二叉树的递归算法模板

938 阅读3分钟

开启掘金成长之旅!这是我参与「掘金日新计划 · 12 月更文挑战」的第2天,点击查看活动详情

定义篇:

这里主要讲解一下二叉树的基本知识,方便大家0基础入学

引入:

二叉树是n个结点的有限集合,n=0叫空树。

1)有且只有一个结点的叫树的根结点

2)如果n>1,其余结点被分为2个互不相交的子集,叫做左右子树,且左右子树都是二叉树。

由此可称:二叉树定义是递归的

二叉树的五种形态:

image.png

image.png

神奇的二叉树算法

前中后序遍历:

递归两个要素

1.递归边界 2.递归的逻辑——递归"公式"

public ListNode reverseList(参数0) {
    if (终止条件)
      return;
 
     逻辑处理(可能有,也可能没有,具体问题具体分析)
 
     //递归调用
    ListNode reverse = reverseList(参数1);
 
    逻辑处理(可能有,也可能没有,具体问题具体分析)
}

中序遍历:

中序是 左根右的遍历,即先访问左结点,再根结点,最后右结点

递归终止条件: if(当前结点==null){return;} 递归调用: digui(node.left) 处理当前node digui(node.right)

代码模板如下:

public void digui(TreeNode node){
if(node==null){
return;
}
digui(node.left);
System.out.println(node.val);
digui(node.right);
}

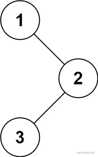
eg: 给定一个二叉树的根节点 root ,返回 它的 中序 遍历 。

img

示例 1:

输入:root = [1,null,2,3] 输出:[1,3,2]

public void digui2(TreeNode node,List<Integer> list){
if(node==null){
return;
}
digui2(node.left,list);
list.add(node.val);
digui2(node.right,list);
}

前序后序遍历

前序遍历:根左右 后序遍历:左根右

同上一个中序遍历类似:

前序递归调用: 处理当前node; digui(node.left); digui(node.right)

后序递归调用 digui(node.left); digui(node.right) 处理当前node;

通过前序中序,构造二叉树

当知道一个数前序中序遍历了,怎么构造这个二叉树?

我们已知:

前序遍历:根-》左-》右

中序遍历:左-》根-》右

后续遍历:左-》右-》根

那么这样我们可以通过前序确定整个树的根,即前序第一个数,然后在中序里面把其分成左右子树,再次通过前序对应子树排序,找到左右子树根,再次划分等。我们可以调用递归,递归结束条件就是中序长度为0,循环条件是,调用本方法,保证输出根,划分子树。

public TreeNode getTree(List<Integer> pre,List<Integer> ino){
if(ino.size()==0){
return null;
}
int rootVal=pre.remove(0);
int mid=ino.indexOf(rootVal);
//把中序,按照根划分左右子树
root.left=getTree(pre,ino.subList(0,mid));     root.right=getTree(pre,ino.subList(mid+1,ino.size()));
return root;
}

层次遍历:

层次遍历也需要递归: 所以递归终止条件: if(root==0){return ;}

image.png

如何统计下一层?

我们通过设置一个level来标识层数,List<List《Integer>> list来存储树,如果level>=list.size(),说明到了下一层。开始进行下一层遍历。

 public void levelHelper(List<List<Integer>> list, TreeNode root, int level) { 
    //边界条件判断
    if (root == null) return; 
    //level表示的是层数,如果level >= list.size(),说明到下一层了,所以 
    //要先把下一层的list初始化,防止下面add的时候出现空指针异常 
    if (level >= list.size()) { 
    list.add(new ArrayList<>()); 
    } 
    //level表示的是第几层,这里访问到第几层,我们就把数据加入到第几层 
    list.get(level).add(root.val); 
    //当前节点访问完之后,再使用递归的方式分别访问当前节点的左右子节点
    levelHelper(list, root.left, level + 1);
    levelHelper(list, root.right, level + 1); 
    }   

深度遍历

给定一个二叉树,找出其最大深度。

二叉树的深度为根节点到最远叶子节点的最长路径上的节点数。

说明: 叶子节点是指没有子节点的节点。

示例: 给定二叉树 [3,9,20,null,null,15,7]

仍然使用递归:

如果root=null返回0,否则以左或者右结点作为根节点,再次使用本函数。里面继续递归调用

class Solution {
    public int maxDepth(TreeNode root) {
     if(root==null){
         return 0;
     }else{
        return Math.max(maxDepth(root.left),       maxDepth(root.right))+1;
     }
    }
}