LeetCode每日1题--找树左下角的值

62 阅读2分钟

开启掘金成长之旅!这是我参与「掘金日新计划 · 12 月更文挑战」的第2天,点击查看活动详情

前言

算法的重要性不言而喻!区分度高!

现在学习的门槛低了,只有能上网每个人都可以学编程!培训班6个月就可以培养出来能干活的人,你怎么从这些人中脱颖而出?没错!就是学算法,学一些底层和基础的东西。

说的功利点是为了竞争,卷死对手。真心话说就是能提高自己的基础能力,为技术可持续发展做好充分的准备!!!

提前入门学习书籍:CPrimerPlus、大话数据结构

image-20220705103735001

刷题网站

代码随想录 (programmercarl.com)

leetcode

我是按照代码随想录提供的刷题顺序进行刷题的,大家也可以去刷leetcode最热200道,都可以

刷题嘛,最重要的就是坚持了!!!

画图软件

OneNote

这个要经常用,遇见不懂的流程的话就拿它画一画!

笔记软件

Typoral

题目

image.png

解析

递归三部曲

  1. 确定递归的参数和返回值

这里是找到左下角的值,那么和前几道题一样,返回值是int,参数自然是传入根节点TreeNode

private void findLeftValue (TreeNode root,int deep) {}
  1. 确定递归终止的条件 递归的终止条件一般都是是根节点为空的情况停止递归
if (root == null) return;
  1. 确定单层递归的逻辑

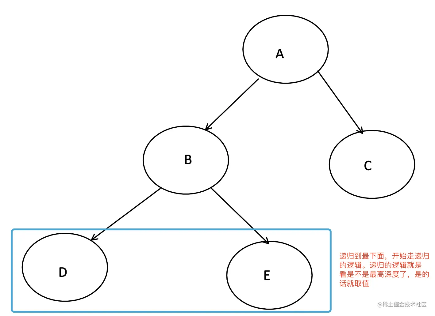
这里其实就是通过深度去判断是不是最下面了,找到最下面之后再取左下角的值就可以满足题目的要求了

if (root.left == null && root.right == null) {
    if (deep > Deep) {
        value = root.val;
        Deep = deep;
    }
}
if (root.left != null) findLeftValue(root.left,deep + 1);
if (root.right != null) findLeftValue(root.right,deep + 1);

一图胜千言

image.png

完整代码

// 递归法
class Solution {
    private int Deep = -1;
    private int value = 0;
    public int findBottomLeftValue(TreeNode root) {
        value = root.val;
        findLeftValue(root,0);
        return value;
    }

    private void findLeftValue (TreeNode root,int deep) {
        if (root == null) return;
        if (root.left == null && root.right == null) {
            if (deep > Deep) {
                value = root.val;
                Deep = deep;
            }
        }
        if (root.left != null) findLeftValue(root.left,deep + 1);
        if (root.right != null) findLeftValue(root.right,deep + 1);
    }
}