PHYSICS in NUCLEAR MEDICINE | Chapter 18

719 阅读8分钟
  • 参考数据:PHYSICS in NUCLEAR MEDICINE

image.png

单词记录

  1. annihilation photon 湮灭光子
  2. positron 正电子
  3. ordinary electron 普通电子
  4. annihilation coincidence detection (ACD湮灭巧合检测)
  5. coincidence timing window 巧合时间窗口
  6. absorptive collimation 吸收准直
  7. electronic collimation 电子准直
  8. scintillator 闪烁体
  9. full width at half maximum FWHM 半宽度

知识点

  1. 为什么不用SPECT代替PET?Although the annihilation photons could be detected using SPECT, this systems are not optimally designed for the relatively high energy of annihilation photons (511keV). low efficies and not take adcantage of back-to-back directional characteristic.
  2. 什么是ACD?Near-simultaneous detection of the two annihilation photons allows PET to localize their origin along a line between the two detectors, without the use of absoptive collimators. This mechanism is called ACD.
  3. 如何判断两个感应是同一个事件?Time stamp. The precision is 1 or 2 nanoseconds. The coincidence processor examines the time stamp for each event. A coincidence event is assumed to have occured when a pair of events are recorded within a specified coincidence timing window, which typically is 6 to 12 nanosecods.
  4. 为什么PET的精度比别的高?The ability of ACD to localized events on the basis of coincidence timing, without the need for absorptive collimation, is referred to as electronic collimation. The lead septa in standard parallel-hold collimators are responsible for the relatively low sensitivity.
  5. Time-of-Flight PET是什么?In theory, it is possible to dtermine the location along a line between the two ACD detectors by the difference in the time. This technique, which would allow the formation of tomographic images without mathematical reconstruction algorithms, is called time-of-flight PET.
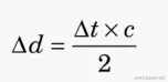
  6. 为什么time-of-flight PET不可行?image.png根据这个公式,要求检测器的精度达到0.067纳秒。目前电路是可以测量这个时间差,但使用ise time of light output from scintillator太慢了。这个time jitter似乎会有很大的影响。通过使用最快的闪烁体和电子元件的精妙结合,是可以实现在几百皮秒上的精度,但是这样只可以实现几厘米内的定位。这样的图像会有着很高的信噪比。
  7. 什么是time-of-flight information?image.pngB是没有用这个信息的预测,两个感应器连线上的每一个位置都是相同可能性。C是用了这个信息,从距离中心位置的Δd\Delta d的高斯分布。
  8. ACD系统的空间分辨率受到什么影响?决定性因素,the size of the individual detector elements.也会受到下面因素的负面影响:positron的物理性质,发射和湮灭。
  9. 湮灭事件和放射性原子核的位置是相同的吗?finite range of positron travel.简单的说就是衰变的放射性原子核和发生湮灭事件之间存在0.12cm的距离(用在核医学的放射性电子最高能量范围是0.55MeV)。这个范围叫做外推范围,extrapolated range。
  10. 外推距离这么大?这个距离是最高能量正电子走的直线距离。实际上,正电子的发射是以spectrum of enermy的形式,只有一小部分具有全部的能量。并且电子实际上是经过很曲折的路径的。因此实际的距离并没有这么大。而且我们常用的18F的最嘎哦能来个你为0.63MeV,在水中的extrapolated range is 2 mm image.pngimage.png
  11. 湮灭光子是180度方向互相放射的吗?annihilation photons almost never are emitted at exactly 180-degree directions from each other. 因为正电子运行到范围末端依然保留small residual momentum.这就是noncolinearity非共线性。角度分布服从高斯分布,FWHM大概0.5度。这个度数对于精度的影响是线性的:

R180°=0.0022×DR_{180 \degree}=0.0022 \times D其中对于whole-body PET scanner,D=80cm,所以非共线性造成的模糊的FWHM大约2mm。

image.png

  1. ACD系统的分辨率怎么计算?结合individual resolution elements、extrapolated range和非共线性造成的模糊范围:image.png
  2. Depth-of-Interaction是什么影响?当湮灭事件发生不在center的时候,这个RdetR_{det}计算的这个d/2d/2的d,就是width of detector会发生变化,如下图,变成d'。image.png

image.pngimage.png 对于whole-body scanner,x一般是2到3cm,d一般是0.3到0.6cm,对于4mm-wide detctors on a diameter of 80cm,DOI的影响大约40%,在距离center 10 cm的地方。

