LeetCode Everyday - 最小高度树

80 阅读3分钟

开启掘金成长之旅!这是我参与「掘金日新计划 · 12 月更文挑战」的第10天,点击查看活动详情

最小高度树

树是一个无向图,其中任何两个顶点只通过一条路径连接。 换句话说,一个任何没有简单环路的连通图都是一棵树。

给你一棵包含 n 个节点的树,标记为 0 到 n - 1 。给定数字 n 和一个有 n - 1 条无向边的 edges 列表(每一个边都是一对标签),其中 edges[i] = [ai, bi] 表示树中节点 ai 和 bi 之间存在一条无向边。

可选择树中任何一个节点作为根。当选择节点 x 作为根节点时,设结果树的高度为 h 。在所有可能的树中,具有最小高度的树(即,min(h))被称为 最小高度树 。

请你找到所有的 最小高度树 并按 任意顺序 返回它们的根节点标签列表。

树的 高度 是指根节点和叶子节点之间最长向下路径上边的数量。

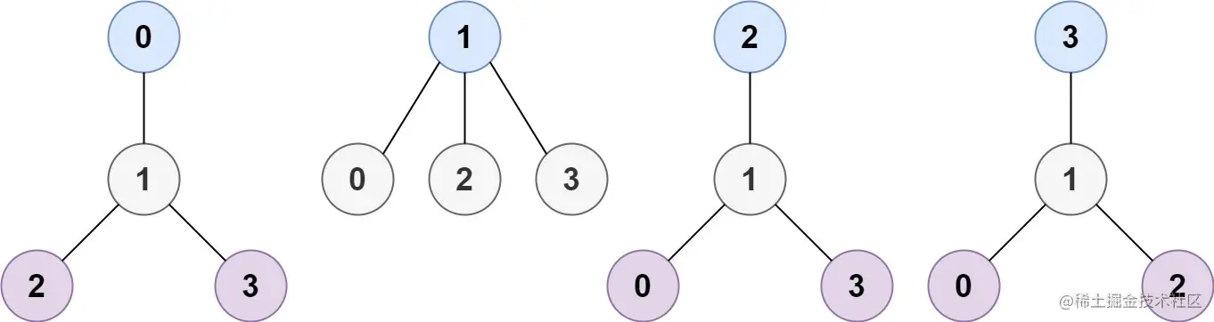
示例1:

image.png

输入:n = 4, edges = [[1,0],[1,2],[1,3]]
输出:[1]
解释:如图所示,当根是标签为 1 的节点时,树的高度是 1 ,这是唯一的最小高度树。

示例2:

image.png

输入: n = 6, edges = [[3,0],[3,1],[3,2],[3,4],[5,4]]
输出: [3,4]

提示:

  • 1 <= n <= 2 * 104
  • edges.length == n - 1
  • 0 <= ai, bi < n
  • ai != bi
  • 所有 (ai, bi) 互不相同
  • 给定的输入 保证 是一棵树,并且 不会有重复的边

解题思路:

  1. 构建链式前向星结构,同时存储每个顶点的出度(用数组保存,下标即为对应的顶点),注意无向图的边数是有向时的两倍
  2. 遍历出度数组,生成一个由出度为1的顶点组成的数组(保存顶点的index)
  3. 遍历出度为1的顶点数组,使用链式前向星找到对应的点所在的边
  4. 找到对应的边后,进行删边操作
  5. 因为是无向图,需要删除顶点相反时的另一条边,删除后判断顶点是否出度为1
  • 5.1 出度为1则加入出度为1的数组;
  • 5.2 出度不为1则忽略
  1. 循环直到边剩余数大于2,因为最后的情况只有可能是有两个顶点(对应两条边)或者一个顶点(无边)
  2. 最后出度为1的数组中的数就是最小高度数的节点

我的答案:

/**
 * @param {number} n
 * @param {number[][]} edges
 * @return {number[]}
 */
var findMinHeightTrees = function(n, edges) {
    const edgeListLen = edges.length;
    /** 边界情况 */
    if (edgeListLen * 2 === 2) {
        return edges[0].sort();
    }
    if (edgeListLen * 2 === 0) {
        return [0];
    }
    initHead(n);
    initOutList(n);

