LeetCode 92. Reverse Linked List II

87 阅读2分钟

开启掘金成长之旅!这是我参与「掘金日新计划 · 12 月更文挑战」的第6天,点击查看活动详情

LeetCode 92. Reverse Linked List II

给你单链表的头指针 head 和两个整数 left 和 right ,其中 left <= right 。请你反转从位置 left 到位置 right 的链表节点,返回 反转后的链表 。

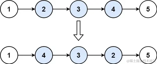
示例 1:

输入: head = [1,2,3,4,5], left = 2, right = 4
输出: [1,4,3,2,5]

示例 2:

输入: head = [5], left = 1, right = 1
输出: [5]

提示:

  • 链表中节点数目为 n
  • 1 <= n <= 500
  • -500 <= Node.val <= 500
  • 1 <= left <= right <= n

进阶:  你可以使用一趟扫描完成反转吗?

算法

首先特判,如果(m = n),就没有翻转,直接return head即可。
因为可能会翻转头结点head,所以构建一个虚拟头结点dummy,来保护头结点。dummy->next = head。 a是第m个节点的前一个节点的位置,b是第m个节点的位置,c是第n个节点的下一个位置,d是第n个节点的位置。这里要注意,a和d的初始值是dummy,它们的next指向的是head,这样可以更好理解a和d具体位置的求解。
接下来,对m和n之间的节点进行处理,让m + 1到n这条链上的节点的next指针反转,指向自己的前驱节点,因为a b c d四个位置是不能变的,所以新建立3个变量p q o,因为改变的是m + 1 ~ n个节点的next指针指向,所以让q作为第m + 1个节点,o来存储反转前的后继结点,p则对应q的前驱节点。可以理解为q是当前节点,o和p分别维护的是后继和前驱节点。当q指针指向位置c的时候,意味着第n个节点(d)的next指针已经指向了它的前驱,那么反转处理到这里就结束了。
最后,将a的next指针指向d,也就是第m个节点的前驱节点指向第n个节点,第m个节点指向第n+1个节点,返回dummy->next,就得到了答案。

ac 代码

/**
 * Definition for singly-linked list.
 * struct ListNode {
 *     int val;
 *     ListNode *next;
 *     ListNode(int x) : val(x), next(NULL) {}
 * };
 */
class Solution {
public:
    ListNode* reverseBetween(ListNode* head, int m, int n) 
    {
        if(m == n) return head;

        ListNode *dummy = new ListNode(-1);
        dummy->next = head;

        ListNode *a = dummy;
        ListNode *d = dummy;
        for(int i = 0; i < m - 1; i ++) a = a->next;
        // for(int i = 0; i < n - 1; i ++) d = d->next;
        for(int i = 0; i < n; i ++) d = d->next;
        auto b = a->next;
        auto c = d->next;

        // for(auto p = b, q = p->next; p != c;)
        for(auto p = b, q = b->next; q != c;)
        {
            auto o = q->next;
            q->next = p, p = q, q = o;
        }

        a->next = d;
        b->next = c;

        return dummy->next;
    }
};