矩阵

207 阅读3分钟

矩阵

矩阵可以理解为向量的函数:

image-20221126104006851 image-20221126104242943

其他视角理解矩阵的乘法:

image-20221126104626909

左逆矩阵和右逆矩阵(非方阵会存在这种情况):

image-20221126125847843

使用numpy求逆矩阵:

# 逆矩阵
invA = np.linalg.inv(A)
print(invA)
print(invA.dot(A))
print(A.dot(invA))
image-20221126131906644

矩阵和它的逆同型

用矩阵表示空间

使用列视角看矩阵相乘:

image-20221126134248592 image-20221126134846077

列视角矩阵相乘,几何的含义:

image-20221126134925451

推广开来(对比向量空间来学习):

image-20221126135247370 image-20221126135423065

空间中其他向量可以由图中已知的两个线性无关的向量来进行表示。

看待矩阵的视角

  1. 数据(可忽略,不是线性代数研究的重点)

image-20221126140248989
  1. 系统(线性方程组)

    image-20221126140322438
  2. 变换(向量的函数)

    image-20221126140513814

最后一个旋转变换,在同济的书上也有相关例题

  1. 空间

    image-20221126140644242

线性系统

image-20221127092807220

二维空间中是一条线,在三维空间中是一个面

高斯消元

先让主元下面的元素都为0, 再让主元上面的元素都为0

image-20221127161626932

关于方程个数>未知数个数的思考:

这种情况下未知数个数决定了矩阵的秩,系数矩阵变换成行最简矩阵的行数最多和未知数个数一致

比如二元函数,三个方程。二维空间下两个线性无关的向量可以表示任意其他向量,所以,这个方程组变换后最多可为两行

综合来讲:

image-20221127162457606

求解矩阵的逆

以如下的方式求矩阵的逆时,可以看作求解方程,这个方程不可能有无数的解,要么有唯一的逆矩阵,要么不存在逆矩阵(系数矩阵行最简型有0行):

image-20221128132722725

求出了右逆,那必然也是左逆

初等矩阵具有可逆性,即其所进行初等变换操作的逆操作

image-20221128143130105

Ax=bAx = b 亦可加入命题列表。

image-20221128143929671

矩阵的分解

矩阵的LU分解

主要针对方阵,也可以对非方阵进行分解。

image-20221128153805878

走高斯消元的前半段过程(此过程中不能交换两行的顺序),U即为消元后的上三角矩阵,L则为对原矩阵所进行的初等变换的逆操作:

注意到下三角矩阵中标注的元素并没有化为15,是因为EE以及E1E^{-1}不是一一对应的,而是相反的

EiE_i所作的变换并不会对其后的变换有所影响,可以从后往前来,但不可应用前面的既得结论

image-20221128164639479
image-20221128154917954

上三角矩阵以及下三角矩阵对应的方程比较容易解,在计算机中一般使用LU分解来实现:

image-20221128155711882

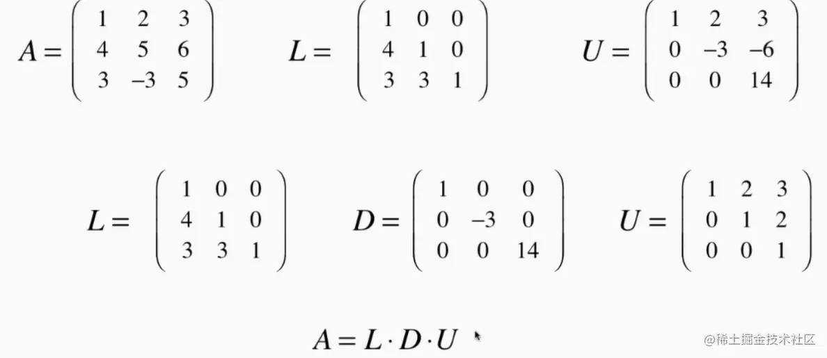
LDU分解

可以继续将U分解成单位上三角矩阵:

image-20221128171226635

PLU分解

进行到如下的第三步,就无法进行LU分解,可以将3行和2行进行交换,亦可理解为在原矩阵基础上进行交换,所以可以对交换后的矩阵进行LU分解再左乘上置换矩阵P(用以两行交换)

image-20221128173538342

从而有:

image-20221128173843585

像这种矩阵,可以使用列交换:

image-20221128191622912

列交换右乘示意图:

image-20221128191834482

相当于每一列和前面的矩阵相乘后进行排列,故而交换单位矩阵的两列相乘所得的乘积也为原矩阵的两列交换

行变换同理:

image-20221128192242331 image-20221128192334505

上面的视角是将左乘的矩阵看成一行一行的,而右乘的矩阵看成一列一列的

以列视角看待左乘:

image-20221128192953586

需要对所得列作加和操作。

在列的视角下看矩阵的乘法(与矩阵与向量的乘法有相似之处 => 可看作与多个向量相乘,得到的结果从多个向量相加变成了多个矩阵相加):

image-20221128200649756