机器学习-万能逼近原理

1,561 阅读3分钟

开启掘金成长之旅!这是我参与「掘金日新计划 · 12 月更文挑战」的第3天,点击查看活动详情

万能逼近原理:MLP 能够逼近任何函数,如果逼近的效果不好,可以增加几个节点或者多加几层。

绘制神经网络的网址

markdown grammar

训练完之后保存模型:

 #训练模型,训练过程保存在history中
 ck_pt_cb = tf.keras,callbacks.ModelCheckpoint("best_model.h5",save_best_only = True)
 ck_pt_cb = tf.keras,callbacks.EarlyStopping(patience = 10,restore_best_weights = True )
 tf.keras.models.save_model(model,'hh.h5')

查看 Tensorflow 版本:print('Tensorflow Version:{}'.format(tf.__version__))

week 3

函数函数:也叫典型函数回归常用检测的指标。

[图片

图片

人物角色的形状:

图片

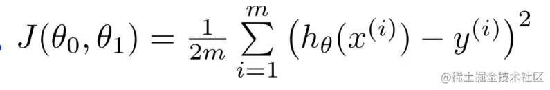
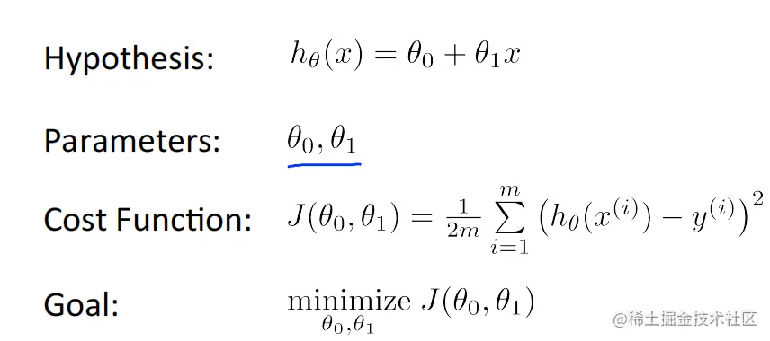
  • 在课上老师说的 JO 函数这里就是 J(θ0,θ1) *

梯度下降法

在下降的过程中找到最佳解

图片

图片

在下面这张图:

图片

α:学习率(learning rate),控制我们在下降的时候迈出多大的步子

  • α值很大的时候,平均地跨度就很快,步子迈的大回,可能会尽快到达最后会点
  • α迈值小的时候,需要加速就很慢,子迈迈步才可以到最短时间

θ0 ,θ1 需要同步更新才干

无标题-2022-07-27-1119 excalidraw

当我们要在各地最快捷的优点时,最好的倒数是更显示你已经自动引导到的最优点。那时候,根据定义,最低点的时候,导数的零点,当我们接近最低点的时候,会自动变小。

note

 # 使用DataFrame 的head()方法可以查看前5行的内容
 df.head()
 ​
 # 查看DataFrame 数据集的简单描述,特别是总行数,每个属性的类型和非空值的数量
 df.info()
 ​
 # 查看有多少中分类存在,每种分类下面分别有多少个区域
 df["列名"].value_counts()
 ​
 # 显示数值属性的摘要
 df.describe()
 ​
 ​

describe() 出现的属性:

count、mean、min以及max行的意思很清楚。需要注意的是,这里的空值会被忽略(因此本例中, total_bedrooms的count是20 433而不是20640

std行显示的是标准差(用来测量数值的离散程度),25%、50%和75%行显示相应的百分位数:百分位数表示一组观测值中给定百分比的观测值都低于该值。例如,对于housing_median_age的值,25%的区域小于18,50%的区域小于29,以及75%的区域小于37。这些通常分别称为第25百分位数(或者第一四分位数)、中位数以及第75百分位数(或者第三四分位数)。

另一种快速了解数据类型的方法:绘制每个数值属性的直方图

方法:df.hist()

 %matplotlib inline #only in jupyter notebook
 import matplotlib.pyplot as plt
 df.hist(bins=50,figsize = (20,50))
 plt.show()

hist() 方法依赖Matplotlib ,而 Matplotlib 又依赖于用户指定的图形后端才能在屏幕上完成绘制。在绘制之前,需要先指定 Matplotlib 使用那个后端。

最简单的方法就是使用 jupyter notebook 的神奇命令 %matplotlib inline,随后图形会在 notebook 上呈现。

从网络上下载sklearn包需要下载ssl:

 import ssl
 ssl._create_default_https_context = ssl._create_unverified_context#下载数据集