2022基于决策变量对目标贡献的多种群多目标进化算法

658 阅读27分钟

现有的多目标进化算法大多将所有决策变量作为一个整体来进行遗传操作,用一个种群同时优化所有目标。考虑到不同的控制属性,不同的决策变量对每个目标有不同的优化效果,所以决策变量可以分为收敛性或多样性相关变量。在这篇文章中,我们提出了一个新的指标,称为收敛相关决策变量对每个目标的优化程度,以计算每个决策变量的贡献目标。所有的决策变量都根据它们的贡献目标进行分组。然后,提出了一种多目标进化算法,即决策变量对目标的贡献进化算法(DVCOEA)。为了平衡种群的收敛性和多样性,DVCOEA算法结合了多种群多目标框架,其中设计了两种不同的优化策略,分别优化子种群和外部档案中的个体。最后,DVCOEA与几个最先进的算法在一些基准函数上进行了比较。实验结果表明,DVCOEA是一种解决大规模多/多目标问题的有竞争力的方法。

现有本文
所有决策变量作为一个整体进行遗传操作所有的决策变量都根据它们的贡献目标进行分组
一个种群同时优化所有目标多个种群同时优化各自贡献度高的目标

I. 简介

在过去的20年里,研究人员提出了各种多目标进化算法,其中包括在处理大多数多目标优化问题(MOPs)时,可以获得具有良好收敛性和多样性的无支配解集[1]。然而,当处理多目标优化问题(MaOPs),即优化问题的目标数大于3时,如何解决MaOPs是一个具有挑战性的问题[2],[3]。

MOPsMaOPs
优化问题的目标数小于3大于3
multiobjective optimization problemsmany-objective optimization problems

随着目标空间维度的增加,非支配解的数量将呈指数级增长,陷入局部最优的可能性也会增加,这使得问题很难达到真正的帕累托前沿[1]。目标数量的增加可能会导致不同目标上的优化不平衡,这意味着解决方案在某些目标上有很好的表现,但在其他目标上表现不佳[5]。此外,目标函数的评估时间随着目标数的增加而增加,因此计算时间急剧增加,搜索效率急剧下降。由于搜索空间的高维度,传统的多样性保护方法,如拥挤距离,在环境选择中可能不适用[4]。

为了解决MaOPs,研究人员提出了各种MaOEA算法,如NSGA-III[6]、MOEA/D-DD[7]、KnEA[8]、MaOEAC[9]等。为了解决NSGA-II[4]在求解MaOPs时,拥挤距离导致非支配层中的解分布不均,陷入局部最优的问题,NSGA-III[6]采用参考点来选择个体。MOEA/D-DD[7]结合了分解和支配策略来平衡算法的收敛性和多样性,所以它能在MaOP上找到比NSGA-III更好的解。KnEA[8]是一种膝点[10]驱动的进化算法,用于提高多目标优化中解决MaOP的收敛性能。在MaOEAC[9]中,提出了一个两步聚类策略(PCM和HCM),以有效地将亲子群体的集合分为N类。

大多数MaOEA将种群作为一个整体,用一个种群模拟优化所有目标,而目标数越多,难度就越大。Zhan等人[11]提出了一种共同进化技术,即用多个种群来进行优化。多对象(MPMOs)框架,在MOP和MaOP上表现出良好的性能。MPMO框架可以有效增强算法的多样性,提高优化效率[12]。基于MPMO框架,有人提出了一种多种群的共差进化算法CMODE[13]。Liu等人[14]提出了具有瓶颈目标学习(BOL)策略的多目标粒子群优化算法CPSO,促进种群向PF的不同部分进化。

当多/多目标优化问题有超过100个决策变量时,这些问题就会成为更具挑战性的大规模MOPs/MaOPs。在进化算法的搜索过程中,要平衡多样性和收敛性是非常困难的,因为随着搜索空间的增加,种群中的非主导解的数量呈指数级增加。为了解决大规模MOPs/MaOPs的挑战,人们在分析MOPs/MaOPs决策变量的基础上提出了各种进化算法。Antonio和Coello Coello[15]提出了一个解决大规模MOP的协同进化框架,其中决策变量被划分为几个子组件来进行协同进化。Ma等人[16]提出了一种基于决策变量分析的MOEA,称为MOEA/DVA。Zhang等人[17]提出了一种基于聚类方法的大规模MaOP算法LMEA,将决策变量分为收敛性相关变量和多样性相关变量,对于大规模MaOPs来说,这种算法优于大多数MaOEA。

