Tongsuo 支持半同态加密算法 Paillier

6,072 阅读6分钟

图片

文|王祖熙(花名:金九 )

蚂蚁集团开发工程师

负责国产化密码库 Tongsuo 的开发和维护

专注于密码学、高性能网络、网络安全等领域

本文 4316 字 阅读10 分钟

1. 背景

《Tongsuo 支持半同态加密算法 EC-ElGamal》中,已经阐述了同态和半同态加密算法的背景和原理,可以移步查阅。总之,同态算法在隐私计算领域有着重要的作用,目前应用比较广泛的是 Paillier 和 EC-ElGamal 半同态加密算法,它们接口类似且只支持加法同态。

但是它们两者的性能和原理有很大的差异:

原理方面,Paillier 是基于复合剩余类的困难性问题 (大数分解难题) 的公钥加密算法,有点类似 RSA;而 EC-ElGamal 是基于椭圆曲线数学理论的公钥加密算法,其安全性理论上要比 Paillier 要更好。

性能方面,EC-ElGamal 的加密和密文加法性能要比 Paillier 好;而 Paillier 的解密和密文标量乘法性能要比起 EC-ElGamal 要更好更稳定 (EC-ElGamal 的解密性能与解密的数字大小有关系,数字越大可能需要解密的时间越长,这与 EC-ElGamal 解密用到的解密表有关系,而 Paillier 的解密就没有这个问题。)

所以这两个产品各有优劣,大家可以根据自己的业务特点选择使用 Paillier 还是 EC-ElGamal。

2. Paillier 原理

2.1 密钥生成

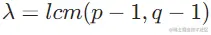
1.随机选择两个大素数 p、q,满足 图片,且满足 p 和 q 的长度相等;

2.计算图片以及 图片图片表示最小公倍数;

3.随机选择整数图片,一般 g 的计算公式如下:   

a. 随机选择整数图片;   

b. 计算:图片,为了简化和提高性能,k 一般选 1,g=1+n;

4.定义 L 函数:图片,计算:图片

5.公钥:(n, g),私钥:(λ, μ)。

2.2 加密

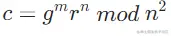
  1. 明文 m,满足 −n<m<n;

  2. 选择随机数 r,满足  0≤r<n  且  图片

  3. 计算密文:图片

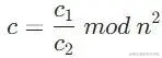
2.3 解密

  1. 密文 c,满足图片

  2. 计算明文:图片

2.4 密文加法

  1. 密文:c1 和 c2,图片,c 就是密文加法的结果。

2.5 密文减法

  1. 密文:c1 和 c2,计算:图片,c 就是密文减法的结果。

2.6 密文标量乘法

  1. 密文:c1,明文标量:a,计算:图片,c 就是密文标量乘法的结果。

3. 正确性

3.1 加解密正确性

公式推导需要用到 Carmichael 函数和确定合数剩余的公式,下面简单说明一下:

● Carmichael 函数

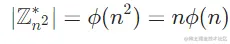
a. 设 n=pq,其中:p、q 为大素数;

b. 欧拉函数:ϕ(n) ,Carmichael 函数:λ(n);

c. 当 图片图片 时,

其中:图片 。

对于任意 图片,有如下性质:图片

● 判定合数剩余

a. 判定合数剩余类问题是指 n=pq,其中:p、q 为大素数,任意给定图片,使得图片,则说 z 是模 图片 的第 n 次剩余;

b. 第 n 项剩余的集合是 图片 的一个图片 阶乘法子集;

c. 每个第 n 项剩余 z 都正好拥有 n 个 n 阶的根,其中只有一个是严格小于 n 的 (即 图片 ;d. 第n项剩余都可以写成 图片的形式。

● 正确性验证

图片

解密:

图片

3.2 密文加法正确性

图片

3.3 密文减法正确性

图片

3.4 密文标量乘法正确性

图片

4. 算法实现

4.1 接口定义

●对象相关接口

○公/私钥对象:PAILLIER_KEY ,该对象用来保存 Paillier 公钥和私钥的基本信息,比如 p、q、n、g、λ、μ 等信息,私钥保存所有字段,公钥只保存 n、g,其他字段为空或者 0。相关接口如下:

