向量

529 阅读1分钟

向量

向量(Vector)是线性代数研究的基本元素,有序

如果只是表示方向,最多三个维度就够了

更加抽象的:n维向量(无法感知)

每个属性都是一个维度:

image-20221125104432154

两个视角(点和有向线段)看似不同,但可以互相转换,一个方向,就是一个点 空间中的一个点,可以看做从原点指向这个点的一个方向

向量加法

image-20221125111323993

零向量

各个维度都为0, 0向量没有方向

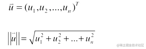
向量的长度

image-20221125133832775

一般使用 ‖x‖ 表示向量的模

image-20221125134029221

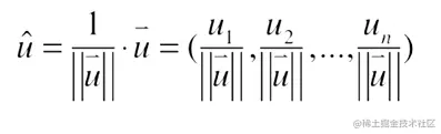
单位向量(模为1,可以理解为只表示方向):

image-20221125134105248

求模的过程又称之为规范化、归一化

标准单位向量:

image-20221125134355272

向量的点乘(内积)

image-20221125135619506 image-20221125135810336

上式可以使用余弦定理证明。

可以理解为,同方向的乘法是有意义的:

image-20221125140805509

向量点乘可以很容易获得两个向量之间的夹角:

image-20221125141843766

特别地,标准单位向量的点积为0.

根据两个向量的夹角可以判断两个向量的相似程度,典型的应用就是推荐系统.

image-20221125142253358

点乘可以用来求投影点的坐标:

image-20221125142544793