为了进一步研究决策变量的特性,在这项工作中,我们分析了决策变量对不同目标的影响,计算了决策变量对目标的优化程度,并将效果最好的目标定义为决策变量的贡献目标。结合MPMO框架,提出了一种基于决策变量对目标贡献的多种群多目标进化算法,即决策变量对目标的贡献进化算法(DVCOEA)。本文的主要工作有以下几点。

  1. 定义了每个决策变量的贡献目标,并使用一个新的指标,即与收敛相关的决策变量对每个目标的优化程度od来计算。
  2. 提出了一种基于决策变量贡献目标的新的多群体多目标进化算法DVCOEA。具有相同贡献目标的决策变量被分组并在相应的子群中进行优化。为了保持收敛性和多样性,设计了两种策略来分别优化子群和外部档案。
  3. 为了评估DVCOEA在解决大规模MOPs/MaOPs方面的有效性,我们将其与几个最先进的MOEAs在大量的经验上进行比较。

本文的其余部分安排如下。

  • 第二节介绍了一些相关工作和准备工作;
  • 第三节描述了所提出的多群体多目标进化算法的细节;
  • 第四节比较了DVCOEA与其他最先进的MOEA在一些基准测试函数上解决大规模MOPs/MaOPs的性能;
  • 第五节总结了本文。

II. 相关工作

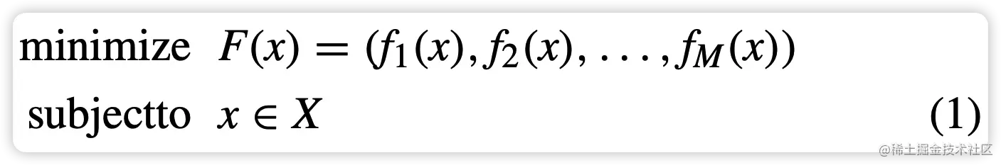
一个具有最小化目标的MOP可以定义如下。

image.png

其中:

  • x=(x1,...,xD)x = (x_1, ... , x_D) 是决策变量X搜索空间中的决策向量
  • D是决策向量的维度。
  • 当D>100时,该问题是一个大规模的MOP。
  • M是目标数,当M>3时,问题被称为MaOP。
  • F(x)=(f1(x),f2(x),...,fM(x))F(x) = (f1(x), f2(x), . . . , fM(x))是目标函数向量。

如何平衡收敛性和多样性是文献中用于解决MaOPs的MaOEAs设计的主要挑战[3]。研究人员提出了不同种类的MaOPs技术,以提高非支配性解决方案的收敛性和多样性。这些方法可以大致分为三种类型。

  1. 基于支配地位的方法[18]-[20];
  2. 基于指数的方法[21]-[23];
  3. 基于分解的方法[24]-[29]。

基于分解的MaOEA算法的性能主要取决于加权向量的设置和标度化函数的选择。例如,

  • MOEA/DD[7]结合了支配性和分解性来实现收敛性和多样性的平衡。
  • I-DBEA[25]使用两种独立的距离测量方法来平衡收敛性和多样性。
  • MOEA/D-SAS[26]采用基于分解的排序和基于角度的选择。
  • MOEA/D-LWS[27]使用了一种局部加权和方法。
  • 基于代理的K-RVEA[28]使用参考向量再生策略。
  • MOEA/D-SOM[29]使用自组织图来适应性地调整权重向量。