// 创建 PAILLIER_KEY 对象
\PAILLIER_KEY *PAILLIER_KEY_new(void);

// 释放 PAILLIER_KEY 对象
void PAILLIER_KEY_free(PAILLIER_KEY *key);

// 拷贝 PAILLIER_KEY 对象,将 src 拷贝到 dest 中
PAILLIER_KEY *PAILLIER_KEY_copy(PAILLIER_KEY *dest, PAILLIER_KEY *src);

// 复制 PAILLIER_KEY 对象
PAILLIER_KEY *PAILLIER_KEY_dup(PAILLIER_KEY *key);

// 将 PAILLIER_KEY 对象引用计数加1,释放 PAILLIER_KEY 对象时若引用计数不为0则不能释放其内存
intPAILLIER_KEY_up_ref(PAILLIER_KEY *key);

// 生成 PAILLIER_KEY 对象中的参数,bits 为随机大素数 p、q 的二进制位长度
int PAILLIER_KEY_generate_key(PAILLIER_KEY *key, int bits);

// 获取 key 的类型:公钥 or 私钥
// PAILLIER_KEY_TYPE_PUBLIC 为私钥,PAILLIER_KEY_TYPE_PRIVATE 为私钥
int PAILLIER_KEY_type(PAILLIER_KEY *key);

○上下文对象:PAILLIER_CTX,该对象用来保存公私钥对象以及一些其他内部用到的信息,是 Paillier 算法其他接口的第一个参数。相关接口如下:

// 创建 PAILLIER_CTX 对象,key 为 paillier 公钥或者私钥,threshold 为支持最大的数字阈值,加密场景可设置为 0,解密场景可使用默认值:
PAILLIER_MAX_THRESHOLDPAILLIER_CTX *PAILLIER_CTX_new(PAILLIER_KEY *key, int64_t threshold);

// 释放 PAILLIER_CTX 对象
void PAILLIER_CTX_free(PAILLIER_CTX *ctx);

// 拷贝 PAILLIER_CTX 对象,将 src 拷贝到 dest 中
PAILLIER_CTX *PAILLIER_CTX_copy(PAILLIER_CTX *dest, PAILLIER_CTX *src);

// 复制 PAILLIER_CTX 对象
PAILLIER_CTX *PAILLIER_CTX_dup(PAILLIER_CTX *src);

○密文对象: PAILLIER_CIPHERTEXT ,该对象是用来保存 Paillier 加密后的结果信息,用到 PAILLIER_CIPHERTEXT 的地方,可调用如下接口:

// 创建 PAILLIER_CIPHERTEXT 对象
PAILLIER_CIPHERTEXT *PAILLIER_CIPHERTEXT_new(PAILLIER_CTX *ctx);

// 释放 PAILLIER_CIPHERTEXT 对象
void PAILLIER_CIPHERTEXT_free(PAILLIER_CIPHERTEXT *ciphertext);

●加密/解密接口

// 加密,将明文 m 进行加密,结果保存到 PAILLIER_CIPHERTEXT 对象指针 out 中
int PAILLIER_encrypt(PAILLIER_CTX *ctx, PAILLIER_CIPHERTEXT *out, int32_t m);

// 解密,将密文 c 进行解密,结果保存到 int32_t 指针 out 中
int PAILLIER_decrypt(PAILLIER_CTX *ctx, int32_t *out, PAILLIER_CIPHERTEXT *c);

●密文加/减/标量乘运算接口

// 密文加,r = c1 + c2
int PAILLIER_add(PAILLIER_CTX *ctx, PAILLIER_CIPHERTEXT *r,
PAILLIER_CIPHERTEXT *c1, PAILLIER_CIPHERTEXT *c2);

// 密文标量加,r = c1 * m
int PAILLIER_add_plain(PAILLIER_CTX *ctx, PAILLIER_CIPHERTEXT *r,                       PAILLIER_CIPHERTEXT *c1, int32_t m);

