人工智能、机器学习、深度学习、神经网络,都有什么区别

298 阅读2分钟

开启掘金成长之旅!这是我参与「掘金日新计划 · 12 月更文挑战」的第3天,点击查看活动详情

人工智能、机器学习、深度学习、神经网络,都有什么区别

人工智能(AI) 、机器学习(ML)、深度学习(DL)、神经网络(CNN)

人工智能、机器学习、神经网络和深度学习有何关联?

或许思考人工智能、机器学习、神经网络和深度学习的最简单方法就是将它们想象成俄罗斯套娃。 每个本质上都是前项的组成部分。

编辑

也就是说,机器学习是人工智能的一个子领域。 深度学习是机器学习的一个子领域,神经网络构成了深度学习算法的支柱。 事实上,区分单个神经网络与深度学习算法的,是神经网络的节点层数或深度,深度学习算法必须超过三层

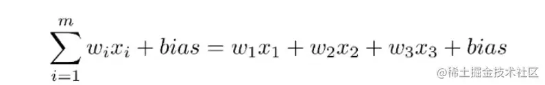
什么是神经网络?

神经网络——更具体地说,人工神经网络 (ANN)——通过一组算法模拟人脑。 在基本层面上,神经网络由四个主要部分组成:输入、权重、偏差或阈值以及输出。 与线性回归类似,代数公式如下所示:

编辑

如果任何单个节点的输出高于指定的阈值,则激活该节点,将数据发送到网络的下一层。否则,不会将任何数据传递到网络的下一层。现在想象一下上述过程对单个决策重复多次,因为神经网络往往具有多个“隐藏”层作为深度学习算法的一部分。每个隐藏层都有自己的激活函数,可能会将信息从前一层传递到下一层。一旦生成了隐藏层的所有输出,它们就会被用作输入来计算神经网络的最终输出。大多数现实世界的应用示例都是非线性的,而且要复杂得多。

机器学习:KNN,决策树和SVM进行分类

编辑

回归和神经网络之间的主要区别在于变化对单个权重的影响。在回归中,开发者可以更改权重而不影响函数中的其他输入

然而,神经网络并非如此。由于一层的输出传递到网络的下一层,因此单个更改可能会对网络中的其他神经元产生级联效应。

深度学习与神经网络有何不同?

深度学习中的“深度”是指神经网络中层的深度。由三层以上(包括输入和输出)组成的神经网络可以被视为深度学习算法。 这通常使用下图表示:

编辑

大多数深度神经网络都是前馈的,这意味着它们仅从输入到输出在一个方向上流动。但是,开发者们也可以通过反向传播来训练模型;也就是说,从输出到输入以相反的方向移动。 反向传播允许我们计算和归因与每个神经元相关的误差,允许我们适当地调整和拟合算法。