最近,人们提出了一些新的策略来解决MaOPs。

  • Cheng等人提出的MaOEA-DDFC算法[30]定义了定向发散性(DD)和有利收敛性(FC)的概念。环境选择使用DD和FC来平衡收敛性和多样性。
  • He和Yen提出的MaOEA-CSS算法[31]使用基于距离的收敛方法和基于向量角度的多样性方法来提高算法的性能。
  • 1by1EA算法[32]使用有效的收敛指数来逐一选择个体,以增强选择压力,接近PF。
  • 为了减少目标函数的计算成本,使用分布估计算法来生成决策和目标空间中的帕累托最优解集[33]。Lin等人[9]提出了一种基于聚类的进化算法MaOEA/C,该算法将种群分类为一些聚类,以平衡两者之间的权衡。

为了解决大规模MOPs/MaOPs,研究人员提出了各种方法,其中大部分可以分为四类[38]。

  1. 基于协同进化框架的进化算法;
  2. 基于决策变量聚类的进化算法;
  3. 基于问题转换的进化算法;
  4. 基于学习策略的进化算法。 这些不同类型的算法的主要思想可以归纳为两种类型[39]。
  • 第一类是利用分而治之的策略将决策变量分解成若干组,然后分别对每组决策变量进行优化, 如NSCCGA[40]、MOEA/DVA[16]、LMEA[17]等算法[41]-[43];
  • 第二类是问题转化,将原大尺度优化问题转化为小尺度优化问题 如算法[44]-[48]。

大多数MaOEA通常将所有决策变量作为一个整体进行优化,然而,决策变量对算法的收敛性和多样性有不同的影响。 MOEA/DVA通过分析决策变量对各个解决方案的收敛性和多样性的影响,解决了具有高维决策变量的大规模MOP问题。根据干扰决策变量产生的解决方案之间的支配关系,MOEA/DVA将决策变量分为两类。

  • 与收敛有关的变量:当这些决策变量受到干扰时,生成的解决方案在目标空间中具有支配关系;
  • 与多样性有关的变量:当这些决策变量受到干扰时,解决方案将在目标空间中覆盖更多的区域,也就是说,生成的解决方案是非支配的。 然而,事实上,有一些决策变量,即混合决策变量,与融合和多样性都有关系。 在MOEA/DVA中,混合决策变量被视为多样性变量。因此,这些混合决策变量的汇聚特性就消失了。为了解决这个问题,LMEA进一步解决了大规模的MaOP,使用聚类分析法对决策变量进行分类。实验结果表明,LMEA与最近的几种进化算法相比具有明显的优势。

最近的一些研究表明,MPMO框架,在不同的子群体中优化不同的目标,可以提高MaOEA算法的效率。 Zhan等人[11]提出了一个通用的MPMO框架,其中为M个目标创建了M个种群,每个种群同时优化一个目标(例如,目标f j由第j个种群优化)。所有种群的非支配解被存储在外部档案中,信息由外部档案共享,多个种群同时向PF进化。由于MPMO框架在MOP上的出色表现,人们为MaOPs开发了多种不同策略的算法,如CMODE[13]、CPSO[14]、MaOPO/2s-pccs[34]和NMPSO[35]。在CPSO中,人们提出了一种共同进化的多目标粒子群优化进化算法(CPSO),该算法采用了MPMO框架和BOL战略的合作,促进种群融入PF的不同部分。

III. 拟议的多种群多目标进化算法

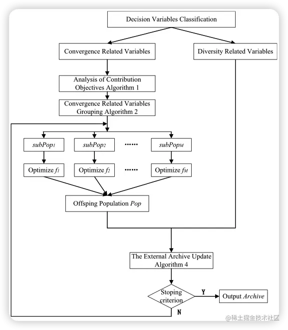
在这项工作中,基于MPMO框架,我们通过分析决策变量对目标的贡献,提出了一种新的多群体多目标进化算法,即DVCOEA。 根据LMEA[17]中的聚类方法,我们将决策变量分为与收敛性相关的决策变量和与多样性相关的决策变量,然后定义一个决策变量的贡献目标,将与收敛性相关的决策变量分成若干组,这些具有相同贡献目标的决策变量被分组并在相应的子群体中进行优化。这个阶段的目的是为了提高所提出的算法的利用率。在第二个优化阶段,基于子种群之间的信息互动的外部档案优化策略被设计用来优化多样性变量。为了保持外部档案的多样性,根据非支配性排序,将解决方案选入档案。第二个优化阶段的目的是提高拟议算法的探索性。本节介绍了我们提出的决策变量对目标的贡献分析方法,然后介绍了DVCOEA算法的详细说明。

