助你成大佬系列之javascript从暴力递归到动态规划之路——认识一些经典的递归过程(二)

101 阅读4分钟

练习

练习一: Fibancci数列

查找斐波纳契数列中第 N 个数。(N 从 0 开始),所谓的斐波纳契数列是必须满足下面两个条件:

  1. 前2个数是 0 和 1 。
  2. 第 i 个数是第 i-1 个数和第i-2 个数的和。

【示例】斐波纳契数列的前10个数字是: 0, 1, 1, 2, 3, 5, 8, 13, 21, 34

根据上面的描述,我们先写一个未优化的最简单版本,代码如下:

function Fibancci(n: number): number {
    if (n < 2) {
        return n
    }
    return Fibancci(n - 1) + Fibancci(n - 2)
}

console.log(Fibancci(20));
//output:
//6765

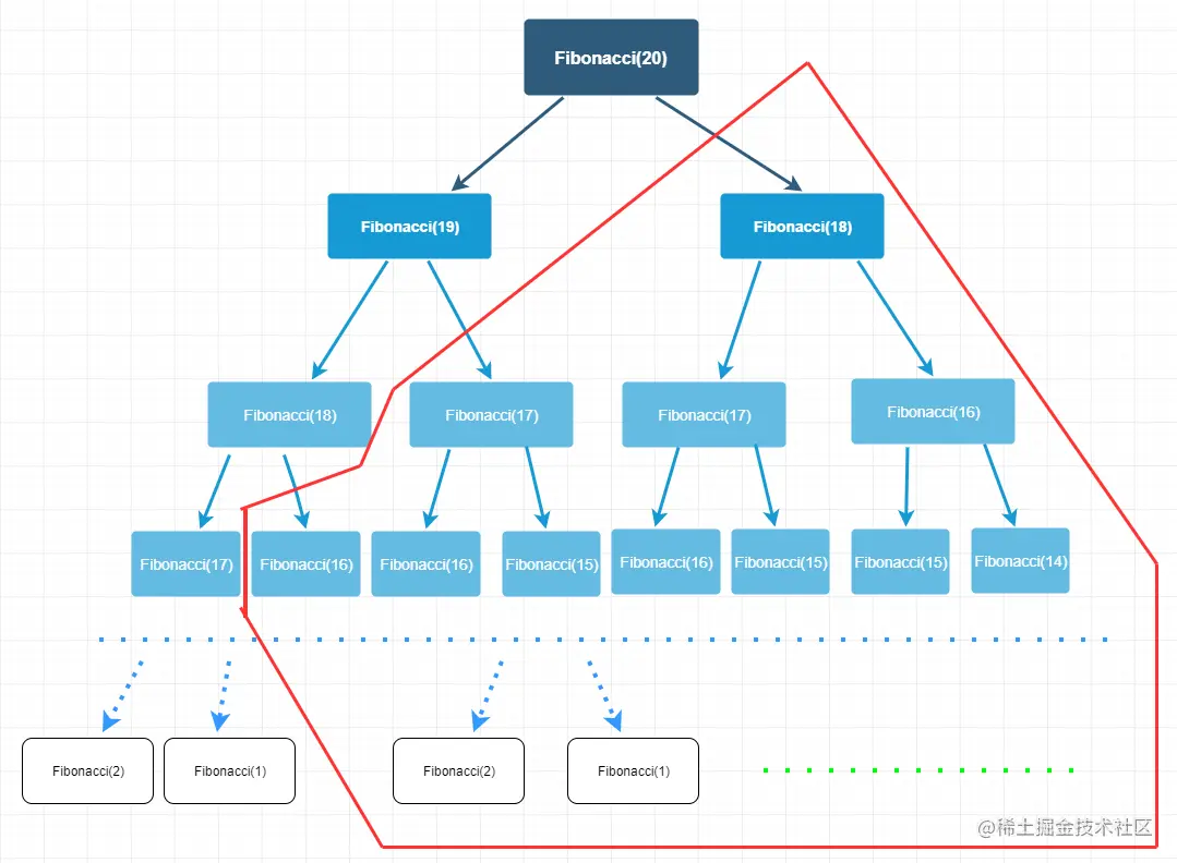
把这种暴力递归的解法画一张图出来:

