LeetCode Everyday - 环形链表 II

51 阅读3分钟

开启掘金成长之旅!这是我参与「掘金日新计划 · 12 月更文挑战」的第5天,点击查看活动详情

环形链表 II

给定一个链表的头节点  head ,返回链表开始入环的第一个节点。 如果链表无环,则返回 null。

如果链表中有某个节点,可以通过连续跟踪 next 指针再次到达,则链表中存在环。 为了表示给定链表中的环,评测系统内部使用整数 pos 来表示链表尾连接到链表中的位置(索引从 0 开始)。如果 pos 是 -1,则在该链表中没有环。注意:pos 不作为参数进行传递,仅仅是为了标识链表的实际情况。

不允许修改 链表。

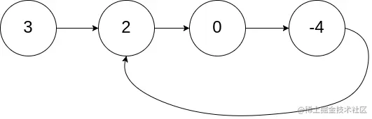
示例1:

image.png

输入: head = [3,2,0,-4], pos = 1
输出: 返回索引为 1 的链表节点
解释: 链表中有一个环,其尾部连接到第二个节点。

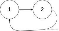
示例2:

image.png

输入: head = [1,2], pos = 0
输出: 返回索引为 0 的链表节点
解释: 链表中有一个环,其尾部连接到第一个节点。

示例3:

image.png

输入: head = [1], pos = -1
输出: 返回 null
解释: 链表中没有环。

提示:

  • 链表中节点的数目范围在范围 [0, 104] 内
  • -105 <= Node.val <= 105
  • pos 的值为 -1 或者链表中的一个有效索引

解题思路:

首先通过快慢指针相遇证明有环。那么,相遇时走过的环外路程,就是入环口。

相遇时可知, 快指针总路程 = 慢指针总路程 * 2 慢指针总路程 = 环外路程 + 慢指针在环内路程 快指针总路程 = 环外路程 + 快指针在环内路程 快指针在环内路程 = 一环路程 + 慢指针在环内路程

所以, 环外路程 = 快指针总路程 - 快指针在环内路程 = 快指针总路程 - (一环路程 + 慢指针在环内路程) = 快指针总路程 - 一环路程 - (慢指针总路程 - 环外路程)

所以, 快指针总路程 = 一环路程 + 慢指针总路程 所以, 一环路程 = 慢指针总路程 所以, 环外路程 = 一环路程 - 慢指针在环内路程 = 相遇时慢指针未走过的环内路程 所以, 环外路程、相遇时慢指针未走过的环内路程,这两段路程,如果由两个慢指针来走,就会再次相遇,相遇点就是入环口

我的答案:

/**
 * @param {ListNode} head
 * @return {ListNode}
 */
var detectCycle = function(head) {
  if (!head || !head.next) return null
  let slow = head, fast = head

  // 求相遇节点
  while (true) {
    if (fast.next && fast.next.next) fast = fast.next.next
    // 无环
    else return null
    slow = slow.next
    if (fast === slow) break
  }

  // 再次相遇,求环外路程。
  // 快指针改成与慢指针相同速度,从相遇位置开始移动。
  // 慢指针改成从 head 开始移动。
  // 相遇的地方,就是入环口。
  slow = head
  while (true) {
    if (slow === fast) break
    slow = slow.next
    fast = fast.next
  }

  return slow
};

最后

如果有更好的解法或者思路, 欢迎在评论区和我交流~ ღ( ´・ᴗ・` )