LeetCode 141.环形链表(c++)

69 阅读1分钟

开启掘金成长之旅!这是我参与「掘金日新计划 · 12 月更文挑战」的第5天,点击查看活动详情

前言

从零开始学习c++,每天起码做一道leetcode题目,在此记录,希望最后能够有所收获!

一、题目描述

141.环形链表

给你一个链表的头节点 head ,判断链表中是否有环。

如果链表中有某个节点,可以通过连续跟踪 next 指针再次到达,则链表中存在环。 为了表示给定链表中的环,评测系统内部使用整数 pos 来表示链表尾连接到链表中的位置(索引从 0 开始)。注意:pos 不作为参数进行传递 。仅仅是为了标识链表的实际情况。

如果链表中存在环 ,则返回 true 。 否则,返回 false 。

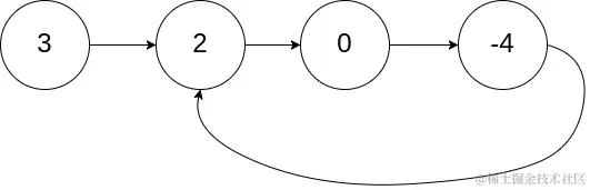
示例 1:

输入: head = [3,2,0,-4], pos = 1
输出: true
解释: 链表中有一个环,其尾部连接到第二个节点。

示例 2:

输入: head = [1,2], pos = 0
输出: true
解释: 链表中有一个环,其尾部连接到第一个节点。

示例 3:

输入: head = [1], pos = -1
输出: false
解释: 链表中没有环。

提示:

  • 链表中节点的数目范围是 [0, 104]
  • -105 <= Node.val <= 105
  • pos 为 -1 或者链表中的一个 有效索引 。

二、思路分析

一开始我就在想,如何判断它是否重复了呢?仅看一个节点的val肯定是不行的,就直接卡住了。后来才知道,c++可以自己构造容器,前面遇到过一种unordered_map的,也就类似于python中的字典类型。

而还有一种是unordered_set的,这个就是创建的是单个类型的容器。在本题中,就是通过它,将每一个节点都存储在容器中,再通过其特有的操作判断是否有重复,最终得出结果。

三、AC代码

class Solution {
public:
    bool hasCycle(ListNode *head) {
        unordered_set<ListNode*>seen;
        while(head!=NULL){
            if(seen.count(head)){
                return true;
            }
            seen.insert(head);
            head=head->next;
        }
        return false; 
    }
};

提交排名

image.png

四、总结

要想快速的解题,还是需要多记多练,这样才能有足够的知识储备。