Fibancci1.png

是不是有重复的计算?像这样的二叉树的节点总数是指数级的,所以所有子问题的个数为 (2^n) 噢,这么做会导致时间复杂度爆炸,因为时间复杂度也变成了 O(2^n)

缓存剪枝策略

function Fibancci(n: number,cache:Map<number,number>): number {
    if(cache.has(n)){
        return cache.get(n)
    }

    let ans = 0
    if (n < 2) {
        ans = n
    }else{
        ans = Fibancci(n - 1,cache) + Fibancci(n - 2,cache)
    }

    cache.set(n,ans)
    return ans
}


function main(num:number){
    const cache = new Map();
    return Fibancci(num,cache)
}

console.log(main(20));
//output:
//6765

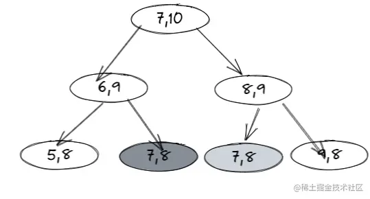
这种带缓存的递归解法是针对暴力递归的解法做的优化,优化的操作其实就是对那颗指数级的二叉树进行剪枝,剪枝会减少重复的树节点(减少了重复的计算)。

Fibancci2.png

红色实线部分圈着的是被剪枝的节点,是不是剪掉了所有的重复树节点?没错是的,所有重复的子问题都被干掉了,时间复杂度骤减。 它时间复杂度也从O(n^2)降低到了O(n)

练习二:机器人必须走 K 步,最终能来到P位置的方法有多少种

假设有排成一行的N个位置,记为1N,N一定大于或等于2开始时机器人在其中的start位置上(M 一定是 1N 中的一个)
如果机器人来到1位置,那么下一步只能往右来到2位置;
如果机器人来到N位置,那么下一步只能往左来到 N-1 位置;
如果机器人来到中间位置,那么下一步可以往左走或者往右走;
规定机器人必须走 K 步,最终能来到aim位置(aim也是1~N中的一个)的方法有多少种 ?
给定四个参数 N、start、K、aim,返回方法数。

机器人k步1.png

/**
 * @description: 从curPos位置出发,还剩restStep要走,返回可以走到aim的方法数
 * @param {number} range 机器人可以走的范围 1——range(固定参数)
 * @param {number} curPos 当前所在的位置
 * @param {number} restStep 还剩restStep步可以走
 * @param {number} aim 终点位置 固定参数
 * @return {*} 方法数
 */
function robotWalk(range:number,curPos:number,restStep:number,aim:number): number {
    if(restStep==0){
        //剩余步数为0的时候如果当前位置是重点位置返回一种方法数
        return curPos==aim ?1:0;
    }
    let ways = 0;
    if(curPos==1){
        //在1位置只能向右走
        ways =  robotWalk(range,curPos+1,restStep-1,aim)
    }else if(curPos==range){
        //在最后位置只能往左走
        ways =  robotWalk(range,curPos-1,restStep-1,aim)
    }else{
        //其余位置可以左右两个方向走
        //方法1 向右走
        let p1 =  robotWalk(range,curPos+1,restStep-1,aim)
        //方法2 向左走
        let p2 =  robotWalk(range,curPos-1,restStep-1,aim)
        ways = p1+p2
    }
    return ways
}


function main(N:number,start:number,K:number,aim:number){
    return robotWalk(N,start,K,aim)
}

console.log(main(7,2,4,4));
//output:
//4

以上方式是纯暴力,上面方式的可变参数就两个,当前所在的位置(curPos)和剩余步数(restStep),假设当前位置在7,剩余步数为10,我们根据下图会发现后续有重复的过程,而且会有很多,所以我们可以用缓存剪枝策略来进行优化,后续也称记忆化搜索