// 密文减,r = c1 - c2
int PAILLIER_sub(PAILLIER_CTX *ctx, PAILLIER_CIPHERTEXT *r,
PAILLIER_CIPHERTEXT *c1, PAILLIER_CIPHERTEXT *c2);

// 密文标量乘,r = c * m
int PAILLIER_mul(PAILLIER_CTX *ctx, PAILLIER_CIPHERTEXT *r,
PAILLIER_CIPHERTEXT *c, int32_t m);

●编码/解码接口
同态加密涉及到多方参与,可能会需要网络传输,这就需要将密文对象 PAILLIER_CIPHERTEXT 编码后才能传递给对方,对方也需要解码得到 PAILLIER_CIPHERTEXT 对象后才能调用其他接口进行运算。

接口如下:

// 编码,将密文 ciphertext 编码后保存到 out 指针中,out 指针的内存需要提前分配好;
// 如果 out 为 NULL,则返回编码所需的内存大小;
// flag:标志位,预留,暂时没有用size_t PAILLIER_CIPHERTEXT_encode(PAILLIER_CTX *ctx, unsigned char *out, 
size_t size,
const PAILLIER_CIPHERTEXT *ciphertext,
int flag);
// 解码,将长度为 size 的内存数据 in 解码后保存到密文对象 r 中
int PAILLIER_CIPHERTEXT_decode(PAILLIER_CTX *ctx, PAILLIER_CIPHERTEXT *r,                               unsigned char *in, size_t size);

以上所有接口详细说明请参考 Paillier API 文档:www.yuque.com/tsdoc/api/s…

4.2 核心实现

●Paillier Key

Paillier 不像 EC-ElGamal,EC-ElGamal 在 Tongsuo 里面直接复用 EC_KEY 即可,Paillier Key 在 Tongsuo 里面则需要实现一遍,主要功能有:公/私钥的生成、PEM 格式存储、公/私钥解析和文本展示,详情请查阅代码:

crypto/paillier/paillier_key.c、

crypto/paillier/paillier_asn1.c、

crypto/paillier/paillier_prn.c。

●Paillier 加解密、密文运算

Paillier 的加解密和密文运算算法非常简单,主要是大数的模幂运算,使用 Tongsuo 里面的 BN 相关接口就可以,需要注意的是,负数的加密/解密用到模逆运算,不能直接按公式计算 图片 ,这是因为 OpenSSL 的接口 BN_mod_exp 没有关注指数 (上面公式的 m ) 是不是负数,如果是负数的话需要做一次模逆运算:图片,这里计算出  之后做一次模逆运算 ( BN_mod_inverse ) 再与相乘;解密的时候,需要确认是否检查了阈值 PAILLIER_MAX_THRESHOLD ) ,超出则说明是负数,需要减去 n 才得到真正的结果。密文减法也需要用到模逆运算,通过密文减法的公式 () 得知, 需要进行模逆运算 BN_mod_inverse ) 再与 相乘。

详情请查阅代码:

crypto/paillier/paillier_crypt.c

●Paillier 命令行
为了提高 Paillier 的易用性,Tongsuo 实现了如下 Paillier 子命令:


$ /opt/tongsuo-debug/bin/openssl paillier -help
Usage: paillier [action options] [input/output options] [arg1] [arg2]

General options:
-help         Display this summary
Action options:
-keygen       Generate a paillier private key
-pubgen       Generate a paillier public key
-key          Display/Parse a paillier private key
-pub          Display/Parse a paillier public key
-encrypt      Encrypt a number with the paillier public key, usage: -encrypt 99, 99 is an example number
-decrypt      Decrypt a ciphertext using the paillier private key, usage:-decrypt c1, c1 is an example ciphertext
-add          Paillier homomorphic addition: add two ciphertexts, usage: -add c1 c2, c1 and c2 are tow example ciphertexts, result: E(c1) + E(c2)
-add_plain    Paillier homomorphic addition: add a ciphertext to a plaintext, usage: -add_plain c1 99, c1 is an example ciphertext, 99 is an example number, result: E(c1) + 99
-sub          Paillier homomorphic subtraction: sub two ciphertexts, usage: -sub c1 c2, c1 and c2 are tow example ciphertexts, result: E(c1) - E(c2)
-mul          Paillier homomorphic scalar multiplication: multiply a ciphertext by a known plaintext, usage: -mul c1 99, c1 is an example ciphertext, 99 is an example number, result: E(c1) * 99