  1. PET的sensitivity?用true coincidence rate RtrueR_{true}衡量。image.pngE是源发射率(正电子/秒),ϵ\epsilon是每个探测器的内在效率,即探测到的入射光子的比例。μ\mu和T分别是物体的linear attenuation coefficient和总厚度。gACDg_{ACD}是探测器的geometric efficiency,也就是两个光子朝着探测器拦截的方向发射的湮灭事件的比例。这个geometric efficiency在湮灭时间在center的时候达到最大值。
  2. 什么是multicoincidence operation?就是每一个detector都和对面的多个detector形成pair。中间的区域叫做useful field-of-view.image.png
  3. P319 Sensitivity后面没有理解。PASS
  4. prompt coincidence巧合事件的分类?ACD produces an output whenever two events are recorded within a specified coincidence timing window.
    • true coincidence:接收到的两个event是由一个annihilation event产生的。
    • Random coincidence:由两个不相关的湮灭反应在一个时间窗口被接收.随即巧合的volume of tissue比true coincidence的volume of tissue大得多。此外,随即巧合可以发生在有效FOV范围之外。
    • 在真实的PET扫描中,random-to-true的radio在brain imaging,大概是0.1~0.2,对于application where large amounts of acticity 会超过1.
    • 另外一种无效的巧合是scatter coincidences。这种事情也可能发生在FOV之外。在临床研究中,scatter-to-true在brain iamging当中为0.20.5,对于腹部图像是0.42

image.png

  1. Two-Dimensional Data Acquisition. 二维数据采集被设计为detectors增加axial collimators or septa. 这样间隔会抑制分散在体内的其他区域的湮灭光子。通过修改间隔的长度,可以一定程度提高分辨率和敏感度:

image.png

  1. Three-dimensional data acquisition。

image.png

  1. Dynamic whole body-scans怎么获取?PET扫描仪有环绕着patient的检测器的话,就可以同时获取到所有的角度用来图像重建。因此这可以在几秒之间,就生成一帧的影像。

21.normalization. 先用一个均匀的放射性源进行计数。in an ideal scanner, each detector pair would record the same number of counts in the rod source scan. 实际当中,some detector pairs record more counts or less counts because of efficiency variations.但是上述的归一化方法存在一定的问题,就是在rod source scan需要大约55h。

  1. Correction for Random Coincidences的方法。这个随机巧合是给重建图像一个均匀的背景,会降低图像的对比度以及扭曲图像强度和实际活动强度的关系。有两种方法来估计random coincidences:the delayed window method and the singles method. 在大多数的PET scanners中,每一个电子的arrival time都会记录,精度大约2 nanoseconds.在每一个clock cycle的结束(一般256nanoseconds),电脑会检测是否有事件发生。如果有的话,他们是否在ΔT\Delta T的时间内发生(一般是4到12纳秒)。

  2. 如何估计Random Coincidence rate?一种估计方法是通过延迟巧合时间窗口。比方说coincidence timing window从12纳秒延迟到64或者76纳秒。并且只有两个photon event的间隔在64到76之间的时间才会被接收。这种条件下,是不会检测到true coincidence的,因为photons from the same decay will always arrive at the detwectors withing a few nanoseconds.在延迟窗口和非延迟窗口,这种随机巧合率是相同的。

  3. Correction for scattered radiation的方法。The first approach uses information from the original scatter-contaminated image and transmission image. transmission image reflects the attenuation coefficient of the tissue. We could use two images and computer modeling of photon interaction physics to derive an estimated of the underlying distribution of scattered events.

  4. Attenuation Correction的方法。

  5. Dead Time Correction的方法

  6. 什么时候用矫正算法呢?All of the corrections are applied to the projection of sinogram data prior to reconstruction of the image.经过正确矫正后,the voxel intensity in the image will be directly proportional to the amount of radioactivity in that voxel.

问题

  1. PET detector有opposing的概念吗?

image.png【P309】 PS:我猜测是有的。并不是每一个湮灭反应产生的光子都是朝着有效的opposing detector pair飞去的,因此才会有geometry efficiency几何效率的说法。(知识点14)

  1. 什么是rise time of light output from scintillator这个太慢是如何影响PET成像精度的。(P309)
  2. Depth-of-Interaction的d’计算问题。detector接收正电子信号的部分为什么不是最里面的一面?(知识点13)
  3. 知识点17的问题。怎么理解这句话:

image.png 5. 知识点18和19,这个detector是一个环还是多层环呢? 6. 在很多研究中,示踪剂的释放、积累和清楚的动态变化是组织功能的重要指标。这些数据通常是在Chapter 21介绍的数学模型来进行分析的。 7. 有一个概念 床位。

image.png 8. PET矫正在重建图像之前,有四种,随机巧合、散射矫正、衰减矫正、dead time矫正。