    /** 出度为1的顶点 数组 */
    const outOneList = [];

    /** 构造链式前向星 */
    for (let i = 0; i < edgeListLen; i++) {
        const cur = edges[i];
        addEdges(cur[0], cur[1]);
    }
    /** 筛选出度为1的顶点 */
    for (let i = 0; i < outList.length; i++) {
        if (outList[i] === 1) {
          outOneList.push(i);
        }
    }
    
    let elen = edgeListLen * 2;

    /** 最后只会有2两条边或者没有 */
    while (elen > 2) {
        let oneLen = outOneList.length;
        elen -= oneLen * 2;

        while (oneLen-- > 0) {
            const outOne = outOneList.shift();

            let edgeS = head[outOne];
            let targetS = edgeLinks[edgeS];

            if (targetS) {
                let edgeE = head[targetS.to];
                let targetE = edgeLinks[edgeE];

                /** 记录当前边和前一条边 */
                let edgeECurr = edgeE;
                let edgeEPrev = edgeE;

                while (targetE) {
                    if (targetE.to === outOne) {
                    /** 判断是否为第一个匹配到的边 */
                        if (edgeE === edgeECurr) {
                            if (targetE.next !== -1) {
                                /** 同一条边的next存在时,把next指向下一条边 */
                                head[targetS.to] = targetE.next;
                                /** 下一条边的next为-1, 说明下一条是最后一条,出度只剩下1 */
                                if (edgeLinks[targetE.next].next === -1) {
                                    /** 加入到出度为1的列表 */
                                    outOneList.push(targetS.to);
                                }
                            }
                            /** 删边 */
                            delete edgeLinks[edgeE];
                        } else {
                            /** 把前一条边的next指向当前边的next */
                            edgeLinks[edgeEPrev].next = edgeLinks[edgeECurr].next;
                            /** 下一条边的next为-1, 说明下一条是最后一条,出度只剩下1 */
                            if (edgeEPrev === edgeE && edgeLinks[edgeEPrev].next === -1) {
                                /** 加入到出度为1的列表 */
                                outOneList.push(targetS.to);
                            }
                            /** 删边 */
                            delete edgeLinks[edgeECurr];
                        }
                        delete edgeLinks[edgeS];
                        targetE = undefined;
                    } else {
                        if (targetE.next !== -1) {
                            /** 更新边的位置 */
                            edgeEPrev = edgeECurr;
                            edgeECurr = targetE.next;
                            /** 指向next的位置 */
                            targetE = edgeLinks[targetE.next];
                        } else {
                            targetE = undefined;
                        }
                    }
                }
            }
        }
    }
    return outOneList.sort();
};

/** edges index */
let cnt = 0;

/** 顶点对应的最后一次输入的边的index */
let head = [];

/** 顶点的出度 数组 */
let outList = [];

/** 链式前向星结构*/
const edgeLinks = [];

/**
 *
 * 无向图:s既可以是起点也是终点,v既可以是终点也可以是起点。一条边要算作两条边
 * @param {*} s 有向图:起点;无向图:起点或终点
 * @param {*} v 有向图:终点;无向图:起点或终点
 */
function addEdges (s, v) {
    /** s为起点时 */
    edgeLinks[cnt] = {};
    edgeLinks[cnt].to = v;
    edgeLinks[cnt].next = head[s];
    head[s] = cnt;
    cnt += 1;
    outList[s] += 1;

    /** v为起点时 */
    edgeLinks[cnt] = {};
    edgeLinks[cnt].to = s;
    edgeLinks[cnt].next = head[v];
    head[v] = cnt;
    cnt++;
    outList[v] += 1;
}

function initHead (n) {
    head = new Array(n).fill(-1);
}

function initOutList (n) {
    outList = new Array(n).fill(0);
}

最后

如果有更好的解法或者思路, 欢迎在评论区和我交流~ ღ( ´・ᴗ・` )