Input options:
-in val       Input file
-key_in val   Input is a paillier private key used to generate public key

Output options:
-out outfile  Output the paillier key to specified file
-noout        Don't print paillier key out
-text         Print the paillier key in text
-verbose      Verbose output

Parameters:
arg1          Argument for encryption/decryption, or the first argument of a homomorphic operation
arg2          The second argument of a homomorphic operation

主要命令有:

- keygen: 生成 Paillier 私钥;

- pubgen: 用 Paillier 私钥生成公钥;

- key: 文本显示 Paillier 私钥;

- pub: 文本显示 Paillier 公钥;

- encrypt: 对数字进行加密,输出 Paillier 加密的结果,需要通过参数 -key_in 参数指定 Paillier 公钥文件路径,如果加密负数则需要将 - 用 _ 代替,因为 - 会被 OpenSSL 解析成预定义参数了 (下同)

- decrypt: 对 Paillier 密文进行解密,输出解密结果,需要通过-key_in参数指定 Paillier 私钥文件路径;

- add: 对两个 Paillier 密文进行同态加法操作,输出同态加法密文结果,需要通过参数 -key_in 参数指定 Paillier 公钥文件路径;

- add_plain: 将 Paillier 密文和明文相加,输出同态加法密文结果,需要通过参数 -key_in 参数指定 Paillier 公钥文件路径;

- sub: 对两个 Paillier 密文进行同态减法操作,输出同态减法密文结果,需要通过参数 -key_in 参数指定 Paillier 公钥文件路径;

- mul: 将 Paillier 密文和明文相乘,输出同态标量乘法密文结果,需要通过参数 -key_in 参数指定 Paillier 公钥文件路径。

通过以上命令即可在命令行进行 Paillier 算法实验,降低入门门槛,详情请查阅代码:apps/paillier.c。

另外还实现了 Paillier 的 speed 命令,可以进行性能测试,详情请查阅代码:apps/speed.c。

5. 用法&例子

5.1 demo 程序

#include <stdio.h>
#include <time.h>
#include <openssl/paillier.h>
#include <openssl/pem.h>

#define CLOCKS_PER_MSEC (CLOCKS_PER_SEC/1000)

int main(int argc, char *argv[])
{
int ret = -1;
int32_t r; 
clock_t begin, end;
PAILLIER_KEY *pail_key = NULL, *pail_pub = NULL;
PAILLIER_CTX *ctx1 = NULL, *ctx2 = NULL;
PAILLIER_CIPHERTEXT *c1 = NULL, *c2 = NULL, *c3 = NULL;
FILE *pk_file = fopen("pail-pub.pem", "rb");
FILE *sk_file = fopen("pail-key.pem", "rb");
    if ((pail_pub = PEM_read_PAILLIER_PublicKey(pk_file, NULL, NULL, NULL)) == NULL)    
    goto err;
    if ((pail_key = PEM_read_PAILLIER_PrivateKey(sk_file, NULL, NULL, NULL)) == NULL)      
    goto err;
    
    if ((ctx1 = PAILLIER_CTX_new(pail_pub, PAILLIER_MAX_THRESHOLD)) == NULL) 
    goto err;    
    if ((ctx2 = PAILLIER_CTX_new(pail_key, PAILLIER_MAX_THRESHOLD)) == NULL)   
    goto err;
    
    if ((c1 = PAILLIER_CIPHERTEXT_new(ctx1)) == NULL)
    goto err;
    if ((c2 = PAILLIER_CIPHERTEXT_new(ctx1)) == NULL)
    goto err;
    
    begin = clock();
    if (!PAILLIER_encrypt(ctx1, c1, 20000021))
    goto err;
    end = clock(); 
    printf("PAILLIER_encrypt(20000021) cost: %lfms\n", (double)(end - begin)/CLOCKS_PER_MSEC);
    