机器人k步2.png

记忆化搜索方式

/**
 * @description: 从curPos位置出发,还剩restStep要走,返回可以走到aim的方法数
 * @param {number} range 机器人可以走的范围 1——range(固定参数)
 * @param {number} curPos 当前所在的位置
 * @param {number} restStep 还剩restStep步可以走
 * @param {number} aim 终点位置 固定参数
 * @param Map<string,number> cache 缓存已经算过方法数的表格
 * @return {*} 方法数
 */
function robotWalk(range:number,curPos:number,restStep:number,aim:number,cache:Map<string,number>): number {
   const cacheKey = `${curPos}-${restStep}`
    //如果缓存中存在,直接获取该值
   if(cache.has(cacheKey)){
        return cache.get(cacheKey)
    }
   
    if(restStep==0){
        //剩余步数为0的时候如果当前位置是重点位置返回一种方法数
        return curPos==aim ?1:0;
    }
    let ways = 0;
    if(curPos==1){
        //在1位置只能向右走
        ways =  robotWalk(range,curPos+1,restStep-1,aim,cache)
    }else if(curPos==range){
        //在最后位置只能往左走
        ways =  robotWalk(range,curPos-1,restStep-1,aim,cache)
    }else{
        //其余位置可以左右两个方向走
        //方法1 向右走
        let p1 =  robotWalk(range,curPos+1,restStep-1,aim,cache)
        //方法2 向左走
        let p2 =  robotWalk(range,curPos-1,restStep-1,aim,cache)
        ways = p1+p2
    }

    //设置改制到缓存表中
    cache.set(cacheKey,ways)
    return ways
}


function main(N:number,start:number,K:number,aim:number){
    let cache = new Map()
    return robotWalk(N,start,K,aim,cache)
}

console.log(main(7,2,4,4));

//output:
//4

动态规划方式

通过纯暴力的方式后,我们可知可变参数就两个,当前所在的位置(curPos)和剩余步数(restStep),

curPos的变化范围是1-N,restStep的变化范围是0-K,根据两个可变参数我们绘制一个表格 机器人k步动态规划1.png

根据baseCase我们可以知道当restStep为0的时候,只有curPos==aim时方法数才是1 机器人k步动态规划2.png

然后让我们分析普遍位置依赖,当curPos==1的时候,他的依赖如下图 机器人k步动态规划3.png

当curPos==N的时候,他的依赖如下图 机器人k步动态规划4.png

其余位置的依赖如下 机器人k步动态规划5.png

而我们最终要获取的位置是(4,2)这个位置 机器人k步动态规划7.png

根据依赖关系我们可以把第二行的值求出来 机器人k步动态规划8.png

从而我们可以求出所有的值

机器人k步动态规划6.png

最终得到的结果是4,详细代码如下:

function main(N: number, start: number, K: number, aim: number) {
    //创建一个(K+1)*(N+1)的二位数组,并且每个位置的值都是0
    let dp = Array.from(new Array(K + 1), () => new Array(N + 1).fill(0))
    //根据baseCase可得
    dp[0][aim] = 1
    for (let i = 1; i <= K; i++) {
        for (let j = 1; j <= N; j++) {
            if (j == 1) {
                dp[i][j] = dp[i - 1][j + 1]//依赖右上角位置
            } else if (j == N) {
                dp[i][j] = dp[i - 1][j - 1] //依赖左上角位置
            } else {
                dp[i][j] = dp[i - 1][j - 1] + dp[i - 1][j + 1]//依赖右上角+左上角
            }
        }
    }
    return dp[K][start]
}

console.log(main(7, 2, 4, 4));
//output:
//4

练习三: A,B玩家从左右两边拿纸牌,返回最后获胜者的分数

纸牌最大分数1.png 给定一个整型数组arr,代表数值不同的纸牌排成一条线,玩家A和玩家B依次拿走每张纸牌,规定玩家A先拿,玩家B后拿,但是每个玩家每次只能拿走最左或最右的纸牌,玩家A和玩家B都绝顶聪明。请返回最后获胜者的分数

