LeetCode 141. Linked List Cycle

71 阅读1分钟

开启掘金成长之旅!这是我参与「掘金日新计划 · 12 月更文挑战」的第12天,点击查看活动详情

LeetCode 141. Linked List Cycle

给你一个链表的头节点 head ,判断链表中是否有环。

如果链表中有某个节点,可以通过连续跟踪 next 指针再次到达,则链表中存在环。 为了表示给定链表中的环,评测系统内部使用整数 pos 来表示链表尾连接到链表中的位置(索引从 0 开始)。注意:pos 不作为参数进行传递 。仅仅是为了标识链表的实际情况。

如果链表中存在环 ,则返回 true 。 否则,返回 false 。

 

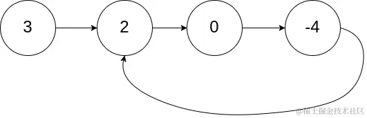
示例 1:

输入: head = [3,2,0,-4], pos = 1
输出: true
解释: 链表中有一个环,其尾部连接到第二个节点。

示例 2:

输入: head = [1,2], pos = 0
输出: true
解释: 链表中有一个环,其尾部连接到第一个节点。

示例 3:

输入: head = [1], pos = -1
输出: false
解释: 链表中没有环。

 

提示:

  • 链表中节点的数目范围是 [0, 104]
  • -105 <= Node.val <= 105
  • pos 为 -1 或者链表中的一个 有效索引 。

 

进阶: 你能用 O(1)(即,常量)内存解决此问题吗?

算法

(链表,指针扫描) O(n)O(n) 用两个指针从头开始扫描,第一个指针每次走一步,第二个指针每次走两步。如果走到 null,说明不存在环;否则如果两个指针相遇,则说明存在环。

为什么呢? 假设链表存在环,则当第一个指针走到环入口时,第二个指针已经走到环上的某个位置,距离环入口还差 xx 步。 由于第二个指针每次比第一个指针多走一步,所以第一个指针再走 xx步,两个指针就相遇了。

时间复杂度分析:第一个指针在环上走不到一圈,所以第一个指针走的总步数小于链表总长度。而第二个指针走的路程是第一个指针的两倍,所以总时间复杂度是 O(n)O(n)。

ac代码

/**
 * Definition for singly-linked list.
 * struct ListNode {
 *     int val;
 *     ListNode *next;
 *     ListNode(int x) : val(x), next(NULL) {}
 * };
 */
class Solution {
public:
    bool hasCycle(ListNode *head) {
        if (!head || !head->next) return 0;
        ListNode *first = head, *second = first->next;

        while (first && second)
        {
            if (first == second) return true;
            first = first->next;
            second = second->next;
            if (second) second = second->next;
        }

        return false;
    }
};