    begin = clock();
    if (!PAILLIER_encrypt(ctx1, c2, 500)) 
    goto err;    end = clock();
    printf("PAILLIER_encrypt(500) cost: %lfms\n", (double)(end - begin)/CLOCKS_PER_MSEC);
    
    if ((c3 = PAILLIER_CIPHERTEXT_new(ctx1)) == NULL) 
    goto err;
    begin = clock();
    if (!PAILLIER_add(ctx1, c3, c1, c2))
    goto err;    end = clock(); 
    printf("PAILLIER_add(C2000021,C500) cost: %lfms\n", (double)(end - begin)/CLOCKS_PER_MSEC);
    
    begin = clock();
    if (!(PAILLIER_decrypt(ctx2, &r, c3)))
    goto err;    end = clock();
    printf("PAILLIER_decrypt(C20000021,C500) result: %d, cost: %lfms\n", r, (double)(end - begin)/CLOCKS_PER_MSEC);
    
    begin = clock();
    if (!PAILLIER_mul(ctx1, c3, c2, 800))
    goto err; 
    end = clock();
    printf("PAILLIER_mul(C500,800) cost: %lfms\n", (double)(end - begin)/CLOCKS_PER_MSEC);
    
    begin = clock(); 
    if (!(PAILLIER_decrypt(ctx2, &r, c3)))
    goto err;    end = clock();
    printf("PAILLIER_decrypt(C500,800) result: %d, cost: %lfms\n", r, (double)(end - begin)/CLOCKS_PER_MSEC);

    printf("PAILLIER_CIPHERTEXT_encode size: %zu\n", PAILLIER_CIPHERTEXT_encode(ctx2, NULL, 0, NULL, 1)); 
    ret = 0;
    err:    PAILLIER_KEY_free(pail_key);
    PAILLIER_KEY_free(pail_pub);
    PAILLIER_CIPHERTEXT_free(c1);
    PAILLIER_CIPHERTEXT_free(c2);
    PAILLIER_CIPHERTEXT_free(c3);
    PAILLIER_CTX_free(ctx1);
    PAILLIER_CTX_free(ctx2);
    fclose(sk_file);
    fclose(pk_file);
    return ret;
}

5.2 编译和运行

先确保 Tongsuo 开启 Paillier,如果是手工编译 Tongsuo,可参考如下编译步骤:

# 下载代码
git clone git@github.com:Tongsuo-Project/Tongsuo.git

# 编译参数需要加上:enable-paillier
./config  --debug no-shared no-threads enable-paillier --strict-warnings -fPIC --prefix=/opt/tongsuo

# 编译
make -j

# 安装到目录
/opt/tongsuo sudo make install

5.3 编译 demo 程序

gcc -Wall -g -o paillier_test ./paillier_test.c -I/opt/tongsuo/include -L/opt/tongsuo/lib -lssl -lcrypto

5.4 生成 Paillier 公私钥

# 先生成私钥
/opt/tongsuo/bin/openssl paillier -keygen -out pail-key.pem# 
用私钥生成公钥
/opt/tongsuo/bin/openssl paillier -pubgen -key_in ./pail-key.pem -out pail-pub.pem

5.5 运行结果

$ ./paillier_test
PAILLIER_encrypt(20000021) cost: 3.202000ms
PAILLIER_encrypt(500) cost: 0.442000ms
PAILLIER_add(C2000021,C500) cost: 0.047000ms
PAILLIER_decrypt(C20000021,C500) result: 20000521, cost: 0.471000ms
PAILLIER_mul(C500,800) cost: 0.056000ms
PAILLIER_decrypt(C500,800) result: 400000, cost: 0.464000ms
PAILLIER_CIPHERTEXT_encode size: 0

本周推荐阅读

你好,我的新名字叫“铜锁/Tongsuo”

BabaSSL:支持半同态加密算法 EC-ElGamal

BabaSSL 发布 8.3.0|实现相应隐私计算的需求

开源项目文档社区化!Tongsuo/铜锁实践