【LetMeFly】530.二叉搜索树的最小绝对差

72 阅读2分钟

开启掘金成长之旅!这是我参与「掘金日新计划 · 12 月更文挑战」的第2天,点击查看活动详情

【LetMeFly】530.二叉搜索树的最小绝对差

力扣题目链接:leetcode.cn/problems/mi…

给你一个二叉搜索树的根节点 root ,返回 树中任意两不同节点值之间的最小差值

差值是一个正数,其数值等于两值之差的绝对值。

 

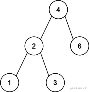
示例 1:

输入:root = [4,2,6,1,3]
输出:1

示例 2:

输入:root = [1,0,48,null,null,12,49]
输出:1

 

提示:

  • 树中节点的数目范围是 [2, 104]
  • 0 <= Node.val <= 105

 

注意:本题与 783 leetcode-cn.com/problems/mi… 相同

方法一:中序遍历

首先需要明白二叉搜索树的性质:

对于二叉搜索树的每个节点:

  1. 左子树上的节点都小于(或等于)根节点
  2. 右子树上的节点都大于(或等于)根节点

因此,我们只需要中序遍历一遍二叉搜索树,遍历过程中,访问的节点的值的顺序就是非递减的。

这样,“树中任意两不同节点值之间的最小差值”就转换为了“遍历过程中后一个节点与前一个节点的差值的最小值”

我们使用一个变量lastNumlastNum记录“上一个节点”的值,再使用一个变量ansans记录“不同节点的最小差值”,遍历过程中不断更新上述两变量,遍历结束后ansans即为答案。

  • 时间复杂度O(n)O(n),其中nn是二叉树中节点的个数
  • 空间复杂度O(n)O(n),主要空间复杂度来源是递归

AC代码

C++

class Solution {
private:
    int lastNum = -1e7;
    int ans = 1e7;

    void dfs(TreeNode* root) {
        if (!root)
            return;
        dfs(root->left);
        // printf("root->val = %d, lastNum = %d\n", root->val, lastNum);  //********
        ans = min(ans, root->val - lastNum);
        lastNum = root->val;
        dfs(root->right);
    }
public:
    int getMinimumDifference(TreeNode* root) {
        dfs(root);
        return ans;
    }
};

同步发文于CSDN,原创不易,转载请附上原文链接哦~ Tisfy:letmefly.blog.csdn.net/article/det…