LeetCode 160.相交链表(c++)

81 阅读2分钟

开启掘金成长之旅!这是我参与「掘金日新计划 · 12 月更文挑战」的第9天,点击查看活动详情

前言

从零开始学习c++,每天起码做一道leetcode题目,在此记录,希望最后能够有所收获!

一、题目描述

160.相交链表

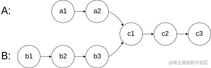
给你两个单链表的头节点 headA 和 headB ,请你找出并返回两个单链表相交的起始节点。如果两个链表不存在相交节点,返回 null 。

图示两个链表在节点 c1 开始相交:

image.png

题目数据 保证 整个链式结构中不存在环。

注意,函数返回结果后,链表必须 保持其原始结构 。

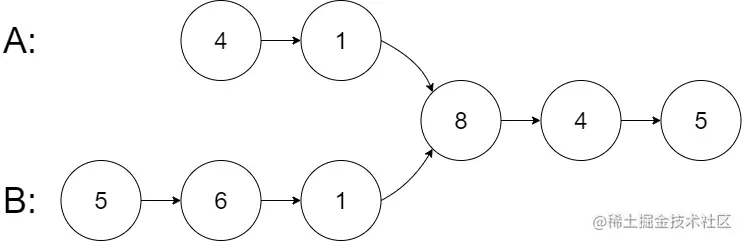
示例 1:

image.png

输入:intersectVal = 8, listA = [4,1,8,4,5], listB = [5,6,1,8,4,5], skipA = 2, skipB = 3
输出:Intersected at '8'
解释:相交节点的值为 8 (注意,如果两个链表相交则不能为 0)。
从各自的表头开始算起,链表 A[4,1,8,4,5],链表 B[5,6,1,8,4,5]。
在 A 中,相交节点前有 2 个节点;在 B 中,相交节点前有 3 个节点。
— 请注意相交节点的值不为 1,因为在链表 A 和链表 B 之中值为 1 的节点 (A 中第二个节点和 B 中第三个节点) 是不同的节点。换句话说,它们在内存中指向两个不同的位置,而链表 A 和链表 B 中值为 8 的节点 (A 中第三个节点,B 中第四个节点) 在内存中指向相同的位置。

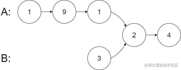
示例 2:

image.png

输入:intersectVal = 2, listA = [1,9,1,2,4], listB = [3,2,4], skipA = 3, skipB = 1
输出:Intersected at '2'
解释:相交节点的值为 2 (注意,如果两个链表相交则不能为 0)。
从各自的表头开始算起,链表 A[1,9,1,2,4],链表 B[3,2,4]。
在 A 中,相交节点前有 3 个节点;在 B 中,相交节点前有 1 个节点。

二、思路分析

看到这题,首先想到的就是用哈希表储存一个链表的所有节点,再遍历另一个链表的所有节点,在遍历的过程中检测哈希表中是否有与之相重复的,有的话就返回该节点。遍历完还没有的话就返回NULL。

三、AC代码

class Solution {
public:
    ListNode *getIntersectionNode(ListNode *headA, ListNode *headB) {
        unordered_set<ListNode*>save;
        ListNode* p;
        p=headA;
        while(p!=NULL){
            save.insert(p);
            p=p->next;
        }
        p=headB;
        while(p!=NULL){
            if(save.count(p)){
                return p;
            }
            p=p->next;
        }
        return NULL; 
    }
};

提交排名

image.png

四、总结

这种方法是比较容易想到的。还有一种做法更巧妙也更方便,是用双指针来做的,大家可以去看看。