如果解形成向量空间,则该向量空间是n维空间的一个子空间 只需证明对向量加法和数量乘法封闭

关于零空间的理解:

理解一:

Ax = 0 这个方程组中,所有的x组成的空间

理解二:

image-20221201174814319

理解三:

image-20221201174857848

这意味着:这个集合中所有的向量,和A的行空间中所有的向量垂直(正交)=> 这个集合和A的行空间正交

也就意味着:两个空间没有交集

空间正交:

image-20221201180300530

秩-零化度定理:

image-20221201194129255

对于一个m*n的矩阵,将其化为行最简形式 主元列数为列空间的维度自由列数为零空间的维度 列空间的维度+零空间的维度 = n,秩(rank)+零化度(Nullity) = n

对比

对于一个m行n列的矩阵

列空间Col(A),维度为r零空间Null(A),维度为n-r
Ax = v(x任取,这个式子的意思是列空间由列向量线性组合表示)
列空间是m维空间的子空间列空间的维度,为行最简形式中主元列数
主元列的对应原矩阵的列,是列空间的一组基。
Av = 0
零空间是n维空间的子空间:
零空间的维度,为行最简形式的自由列数
求零空间的基需要求解Av=0并变形化为线性无关向量。

何时零空间维度为0? 列空间的维度为n,亦即对方阵来讲,满秩的情况。

与前面所学诸多概念的联系:

image-20221201195254192

四大子空间

列空间 Col(A)维度为r

行空间 Col(ATA^T)维度为r

零空间,与行空间正交 Null(A)维度为n-r

左零空间,与列空间正交

ATA^T的零空间

Null(ATA^T)维度为m-r

称之为左零空间的原因:

AT=0(ATx)T=0xTA=0A^T = 0 \Rightarrow (A^Tx)^T = 0 \Rightarrow x^TA = 0

这样子就成了左乘A