【示例1】 arr=[1,2,100,4]
开始时,玩家A只能拿走1或4。如果开始时玩家A拿走1,则排列变为[2,100,4],接下来玩家B可以拿走2或4,然后继续轮到玩家A...
如果开始时玩家A拿走4,则排列变为[1,2,100],接下来玩家B可以拿走1或100,然后继续轮到玩家A...
玩家A作为绝顶聪明的人不会先拿4,因为拿4之后,玩家B将拿走100。所以玩家A会先拿1,让排列变为[2,100,4],接下来玩家B不管怎么选,100都会被玩家A拿走。玩家A会获胜,分数为101。所以返回101。

【示例2】 arr=[1,100,2]
开始时,玩家A不管拿1还是2,玩家B作为绝顶聪明的人,都会把100拿走。玩家B会获胜,分数为100。所以返回100。

暴力递归分析过程:假设我先拿牌,则我可以拿左侧的牌或者拿右侧的牌,这时我会有两种方案,因为我绝顶聪明,我肯定获取两种方案中最大的那个,然后轮到对手拿牌,对手也可以选择拿左侧或者右侧的牌,不管对手拿哪个牌,只要牌数大于1,则后续都会有我拿牌得到的分数,对手也决定聪明,肯定给我最小的值,分析代码如下:


/**
 * @description: 我的拿牌时刻,从[L...R]范围上获取的最好成绩
 * @param {number} pokers 所有的牌 (固定参数)
 * @param {number} L 左侧可以抽的位置
 * @param {number} R 右侧可以抽的位置
 * @return {*} 我获取的最好成绩
 */
function meMoment(pokers: number[], L: number, R: number) {
    //如果只剩一张牌,由于是我拿牌时刻,所以直接拿走
    if (L == R) {
        return pokers[L]
    }
    /**如果剩余牌数大于1张*/
    //我拿左侧的牌
    let p1 = pokers[L] + opponentMoment(pokers, L + 1, R)
    //我拿右侧的牌
    let p2 = pokers[R] + opponentMoment(pokers, L, R - 1)
    return Math.max(p1, p2)
}

/**
 * @description: 对手拿牌时刻,在[L...R]对手让我获取的成绩,对手绝顶聪明,让我获取对他有利的
 * @param {number} pokers 所有的牌 (固定参数)
 * @param {number} L 左侧可以抽的位置
 * @param {number} R 右侧可以抽的位置
 * @return {*} 对手拿牌后,我获取的成绩
 */
function opponentMoment(pokers: number[], L: number, R: number): number {
    //如果只剩一张牌,由于是对手拿牌时刻,我得到的成绩是0
    if (L == R) return 0;
    //对手拿左侧的牌,后续我获取的最好成绩
    let p1 = meMoment(pokers, L + 1, R)
    //对手拿右侧的牌,后续我获取的最好成绩
    let p2 = meMoment(pokers, L, R - 1)
    return Math.min(p1, p2)
}


function main(pokers: number[]) {
    //我先拿牌
    let p1 = meMoment(pokers, 0, pokers.length - 1)
    //对手先拿牌
    let p2 = opponentMoment(pokers, 0, pokers.length - 1)

    return Math.max(p1, p2)
}

console.log(main([1,5,233,7]));

//output:
//234

记忆化搜索方式

我们画图分析下具体过程

纸牌最大分数2.png

会发现5,233会有重复的部分,这时候我们就可以用记忆化搜索方式进行剪枝来提升速度了,代码如下


/**
 * @description: 我的拿牌时刻,从[L...R]范围上获取的最好成绩
 * @param {number} pokers 所有的牌 (固定参数)
 * @param {number} L 左侧可以抽的位置
 * @param {number} R 右侧可以抽的位置
 * @param {number} meCache 针对于我的数据的缓存
 * @param {number} opponentCache 针对于对手的数据的缓存
 * @return {*} 我获取的最好成绩
 */
function meMoment(pokers: number[], L: number, R: number,meCache:Map<string,number>,opponentCache:Map<string,number>) {
    const cacheKey = `${L}-${R}`
    if(meCache.has(cacheKey)){
        return meCache.get(cacheKey)
    }
    //如果只剩一张牌,由于是我拿牌时刻,所以直接拿走
    if (L == R) {
        return pokers[L]
    }
    /**如果剩余牌数大于1张*/
    //我拿左侧的牌
    let p1 = pokers[L] + opponentMoment(pokers, L + 1, R,meCache,opponentCache)
    //我拿右侧的牌
    let p2 = pokers[R] + opponentMoment(pokers, L, R - 1,meCache,opponentCache)
    let res = Math.max(p1, p2)
    meCache.set(cacheKey,res)
    return res
}

