LeetCode 147. Insertion Sort List

94 阅读1分钟

开启掘金成长之旅!这是我参与「掘金日新计划 · 12 月更文挑战」的第13天,点击查看活动详情

LeetCode 147. Insertion Sort List

给定单个链表的头 head ,使用 插入排序 对链表进行排序,并返回 排序后链表的头 。

插入排序 算法的步骤:

  1. 插入排序是迭代的,每次只移动一个元素,直到所有元素可以形成一个有序的输出列表。
  2. 每次迭代中,插入排序只从输入数据中移除一个待排序的元素,找到它在序列中适当的位置,并将其插入。
  3. 重复直到所有输入数据插入完为止。

下面是插入排序算法的一个图形示例。部分排序的列表(黑色)最初只包含列表中的第一个元素。每次迭代时,从输入数据中删除一个元素(红色),并就地插入已排序的列表中。

对链表进行插入排序。

 

示例 1:

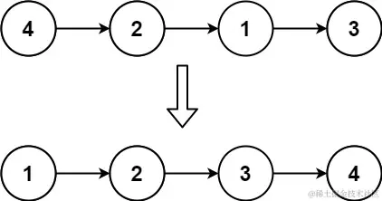
输入: head = [4,2,1,3]
输出: [1,2,3,4]

示例 2:

输入: head = [-1,5,3,4,0]
输出: [-1,0,3,4,5]

 

提示:

  • 列表中的节点数在 [1, 5000]范围内
  • -5000 <= Node.val <= 5000

算法

(插入排序) O(n2) 为了方便处理边界情况,我们建立虚拟头结点,指向原链表头部。 然后扫描原链表,对于每个节点 v,从前往后扫描结果链表,找到第一个比 v 大的节点 u,将 v 插入到 u 之前。

时间复杂度分析:一共遍历 n 个节点,对于每个节点找合适位置时,最多需要遍历 O(n) 次,所以总时间复杂度是 O(n^2)。

ac代码

/**
 * Definition for singly-linked list.
 * struct ListNode {
 *     int val;
 *     ListNode *next;
 *     ListNode(int x) : val(x), next(NULL) {}
 * };
 */
class Solution {
public:
    ListNode* insertionSortList(ListNode* head) {
        ListNode *dummy = new ListNode(-1);
        while (head)
        {
            ListNode *next = head->next;
            ListNode *p = dummy;
            while (p->next && p->next-> val <= head->val) p = p->next;

            head->next = p->next;
            p->next = head;

            head = next;
        }
        return dummy->next;
    }
};