A. 我们提出的DVCOEA的框架

对于一个具有M个目标和D个决策变量的给定MaOP,使用基于聚类的决策变量分类,将决策变量分为与收敛性相关的变量和与多样性相关的变量。

  1. 对于收敛性相关的决策变量,它们的贡献目标被计算出来(见算法1)。
  2. 通过使用分组方法(见算法2),具有相同贡献目标的收敛相关决策变量被分组,以优化相应的贡献目标。MPMO框架被用来建立M个优化目标的M个子种群。
  3. 算法3中给出的子种群优化方法被用来优化每个子种群的贡献目标。当优化第m个子种群时,只有贡献目标为fm的决策变量将被优化。然后,选择在fm上具有更好适应性的子代解决方案。
  • 算法1:决策变量的分类和与收敛性有关的决策变量的贡献目标分析
    • 输入
      • D:决策变量的数量
      • M:目标的数量
      • P:当前种群
    • 输出
      • DV:与多样性有关的决策变量
      • CV:与收敛性有关的决策变量收敛相关的决策变量
      • CO:贡献目标。
  • 算法2:基于贡献率的分组方法决策变量的目标
    • 输入
      • P:当前种群
      • CV:收敛相关的决策变量
      • CO:收敛相关决策变量的贡献目标
      • subCV:按交互作用分组的收敛相关决策变量的集合。
    • 输出
      • 子集:对子种群进行优化的决策变量。
  • 算法3:子种群优化方法
    • 输入
      • subPopm:用于优化fm的第m个子种群,
      • sN:子种群大小。
      • subSet(m): 要优化的变量的索引集,以达到目标 fm
    • 输出
      • subPopm:第m个子种群

在DVCOEA中定义了两个优化阶段,包括基于多种群的收敛相关决策变量的优化阶段基于子种群间信息交互的多样性决策变量的优化阶段

  • 在收敛决策变量优化阶段,具有相同贡献目标的决策变量被分组并在其贡献目标的相应子种群中进行优化。
  • 为了在子种群之间进行信息交流,保持一个大小为N的外部档案库,在这里与多样性有关的决策变量被优化,并进行环境选择操作,以储存所有的归档中的非支配性解决方案。补充材料中的算法4介绍了外部档案的更新策略。

最后,档案库中的所有个体被随机分配到每个子群中,用于下一代的进化直到算法的终止条件得到满足。我们提出的DVCOEA算法的框架如图1所示。

image.png

B. 决策变量的分类和与收敛性有关的决策变量的贡献目标分析

根据我们的初步实验,决策变量对目标空间的收敛性和解决方案的多样性有不同的影响,然而,很少有人对决策变量对不同目标的影响程度进行过分析。在计算决策变量对目标的影响之前,我们应用LMEA[17]中的方法对决策变量进行分类。 首先,对于决策向量xi,ns(LMEA中决策变量聚类的选择方案数)方案从群体P中随机选择,形成NS集,然后随机将所选方案中第j个个体的xi改变np次(LMEA中决策变量聚类的扰动次数),产生np个新个体。在对np个新个体进行规范化处理后,画出线性拟合L,并得到拟合线的方向向量。可以计算出L与所有决策变量的超平面f1+--+fM=1的法向量之间的角度。如图2(a)所示,其中H是超平面:f1 +---+fM = 1,h是超平面H的法向量。当决策变量被扰动时,角度越小,变量对收敛的贡献越大,例如,扰动x2的角度θ21、θ22;角度越大,变量对多样性的贡献越大,见扰动x1的角度θ11、θ12。 为了衡量决策变量对目标的贡献程度,我们将od定义为每个目标的解决方案的优化程度。对于所有通过扰动决策变量xi得到的解决方案,其目标值被规范化,然后进行线性拟合,得到拟合线的方向向量L,方向向量用Vector=(v1,...,vm,...,vM)表示。决策变量xi对第m个目标的优化程度odim为

