动手学深度学习-矩阵计算

115 阅读1分钟

开启掘金成长之旅!这是我参与「掘金日新计划 · 12 月更文挑战」的第8天,点击查看活动详情

对于机器学习或者是说对于深度学习来讲,矩阵计算其实是讲矩阵怎么求导数

因为你的所有的优化模型的求解都是通过求导数来进行的

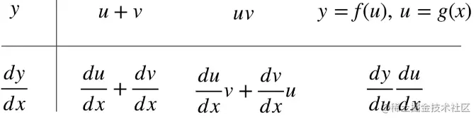
首先回忆一下高中数学啊,标量的导数。

标量导数

图片.png

图片.png

导数的意义

导数的含义是是切线的斜率

图片.png

图片.png

亚倒数

函数不可微怎么办(亚倒数)

当不一定存在导数的话会怎么办?就是说我们将函数拓展到不可微的情况下,怎么办?这举个简单的例子,Y是X的绝对值。

分段函数

图片.png

最大值函数

图片.png

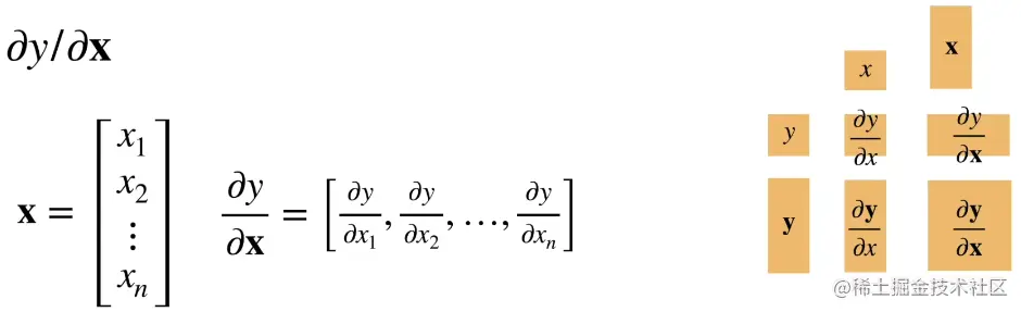
向量导数

接下来就要将啊导数扩展到向量,通常叫梯度的多一点

这里画了一张图,向量导数最关键的是要清楚形状

图片.png

y是标量X是向量

图片.png

图片.png

梯度一定指向你那个值变化的最大的一方向,这是所有的机器学习求解的一个核心思想

常见的例子

图片.png

图片.png

Y是向量x是标量

假设Y是一个列向量,列向量关于标量的导数,它也是一个列向量,和y是标量X是向量刚好相反

图片.png

图片.png

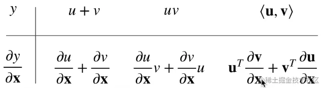
Y是向量X是向量

Y是一个向量,X是一个向量,因为Y是一个向量,所以先把它拆解成一个列的向量,然后每一列的那一个元素,第二个元素就是Y的第二个元素,关于X的一个导数,它是一个横向量,最后就变成一个矩阵

图片.png

图片.png

常见的例子

图片.png

图片.png