LeetCode 142. Linked List Cycle II

114 阅读1分钟

开启掘金成长之旅!这是我参与「掘金日新计划 · 12 月更文挑战」的第15天,点击查看活动详情

LeetCode 142. Linked List Cycle II

给定一个链表的头节点  head ,返回链表开始入环的第一个节点。 如果链表无环,则返回 null

如果链表中有某个节点,可以通过连续跟踪 next 指针再次到达,则链表中存在环。 为了表示给定链表中的环,评测系统内部使用整数 pos 来表示链表尾连接到链表中的位置(索引从 0 开始)。如果 pos 是 -1,则在该链表中没有环。注意:pos 不作为参数进行传递,仅仅是为了标识链表的实际情况。

不允许修改 链表。

 

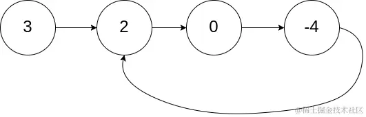
示例 1:

输入: head = [3,2,0,-4], pos = 1
输出: 返回索引为 1 的链表节点
解释: 链表中有一个环,其尾部连接到第二个节点。

示例 2:

输入: head = [1,2], pos = 0
输出: 返回索引为 0 的链表节点
解释: 链表中有一个环,其尾部连接到第一个节点。

示例 3:

输入: head = [1], pos = -1
输出: 返回 null
解释: 链表中没有环。

 

提示:

  • 链表中节点的数目范围在范围 [0, 104] 内
  • -105 <= Node.val <= 105
  • pos 的值为 -1 或者链表中的一个有效索引

 

进阶: 你是否可以使用 O(1) 空间解决此题?

算法

(链表,快慢指针扫描) O(n) 本题的做法比较巧妙。 用两个指针 first,second 分别从起点开始走,first 每次走一步,second 每次走两步。 如果过程中 second 走到null,则说明不存在环。否则当 first 和 second 相遇后,让 first 返回起点,second 待在原地不动,然后两个指针每次分别走一步,当相遇时,相遇点就是环的入口。

证明:如上图所示,a 是起点,b 是环的入口,c 是两个指针的第一次相遇点,ab 之间的距离是 x,bcbc 之间的距离是 y。 则当 first 走到 b 时,由于 second 比 first 多走一倍的路,所以 second 已经从 b 开始在环上走了 x 步,可能多余1圈,距离 b 还差 y 步(这是因为第一次相遇点在 b 之后 y 步,我们让 first 退回 b 点,则 second 会退 2y 步,也就是距离 b 点还差 y 步);所以 second 从 b 点走 x+y 步即可回到 b 点,所以 second 从 c 点开始走,走 x 步即可恰好走到 b 点,同时让 first 从头开始走,走 x 步也恰好可以走到 b 点。所以第二次相遇点就是 b 点。

用公式来说明:a,b,c,x,y 的含义同上,我们用 z 表示从 c 点顺时针走到 b 的距离。则第一次相遇时 second 所走的距离是 x+(y+z)∗n+y, nn 表示圈数,同时 second 走过的距离是 first 的两倍,也就是 2(x+y),所以我们有 x+(y+z)∗n+y=2(x+y),所以 x=(n−1)×(y+z)+zx=(n−1)×(y+z)+z。那么我们让 second 从 c 点开始走,走 x 步,会恰好走到 b 点;让 first 从 a 点开始走,走 x 步,也会走到 b 点。

时间复杂度分析:first 总共走了 2x+y 步,second 总共走了 2x+2y+x 步,所以两个指针总共走了 5x+3y 步。由于当第一次 first 走到 b 点时,second 最多追一圈即可追上 first,所以 y 小于环的长度,所以 x+y 小于等于链表总长度。所以总时间复杂度是 O(n)。

ac 代码

/**
 * Definition for singly-linked list.
 * struct ListNode {
 *     int val;
 *     ListNode *next;
 *     ListNode(int x) : val(x), next(NULL) {}
 * };
 */
class Solution {
public:
    ListNode *detectCycle(ListNode *head) {
        if (!head || !head->next) return 0;
        ListNode *first = head, *second = head;

        while (first && second)
        {
            first = first->next;
            second = second->next;
            if (second) second = second->next;
            else return 0;

            if (first == second)
            {
                first = head;
                while (first != second)
                {
                    first = first->next;
                    second = second->next;
                }
                return first;
            }
        }

        return 0;
    }
};