image.png

其中1≤m≤M。我们定义决策变量xi的贡献目标coi为决策变量xi的贡献目标,即具有最大od

image.png

如图3(b)所示,在目标空间中,与收敛有关的决策变量xi受到扰动。假设线L的方向向量为Vector = (a,b)。我们可以得到决策变量xi在f1上的od是oti1 = |a|,同样,xi在目标f2上的od是oti2 = |b|,因为odi1 = |a| > odi2 = |b|,因此,根据(3),xi的贡献目标coi为f1。 算法1给出了决策变量贡献目标分析的伪代码。通过使用决策变量分类方法,将平均角度较小的决策变量归类为收敛性相关的决策变量CV,其他决策变量归类为多样性相关的决策变量DV。计算决策变量xi对每个目标1≤m≤M的优化程度odim。odim值最大的相应目标被记录为决策变量xi对第j个个体的贡献目标coij。计算线L与超平面f1+---+fM=1的法向量之间的角度以及拟合的MSE(线5-9)。然后,分析收敛相关决策变量对目标的贡献。在对NS中选定的个体进行干扰变量xi后,计算最大贡献目标coij(j∈[1,ns]),如果coij的值相等,说明决策变量-能xi的贡献目标相同,所以选择该目标作为xi的coi;如果coij的值不相同,则记录coij中出现频率最高的目标作为xi的贡献目标coi(行18-20)。

C. 基于决策变量的贡献目标的分组方法

在对决策变量进行分类并分析了与收敛有关的决策变量的贡献目标后,对这些变量之间的相互作用进行分析,将其分为子CV中的几个子组。变量之间的相互作用是根据[16]中的方法进行分析的,其中可以找到变量相互作用分析的详细描述和理论还原。 在分析了决策变量之间的相互作用后,检查子CV中每个决策变量组的贡献目标。如果子CV(i)中所有决策变量的贡献目标只有第m个目标fm,那么子CV(i)中的决策变量被划分为subSet(m),即优化第m个子种群的决策变量集。我们分析subSet中的所有组的决策变量。如果subSet(m)是空的,也就是说,所有的决策变量的贡献目标不一样,那么就确定subSet(m)的未分组变量中的合适变量。规则是:如果目标fm在未分组变量的候选贡献目标集中,它将被加入subSet(m)中。在多群体优化阶段,包含在subSet(m)中的决策变量是相互独立的。与收敛相关的决策变量与其他变量相互作用,其贡献目标不一致,在以后更新档案时,将在多样性相关决策变量的优化阶段进行优化。

D. 收敛性相关决策变量的优化阶段

在多种群优化阶段,我们定义subPopm为优化fm的第m个子种群,其大小为sN,subSet(m)是包括优化fm的相应决策变量的集合。如图3所示,假设subSet(m)={x3 , x4 , x5 , x6 },在优化子种群中的个体时,只用subSet(m)中贡献目标为fm的决策变量来优化fm,即干扰subSet(m)中黄色区域的决策变量来获得更好的解。算法3给出了子种群优化方法的细节。在优化过程中,从子种群中随机选择除x以外的两个解决方案xA和xB,然后用差分进化法生成一个新的解决方案 v是通过使用差分进化(DE)算子产生的,CR为交叉概率[36], [37],只有子集(m)的决策变量被改变。交叉操作的定义如下。

image.png

其中,α是比例因子,subPopm(x, subSet(m))是子群体subPopm中解决方案x的subSet(m)中的决策变量。例如,如果解决方案x=(0.5,0.6,0.2,0.8,0.1),xA=(0.7,0.7,0.7,0.7),xB=(0.5,0.5,0.5,0.5),subSet(m)={x2,x4},F=0.5,那么v=(0.5,0.7,0.2,0.9,0.1)。 在子代解决方案产生后,如果子代解决方案v在目标fm上的表现优于父代解决方案x,那么解决方案x被更新。

