LeetCode - #230 二叉搜索树中第 K 小的元素

71 阅读2分钟

开启掘金成长之旅!这是我参与「掘金日新计划 · 12 月更文挑战」的第3天,点击查看活动详情

前言

我们社区陆续会将顾毅(Netflix 增长黑客,《iOS 面试之道》作者,ACE 职业健身教练。)的 Swift 算法题题解整理为文字版以方便大家学习与阅读。

LeetCode 算法到目前我们已经更新到 229 期,我们会保持更新时间和进度(周一、周三、周五早上 9:00 发布),每期的内容不多,我们希望大家可以在上班路上阅读,长久积累会有很大提升。

不积跬步,无以至千里;不积小流,无以成江海,Swift社区 伴你前行。如果大家有建议和意见欢迎在文末留言,我们会尽力满足大家的需求。

难度水平:中等

1. 描述

给定一个二叉搜索树的根节点 root ,和一个整数 k ,请你设计一个算法查找其中第 k 个最小元素(从 1 开始计数)。

2. 示例

示例 1

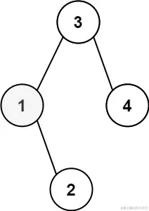
输入:root = [3,1,4,null,2], k = 1
输出:1

示例 2

输入:root = [5,3,6,2,4,null,null,1], k = 3
输出:3

提示:

  • 树中的节点数为 n
  • 1 <= k <= n <= 10^4
  • 0 <= Node.val <= 10^4

进阶: 如果二叉搜索树经常被修改(插入/删除操作)并且你需要频繁地查找第 k 小的值,你将如何优化算法?

3. 答案

/**
 * 
 * Definition for a binary tree node.
 * public class TreeNode {
 *     public var val: Int
 *     public var left: TreeNode?
 *     public var right: TreeNode?
 *     public init(_ val: Int) {
 *         self.val = val
 *         self.left = nil
 *         self.right = nil
 *     }
 * }
 */

 class KthSmallestElementBST {
    func kthSmallest(_ root: TreeNode?, _ k: Int) -> Int {
        var stack = [TreeNode](), currentNode = root, k = k
        
        while !stack.isEmpty || currentNode != nil {
            if currentNode != nil {
                stack.append(currentNode!)
                currentNode = currentNode!.left
            } else {
                let node = stack.removeLast()
                k -= 1
                
                if k == 0 {
                    return node.val
                }
                
                currentNode = node.right
            }
        }
        
        return -1
    }
}
  • 主要思想:使用栈进行顺序遍历,跟踪 k 找到答案。
  • 时间复杂度:O(n)
  • 空间复杂度:O(n)

该算法题解的仓库:LeetCode-Swift

点击前往 LeetCode 练习

关于我们

我们是由 Swift 爱好者共同维护,我们会分享以 Swift 实战、SwiftUI、Swift 基础为核心的技术内容,也整理收集优秀的学习资料。