使用R语言进行Metroplis-in-Gibbs采样和MCMC运行分析|附代码数据

111 阅读4分钟

全文链接:tecdat.cn/?p=12200

对于许多模型,例如逻辑模型,没有共轭先验分布。因此,吉布斯采样不适用

这篇文章展示了我们如何使用Metropolis-Hastings(MH)从每次Gibbs迭代中的非共轭条件后验对象中进行采样–比网格方法更好的替代方法。

我将说明该算法,给出一些R代码结果,然后分析R代码以识别MH算法中的瓶颈。

模型

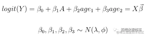
此示例的模拟数据是包含图片患者的横截面数据集。有一个二元因变量Y,一个二元处理变量A,一个因子变量age。年龄是具有3个等级的分类变量。我用贝叶斯逻辑回归建模:

图片

对于Metroplis-in-Gibbs吉布斯采样来说,这是一个相当不错的示例:

  1. 我们有一个二进制结果,为此我们采用了非线性链接函数。
  2. 我们有一个需要调整的因素。
  3. 我们正在估计我们关心的更多参数,但肯定会给采样器带来压力。

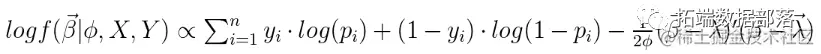
非规范条件后验

让我们看一下该模型的(非标准化)条件后验。
图片
此条件分布不是已知分布,因此我们不能简单地使用Gibbs从中进行采样。相反,在每个gibbs迭代中,我们需要另一个采样步骤来从该条件后验中提取。第二个采样器将是MH采样器。

Metroplis-in-Gibbs采样

目标是从中取样图片

MH采样器的工作方式如下:

  1. 开始采样。
  2. 让我们假设将提议分布的方差设置为某个常数。
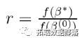
  3. 我们计算在上一次绘制时评估的非标准化密度与当前提议的比率:   图片
  4. 如果该比率大于1,则当前提议分布的密度高于先前值的密度。因此,我们“接受”了提议并确定了图片。然后,我们使用以提议为中心的提议分布重复步骤2-4  ,然后生成新提议。如果该比率小于1,则当前建议值的密度低于先前建议。

因此,总是接受产生更高条件的后验评估的提议。但是,有时仅接受具有较低密度评估的提议-提议的相对密度评估越低,其接受的可能性就越低。

经过多次迭代,从后验的高密度区域开始的抽样被接受,并且被接受的序列“爬升”到高密度区域。一旦序列到达此高密度区域,它将趋于保持在那里。因此,这也类似于模拟退火。

这种表示法很容易扩展到我们的4维示例:提议分布现在是4维多元高斯模型。代替标量方差参数,我们有一个协方差矩阵。因此,我们的建议是系数的向量。从这个意义上讲,我们运行的是Gibbs –使用MH每次迭代绘制整个系数。

  • 跳跃分布的方差是重要的参数。如果方差太小,则当前提议可能会非常接近最后一个值,因此![R也很可能接近1。因此,我们会非常频繁地接受,但由于接受的值彼此之间非常接近,因此我们会攀升至较高在许多次迭代中慢慢降低密度区域。如果方差太大,则序列到达高密度区域后可能无法保留在该区域。
  • 许多“自适应” MH方法是此处描述的基本算法的变体,但包括调整周期以找到产生最佳接受率的跳跃分布方差。
  • MH中计算量最大的部分是密度评估。对于每个Gibbs迭代,我们必须两次评估4维密度。
  • 尽管很容易扩展到高维度,但性能本身在高维度上会变差。

结果

这是我们感兴趣的4个参数的MCMC链。红线表示真实值。

for(i in 2:gibbs_iter){
  # 来自 phi 后验分布的样本
  gibbs_res[i,p+1] <- rcond_post_phi(gibbs_res[i-1,1:p], 
                                     alpha, gamma, lambda, p)
  #  来自beta后验分布的样本 ( 使用 Mh )
  mh_draw <- rcond_post_beta_mh(gibbs_res[i-1,1:p], gibbs_res[i,p+1], 
                                lambda, X, Y, mh_trials=5, jump_v=.01)
}
par(mfrow=c(2,2))
plot(gibbs_res[,1],type='l',xlab='MCMC Iterations',ylab=c('Coefficient Draw'),
     main='Intercept')
abline(h=-1,col='red')
plot(gibbs_res[,2],type='l',xlab='MCMC Iterations',ylab=c('Coefficient Draw'),
     main='Age1')
# 计算后验分布和置信区间
post_burn_trim<-gibbs_res[seq(1000,gibbs_iter,100),]
colMeans(post_burn_trim)
apply(post_burn_trim, 2, quantile, p=c(.025,.975))

图片