/**
 * @description: 对手拿牌时刻,在[L...R]对手让我获取的成绩,对手绝顶聪明,让我获取对他有利的
 * @param {number} pokers 所有的牌 (固定参数)
 * @param {number} L 左侧可以抽的位置
 * @param {number} R 右侧可以抽的位置
 * @param {number} meCache 针对于我的数据的缓存
 * @param {number} opponentCache 针对于对手的数据的缓存
 * @return {*} 对手拿牌后,我获取的成绩
 */
function opponentMoment(pokers: number[], L: number, R: number,meCache:Map<string,number>,opponentCache:Map<string,number>): number {
    const cacheKey = `${L}-${R}`
    if(opponentCache.has(cacheKey)){
        return opponentCache.get(cacheKey)
    }
    //如果只剩一张牌,由于是对手拿牌时刻,我得到的成绩是0
    if (L == R) return 0;
    //对手拿左侧的牌,后续我获取的最好成绩
    let p1 = meMoment(pokers, L + 1, R,meCache,opponentCache)
    //对手拿右侧的牌,后续我获取的最好成绩
    let p2 = meMoment(pokers, L, R - 1,meCache,opponentCache)
    let res = Math.min(p1, p2)
    opponentCache.set(cacheKey,res)
    return res
}


function main(pokers: number[]) {
    let meCache = new Map()
    let meCache1 = new Map()
    let opponentCache = new Map()
    let opponentCache1= new Map()
    //我先拿牌
    let p1 = meMoment(pokers, 0, pokers.length - 1,meCache,opponentCache)
    //对手先拿牌
    let p2 = opponentMoment(pokers, 0, pokers.length - 1,meCache1,opponentCache1)

    return Math.max(p1, p2)
}

console.log(main([1,5,233,7]));

//output:
//234

动态规划方式

通过暴力递归的方式,我们可知一共就两个可变参数L,R L的变化范围是0-(len-1),R的变化范围也是0-(len-1),所以我们构建动态规划表如下,由于R>L,所以画x的位置都是无效位置 纸牌最大分数3.png

根据baseCase我们可以得到L==R上的两个动态规划表的值如下: 纸牌最大分数4.png

两张表的0,3位置的最大值即是我们要求得的位置 纸牌最大分数5.png

接下来我们分析普遍位置依赖,依赖关系如下所示 纸牌最大分数6.png 纸牌最大分数7.png

根据依赖关系,我们求得第一个斜角的值 纸牌最大分数8.png

根据依赖关系,我们求得所有的位置关系,最终结果为12 纸牌最大分数9.png

分析代码如下:


function main(pokers: number[]) {
    let len = pokers.length;
    //构建len*len的动态规划表格
    let meDp = Array.from(new Array(len),()=>new Array(len))
    let opponentDp = Array.from(new Array(len),()=>new Array(len))

    //根据baseCase 设定基础条件
    for (let i = 0; i < len; i++) {
        meDp[i][i] = pokers[i]
        opponentDp[i][i] = 0
    }

    //根据普遍依赖关系斜角求每个位置的值
    for (let start = 1; start < len; start++) {
       let L = 0;
       let R = start;
       while(R<len){
        meDp[L][R] =Math.max(pokers[L]+opponentDp[L+1][R],pokers[R]+opponentDp[L][R-1]) 
        opponentDp[L][R] =Math.min(meDp[L+1][R],meDp[L][R-1]) 
        L++;
        R++
       }
    }

    return Math.max(meDp[0][len-1],opponentDp[0][len-1])
}

console.log(main([1,5,233,7]));

//output:
//234