详细图解二叉树四种遍历(前序中序后序层次遍历)

1,203 阅读1分钟

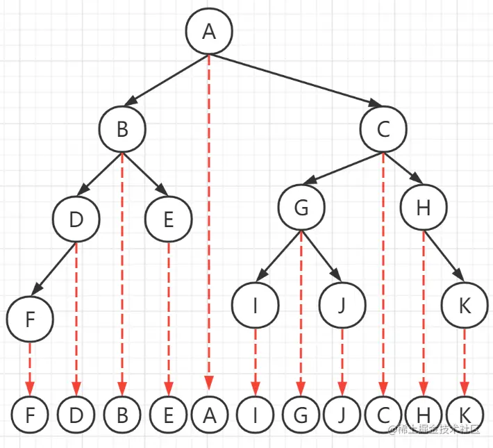
本文中以此二叉树为例 二叉树原图.PNG

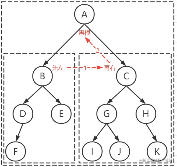
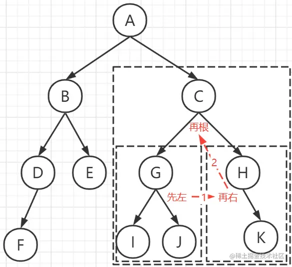
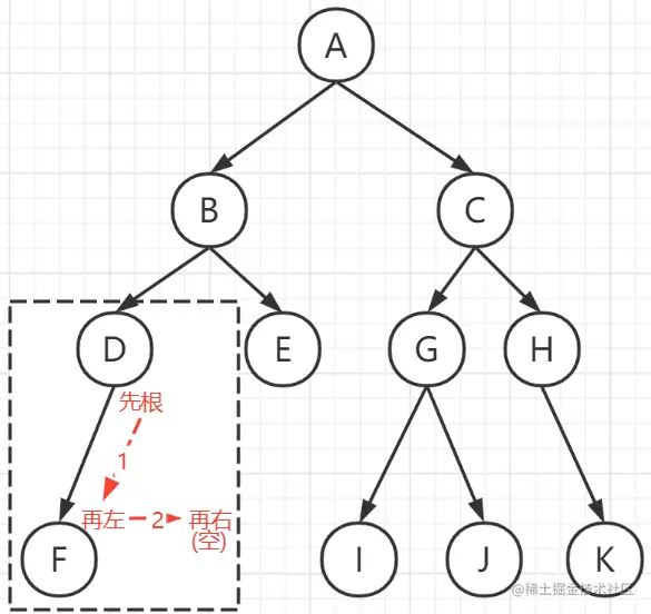
一.前序遍历

常规操作

先根,再左,再右

前序遍历操作1.PNG

前序遍历辅助1.PNG

前序遍历操作2.PNG

前序遍历辅助2.PNG

前序遍历操作3.PNG

前序遍历辅助3.PNG

前序遍历操作4.PNG

前序遍历辅助4.PNG

前序遍历操作5.PNG

前序遍历辅助5.PNG

前序遍历操作6.PNG

前序遍历辅助6.PNG

前序遍历结束

结果为:A B D F E C G I J H K

简单方法

从根结点出发向左开始绕二叉树一圈,经过的节点顺序即为先序遍历顺序

前序遍历简单方法.PNG 结果为:A B D F E C G I J H K

二.中序遍历

常规操作

先左,再根,再右

中序遍历操作1.PNG

中序遍历辅助1.PNG

中序遍历操作2.PNG

中序遍历辅助2.PNG

中序遍历操作3.PNG

中序遍历辅助3.PNG

中序遍历操作4.PNG

中序遍历辅助4.PNG

中序遍历操作5.PNG

中序遍历辅助5.PNG

中序遍历操作6.PNG

中序遍历辅助7.PNG

中序遍历结束

结果为:F D B E A I G J C H K

简单方法

以该二叉树为例

中序遍历简单方法.PNG

结果为:F D B E A I G J C H K

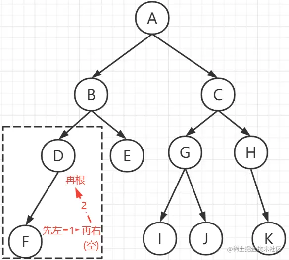
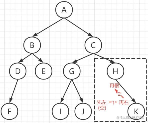
三.后序遍历

常规操作

先左,再右,再根

后序遍历操作1.PNG

后序遍历辅助1.PNG

后序遍历操作2.PNG

后序遍历辅助2.PNG

后序遍历操作3.PNG

后序遍历辅助3.PNG

后序遍历操作4.PNG

后序遍历辅助4.PNG

后序遍历操作5.PNG

后序遍历辅助5.PNG

后序遍历操作6.PNG

后序遍历辅助6.PNG

后序遍历结束

结果为:F D E B I J G K H C A

四.层次遍历

常规操作

将二叉树每一行作为一个整体,从上到下输出,每行按照从左到右的顺序输出

层次遍历.PNG

第一行:A 第二行:B C 第三行:D E G H 第四行:F I J K 结果为:A B C D E G H F I J K