E. 外部档案更新策略

在第二个优化阶段,外部档案库将被更新。 首先,subPop中的所有解决方案构成一个联合群体Pop。在获得与多样性相关的决策变量后(见第III-A节),根据Pop结合多样性相关的变量,对解决方案的多样性进行优化。对于Pop中的每个解决方案x,从Pop中随机选择两个解决方案xA和xB,并通过使用DE算子[36], [37]生成一个新的解决方案v,即改变DV中的决策变量来生成新的解决方案

image.png

其中,DV是所有多样性相关决策变量的集合,α是比例因子。Pop(x, DV)指的是方案x在群体Pop中的决策变量,它们属于DV中的多样性相关决策变量。例如,如果解x=(0.5,0.6,0.2,0.8,0.1),xA=(0.7,0.7,0.7,0.7),xB=(0.5,0.5,0.5,0.5),DV={x1,x5},F=0.5,thenv=(0.6,0.6,0.2,0.8,0.2)。 然后,将子代种群合并到Pop中,并根据非支配性排序对新种群进行排序,选出N个非支配性的解决方案,形成外部档案库。

F. 时间复杂度分析

  • 在算法1中,将决策变量分为与收敛相关的决策变量和与多样性相关的决策变量的步骤需要进行O(Dnsnp)计算,其中ns=2,np=4。
  • 在算法2中,与收敛相关的决策变量的分组步骤需要O(|subCV|)计算。
  • 在算法3中,收敛相关决策变量的优化阶段需要O(|supPopm|)次计算。
  • 在算法4中,在Pop>N的情况下,t非支配性排名的步骤需要O(M|Pop|2)次计算。

IV. 性能评估

在本节中,通过实验验证了所提出的DVCOEA算法的性能。为了进行公平的比较,所有的算法都由MATLAB实现,并嵌入到进化多目标优化平台PlatEMO中[49]。对于每个测试问题,每种算法都运行了20次,并给出了其统计结果。在第一组实验中,我们评估了决策变量的贡献目标分析方法的有效性。在第二组实验中,我们将DVCOEA的性能与几种最先进的大规模多目标优化算法进行比较,包括MOEA/DVA、LMEA和CPSO。常用的指标IGD[23]被用来评价算法的性能,它评估了收敛性和非支配解集的分布。

A. 实验中的参数设置

测试用例

我们在26个基准测试问题上进行了实验,包括系列:MOPs(UF1-10),MaOPs(DTLZ1-7),以及9个最近的大规模MOPs/MaOPs(LSMOP1-9)。

  • 对于2-目标的UF测试问题,种群规模N被设定为100,
  • 对于3-目标的UF测试问题,种群规模N被设定为150,以满足多个子种群中相同的个体数量。
  • 对于5-目标的DTLZ测试问题,种群大小N被设置为200。
  • 对于10-目标的DTLZ测试问题,种群大小N被设置为200。

MPMO算法,即DVCOEA和CPSO的子种群大小被设定为N/M。对于每个测试问题,测试算法在有100个、约500个决策变量的测试问题上的性能,最大函数评估时间分别为1 000 000和680000。对于CPSO、LMEA和MOEA/DVA算法的参数设置,与原论文中的参数保持一致。

B. 决策变量贡献目标的分析方法的有效性

改进vs不改进

在这组实验中,我们评估了我们提出的决策变量贡献目标分析方法的有效性。有决策变量贡献目标分析的DVCOEA与没有决策变量贡献目标分析的DVCOEA,即DVCOEA(no-CO)进行了比较。两种变量算法在实验中设置了相同的参数,并对DTLZ问题、UF问题和LSMOP问题进行测试。我们在表I中比较了在这些测试问题上运行20次后的平均IGD值。最好的结果是用灰色的粗体字表示的。我们可以看到,DVCOEA的表现更好在所有的测试问题上都比DVCOEA(no-CO)要好。实验结果表明,决策变量的贡献目标的分析方法可以提高解决大规模MOPs的性能。

image.png

C. DVCOEA与其他MaOEA算法的比较

与其它算法的对比

为了验证DVCOEA的性能,我们将其与其他三种算法进行比较,包括MOEA/DVA、LMEA和CPSO。所有算法都在测试问题上独立运行20次,比较不同算法的IGD平均值。使用Wilcoxon秩和检验来评估性能差异的显著性,显著性水平为0.05。秩和检验的统计结果总结在每个表格的最后一行,其中符号 "+"、"≈"和"-"表示DVCOEA明显优于、等同于和差于所比较的算法。

