机器学习(二)模型评估与选择

156 阅读3分钟

前言

以下内容是在学习过程中的一些笔记,难免会有错误和纰漏的地方。如果造成任何困扰,很抱歉。

对于模型的评估与选择过程中,通常我们会根据样本的错误率与输出误差判断模型的好坏,以做出决策,首先我们从相应的名词解释看背后的问题:

  • 样本错误率E = 分类错误的样本数a / 样本总数m = E=a/m

  • 样本精度 = 1 - 分类错误的样本数 / 样本总数

  • 误差:学习器实际输出与样本的真实输出之间的差异

但是实际上,我们并不需要完全100%正确的模型,一个非常优秀的模型它的错误率一定是无限接近100%但是又不会成为100%,这一现象可以叫过拟合,与之相反的叫做欠拟合,在西瓜书中有一页图中非常形象。

在实际开发中,往往有许多模型与算法供我们选择,通过对候选模型的泛化评估是我们选择模型的标准之一,下面看看如何选择合适的模型与评估。

测试集与训练集的划分方法

评估模型的优劣性时,我们可以通过数据集对模型进行测试误差进行评估,从而做出选择,我们需要对数据集进行划分。

留出法

将数据集直接划分为两个互斥的集合,一个作为训练集,一个作为测试集。

测试集与训练集的划分要尽可能的保持数据分布的一致性,避免因为数据划分过程引入额外的偏差导致对结果产生影响,例如在分类任务过程中,至少要保持样本的类别的相似性。

交叉验证法

先将数据集划分为K个大小相似的互斥子集,每个子集尽可能保证数据分布的一致性,每次使用 k-1 个子集的并集作为训练集,剩下的子集作为测试集。

k最常用的取值是10,上述成为10折交叉验证。

自助法

给定包含m个样本的数据集A,对它重新采样产生一个新的数据集B,每次随机从A中拿样本复制到B中,再把这个样本放回到最开始的数据集A里,反复执行N次后,就得到了m个样本的新的数据集,对于数据集比较小,难以有效划分训练集/测试集的时候较为有效。

性能度量

对学习器的泛化性能进行评估,不仅需要有效可行的方法,还需要有衡量模型泛化能力的评判标准,这就是性能度量。

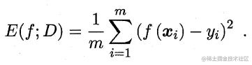
预测任务里,给定样例集 D = { ( x1 , y1) , ( x2 , y2) ....... ( xm , ym) , }

x是样本输入,y是真实输出结果,通过模型训练结果f与真是输出y做对比得出性能,在回归任务中,常用的性能度量(损失函数)是“均方误差”,均方误差(mean-square error, MSE)是反映估计量与被估计量之间差异程度的一种度量,用人话描述:模型预测值 f(x) 与样本真实值 y 之间距离平方的平均值。

对于数据分布D和概率密度函数P(`),均方误差描述为

其中同系列的损失函数还包括

  • 均方误差(Mean Square Error,MSE)
  • 平均绝对误差(Mean Absolute Error,MAE)
  • 均方根误差(Root Mean Square Error,RMSE)
  • 均方对数误差(Mean Squared Log Error)
  • 平均相对误差(Mean Relative Error,MAE)

下一章节将对线性模型进行学习。