  • 为了检验DVCOEA在大规模多目标问题上的性能,表二显示了四种算法在多目标(M=2和3)、决策变量维度D=100和500的UF问题上获得的IGD的平均值和标准差(括号内)。四种算法中最好的结果在灰色阴影中。从表二可以看出,对于UF1、UF3和UF4问题,DVCOEA算法获得的解决方案比MOEA/DVA略差,而对于UF7问题,LMEA取得了最佳的性能。实验结果证明了我们提出的DVCOEA在大规模MOPs上的有效性。

image.png

  • 为了评估DVCOEA在大规模多目标问题上的性能,表三比较了14个DTLZ问题上IGD的平均值和标准差,目标数M=10,决策变量的维度D=100和500。较好的结果是在灰色阴影中。对于这组更具挑战性的大规模MaOPs,我们可以看到DVCOEA在14个测试问题中的5个获得了最佳结果。LMEA在8个问题上获得了最好的结果,这比DVCOEA略好。MOEA/DVA在六个问题上获得了最佳结果。实验结果表明,所提出的DVCOEA算法具有与LMEA相似的性能,并且在解决大规模MaOPs方面优于MOEA/DVA和CPSO。

image.png

  • 为了进一步测试DVCOEA在一组最近的基准大规模MaOPs上的性能,表四显示了四种算法在具有5个目标和514个决策变量的LSMOP1-LSMOP9[50]上得到的IGD的平均值和标准偏差(在括号内)。从表中我们可以看出,DVCOEA在这四种算法中表现最好,在9个测试问题中的4个获得了最佳结果。CPSO在9个测试问题中的3个获得了最佳结果。由于DVCOEA和CPSO都是基于MPMO框架,这表明MPMO框架对于大规模MaOPs的优势。

image.png

  • 在IGD方面,DVCOEA与其他三种算法在测试函数UF和DTLZ上的比较验证了DVCOEA在解决大规模MOP/MaOPs方面具有竞争力。在面对大规模多目标问题时,DVCOEA比大规模MOP算法MOEA/DVA表现得更好。虽然LMEA在大规模MOPs上的表现稍好,但在面对大规模MOPs时,DVCOEA的表现比LMEA好。表二至表四的实验结果表明,DVCOEA在解决大规模MOP/MaOPs方面是有效的、稳健的。

  • 图4比较了四种算法在多目标UF8问题上得到的非支配解的近似帕累托前沿的收敛性和分布。我们可以看到,DVCOEA在大多数测试案例中具有最好的性能,它找到了具有良好收敛性和多样性的近似Pareto前沿。

  • 图5比较了四种算法在10个目标的DTLZ2问题上得到的非支配解集的平行坐标图(一种可视化高维几何的常用方法)。可以看出DVCOEA可以获得具有良好收敛性和多样性的非支配解集。

  • 图6显示了在大规模LSMOP3问题上运行的四种算法的并行协同图。它还表明,DVCOEA在解决这组大规模MaOPs时,在收敛性和非支配解的多样性方面是非常有竞争力的。

V. 结论

  1. 本文以解决大规模多目标优化算法为目标,
  2. 提出了一种新的决策变量贡献目标的分析方法,然后利用MPMO框架,提出了一种多群体多目标进化算法,即DVCOEA。
  3. 基于对决策变量贡献目标的分析,对所有的决策变量都根据其贡献目标进行分组。
  4. 为了保证种群的收敛性和多样性,DVCOEA算法结合了MPMO框架,其中设计了两种不同的优化方案,分别对外部档案中的子种群和个体进行优化。
  5. 最后,DVCOEA与一些最先进的算法在基准函数中进行了比较。

实验结果表明,

  • DVCOEA在大规模的MOP/MaOP问题上能取得更好的结果。
  • 同时,DVCOEA耗费的计算时间较少,非常高效。
  • 在未来,我们在DVCOEA中提出的策略可以应用于其他进化算法。
  • 我们还计划训练机器学习模型来估计目标函数的适配值,以提高该算法在大规模MOPs中的效率。

参考文献:readpaper.com/pdf-annotat…